Table of Contents

UNITED STATES

SECURITIES AND EXCHANGE COMMISSION

WASHINGTON, DC 20549

 

 

SCHEDULE 14A

 

 

INFORMATION REQUIRED IN PROXY STATEMENT

SCHEDULE 14A INFORMATION

Proxy Statement Pursuant to Section 14(a) of the

Securities Exchange Act of 1934

Filed by the Registrant         ☒

Filed by a Party other than the Registrant ☐

Check the appropriate box: 

 

 

Preliminary Proxy Statement

 

 

Confidential, for Use of the Commission Only (as permitted by Rule 14a-6(e)(2))

 

 

Definitive Proxy Statement

 

 

Definitive Additional Materials

 

 

Soliciting Material Pursuant to §240.14a-12

Aptose Biosciences Inc.

(Name of Registrant as Specified in Its Charter)

 

 

(Name of Person(s) Filing Proxy Statement, if other than the Registrant)

Payment of Filing Fee (Check all boxes that apply):

☐  No fee required

☒  Fee paid previously with preliminary materials

☐  Fee computed on table in exhibit required by Item 25(b) per Exchange Act Rules 14a-6(i)(1)


Table of Contents

 

LOGO

NOTICE OF SPECIAL MEETING

AND

NOTICE OF APPLICATION TO THE COURT OF KINGS BENCH OF ALBERTA

AND

PROXY STATEMENT

FOR THE

SPECIAL MEETING OF SHAREHOLDERS OF APTOSE BIOSCIENCES INC.

to be held on , 2026

WITH RESPECT TO A PROPOSED PLAN OF ARRANGEMENT INVOLVING

APTOSE BIOSCIENCES INC.,

HS NORTH AMERICA LTD., AND

HANMI PHARMACEUTICAL CO. LTD.

, 2026


Table of Contents

 

LOGO

●, 2026

Dear Shareholder:

You are cordially invited to attend a special meeting (the “Meeting”) of the holders of common shares (the “Shares”) of Aptose Biosciences Inc. (“Aptose”), a corporation formed under the Canada Business Corporations Act (“CBCA”), which we will hold virtually on ●, 2026 at 11:00 a.m. (Eastern time).

On November 18, 2025, Aptose entered into an Arrangement Agreement with Hanmi Pharmaceutical Co. Ltd (the “Parent”) and HS North America Ltd. (the “Purchaser”), a wholly-owned subsidiary of the Parent, which provides for the acquisition of Aptose by the Purchaser (the “Arrangement Agreement”). Under the terms of the Arrangement Agreement, the Purchaser will acquire all of our issued and outstanding Shares (other than the Shares owned or beneficially controlled by the Parent or any of its affiliates) for C$2.41 per Share in cash pursuant and subject to the terms and conditions of the Arrangement Agreement. The acquisition will be completed by way of a statutory plan of arrangement (the “Arrangement”) under the Business Corporations Act (Alberta) (the “ABCA”).

At the Meeting, shareholders will be asked to consider and vote on (i) a special resolution to approve a continuance (the “Continuance”) of Aptose from the CBCA to the ABCA (the “Continuance Resolution”), and (ii) a special resolution approving the Arrangement (the “Arrangement Resolution”).

Board Recommendation

A special committee of independent directors, appointed by the board of directors of Aptose (the “Transaction Committee”), has carefully considered all aspects of the Continuance and the Arrangement. As part of the Board’s review, the Corporation engaged Locust Walk Securities, LLC as its financial advisor. Locust Walk delivered a valuation (the “Formal Valuation”) concluding that, as of the date of the Formal Valuation, and subject to the assumptions, limitations and qualifications set forth therein, the fair market value of the Shares was in the range of C$1.00 and C$5.08 per Share. Locust Walk also delivered an opinion to the Transaction Committee (the “Fairness Opinion”) concluding that, as of the date of the Fairness Opinion and subject to the assumptions, limitations and qualifications to be set forth therein, the consideration to be received by Shareholders, other than the Parent or any of its affiliates, pursuant to the Arrangement Agreement is fair, from a financial point of view, to such Shareholders. Based on the Transaction Committee’s analysis, the Transaction Committee unanimously recommended that the board of directors of Aptose (the “Board”) approve the Arrangement.

