Exhibit 99.1

 

 

 

 

1
 

 

 

 

2
 

 

 

 

 

 

3
 

 

 

 

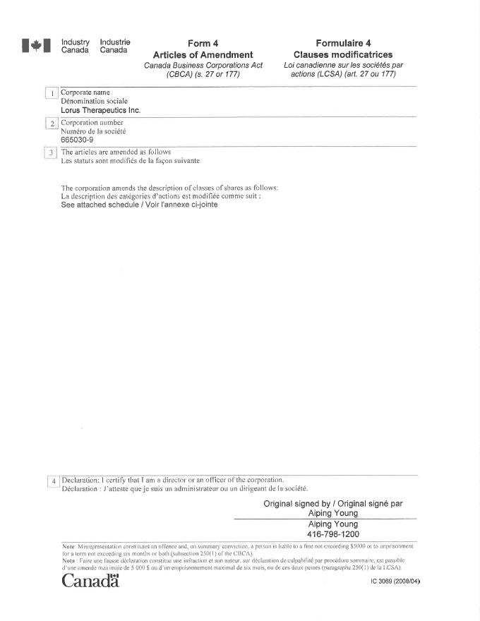
4
 

 

 

 

5
 

 

 

 

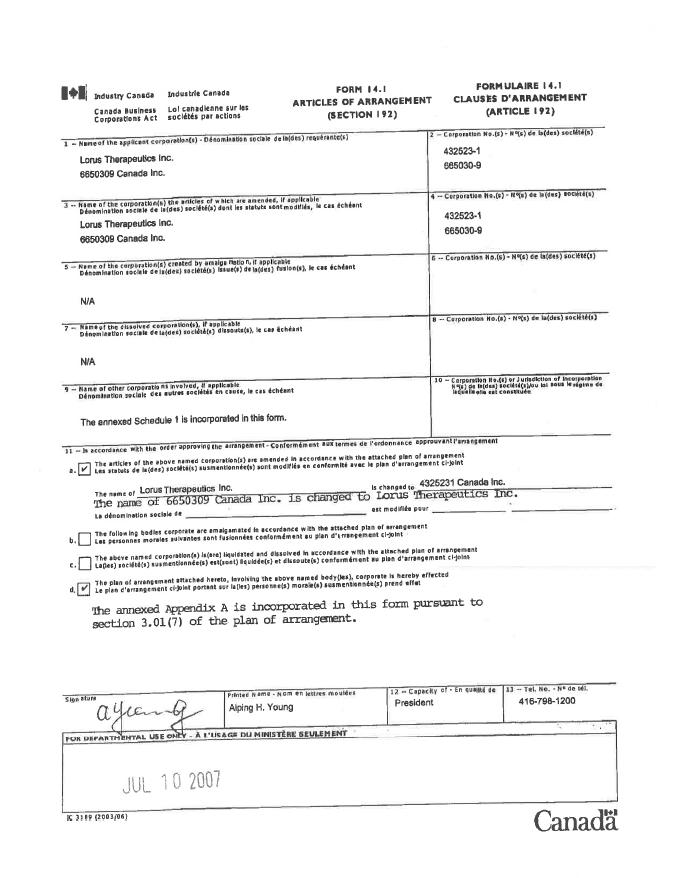
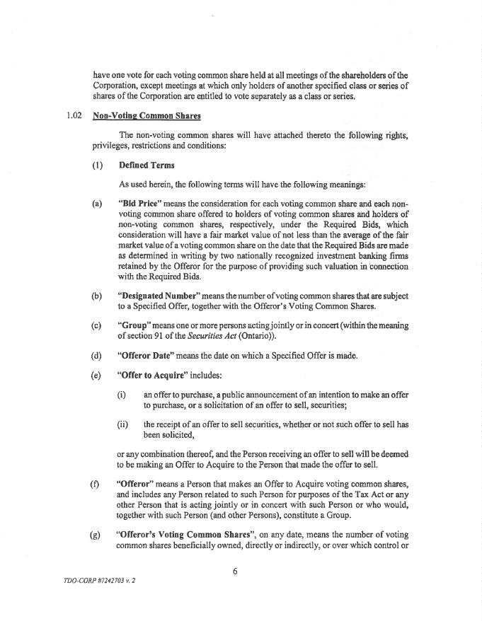
6
 

 

 

 

7
 

 

 

 

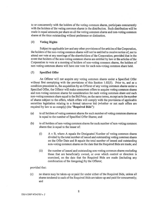
8
 

 

 

 

9
 

 

 

 

10
 

 

 

 

11
 

 

 

 

12
 

 

 

 

13
 

 

 

 

14
 

 

 

 

15
 

 

 

 

16
 

 

 

 

17
 

 

 

 

18
 

 

 

 

19
 

 

 

 

20
 

 

 

 

21
 

 

 

 

22
 

 

 

 

23
 

 

 

 

24
 

 

 

 

25
 

 

 

 

26
 

 

 

 

27
 

 

 

 

28
 

 

 

 

29
 

 

 

 

30
 

 

 

 

31
 

 

 

 

32
 

 

 

 

33
 

 

 

 

34
 

 

 

 

35
 

 

 

 

36
 

 

 

 

37
 

 

 

 

38
 

 

 

 

39
 

 

 

 

40