The Board, on recommendation of the Transaction Committee, consideration of the Formal Valuation and the Fairness Opinion, and based upon its own investigations, has unanimously approved the Arrangement and the terms of the Arrangement Agreement and has determined that the Arrangement is in the best interests of Aptose and the Shareholders (excluding Shares held by the Parent and its affiliates). Accordingly, the Board unanimously recommends that you vote FOR the Continuance Resolution and the Arrangement Resolution at the Meeting.

The recommendation of the Transaction Committee and the Board is based on various factors described more fully in the accompanying proxy statement (the “Proxy Statement”). We recommend that you review in detail the full reasons for the recommendation, which are set out in the


Table of Contents

accompanying Proxy Statement under the headings “The Arrangement – Recommendation of the Board and Transaction Committee and Reasons for the Arrangement”.

The Board of Directors unanimously recommends that shareholders vote “FOR” these proposals

The enclosed Proxy Statement describes the Continuance and the Arrangement. It also provides detailed information about the Arrangement Agreement and the Meeting. We encourage you to read the Proxy Statement carefully, including the appendices, as it sets forth important information regarding these matters.

Your vote is very important. The Arrangement cannot be completed unless (i) the Continuance Resolution is approved by the affirmative vote of at least two-thirds (66 23%) of the votes cast by shareholders, virtually present or represented by proxy at the Meeting, each being entitled to one vote per Share, and (ii) the Arrangement Resolution is approved by (1) the affirmative vote of at least two-thirds (66 23%) of the votes cast by shareholders, virtually present or represented by proxy at the Meeting, each being entitled to one vote per Share, and (2) the affirmative vote of a majority of the votes cast by the shareholders in person or represented by proxy at the Meeting, each being entitled to one vote per Share after excluding the votes of those persons whose votes are required to be excluded under Multilateral Instrument 61-101Protection of Minority Security Holders in Special Transactions of the Canadian Securities Administrators.

Your vote is very important, regardless of the number of Shares you own. Whether or not you expect to attend the Meeting, please vote your Shares by proxy in advance of the Meeting to ensure your representation and the presence of a quorum at the Meeting. To ensure that your vote is recorded promptly, please vote as soon as possible, even if you plan to attend the Meeting.

If you have any questions about the Special Meeting or require more information with respect to the procedures for voting, please contact our strategic shareholder advisor and proxy solicitation agent, Morrow Sodali (Canada) Ltd. (“Sodali & Co”) at 1-833-711-4830 toll free in North America or 1-289-695-3075 collect outside North America or by email at assistance@investor.sodali.com.

Thank you for your continuing support of Aptose.

Very truly yours,

William G. Rice, Ph.D.

Chairman, President and Chief Executive Officer

Neither the Securities and Exchange Commission nor any state, provincial or territorial securities regulatory agency has approved or disapproved the Arrangement, passed upon the merits or fairness of the Arrangement or passed upon the adequacy or accuracy of the disclosure in this document. Any representation to the contrary is a criminal offense.

The Proxy Statement is dated ●, 2026 and is first being mailed to shareholders on or about ●, 2026.


Table of Contents

Aptose Biosciences Inc.

Notice of Special Meeting of Shareholders

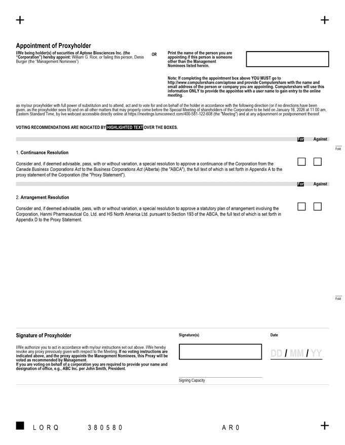
NOTICE IS HEREBY GIVEN, in accordance with an interim order (the “Interim Order”) of the Court of King’s Bench of Alberta (the “Court”) dated December 12, 2025, that a special meeting (the “Meeting”) of holders (the “Shareholders”) of common shares (“Shares”) of Aptose Biosciences Inc. (the “Corporation”) will be held on ●, 2026 at 11:00 a.m. (Eastern time). The Meeting will be conducted as an online only meeting. There will be no physical location for shareholders and duly appointed proxyholders to attend. Shareholders and duly appointed proxyholders are invited to attend by live webcast accessible directly online at https://meetings.lumiconnect.com/400-581-122-608 , where they will be able to listen, vote, and submit questions during the Meeting.

What the Meeting is About

The following items of business will be covered at the Meeting:

 

1.

Proposal No. 1 – to consider, and if deemed advisable, to pass, with or without variation, a special resolution to approve a continuance of the Corporation from the Canada Business Corporations Act (“CBCA”) to the Business Corporations Act (Alberta) (the “Continuance Resolution”), the full text of which is set forth in Appendix A to the accompanying proxy statement of the Corporation (the “Proxy Statement”), all as more particularly described in the Proxy Statement;

 

2.

Proposal No. 2 - to consider, pursuant to the Interim Order, and, if deemed advisable, to pass, with or without variation, a resolution (the “Arrangement Resolution”), the full text of which is set forth in Appendix D to the Proxy Statement, approving a statutory arrangement (the “Arrangement”) pursuant to Section 193 of the ABCA, all as more particularly described in the Proxy Statement; and

 

3.

transacting such other business as may be properly brought before the Meeting.

The Shareholders may also consider other business that properly comes before the Meeting or any adjournment of the Meeting. The Proxy Statement provides additional information relating to the matters to be dealt with at the Meeting and forms part of this notice.

You are entitled to receive notice of and vote at the Meeting, or any adjournment, if you are a registered holder of Shares (a “Registered Shareholder”) at the close of business on ●, 2025 (the “Record Date”).

You have the right to vote your Shares on items 1 and 2 listed above and any other items that may properly come before the Meeting or any adjournment.

The Notice of Meeting, Proxy Statement and the form of proxy will be mailed to you on or around ●, 2026. Detailed instructions regarding Shareholders’ voting process are also available on our website at https://www.aptose.com/investors/news-events/ir-calendar.

Your vote is important.

If you are not able to attend the Meeting, please exercise your right to vote by signing and returning the enclosed form of proxy to Computershare Investor Services Inc., 320 Bay Street, 14th Floor, Toronto, Ontario, Canada, M5H 4A6, so as to arrive not later than 11:00 a.m. (Eastern time) on ●, 2026 or, if the Meeting is adjourned, 48 hours (excluding Saturdays, Sundays and holidays) before


Table of Contents

any adjournment of the Meeting. The time limit for the deposit of proxies may be waived or extended by the Chair of the Meeting at his discretion without notice.

This Notice of Special Meeting of Shareholders is accompanied by the Proxy Statement, a form of proxy or voting instruction form, as applicable, and a form of letter of transmittal (the “Letter of Transmittal”).

A summary of the arrangement agreement among Hanmi Pharmaceutical Co. Ltd. (the “Parent”), HS North America Ltd. (the “Purchaser”) and Aptose dated November 18, 2025 (the “Arrangement Agreement”) and the plan of arrangement (the “Plan of Arrangement”) is included in the Proxy Statement, and the full text thereof is attached as Appendix B and Appendix C, respectively, to the Proxy Statement and is also available under Aptose’s profile on the System for Electronic Data Analysis and Retrieval + (“SEDAR+”) at www.sedarplus.ca and on the Electronic Data Gathering, Analysis, and Retrieval system (“EDGAR”) at www.sec.gov/edgar. The full text of the Interim Order is attached as Appendix G to the Proxy Statement. Shareholders should carefully review and consider all of the information in the Proxy Statement.

Registered Shareholders have the right to dissent with respect to the Continuance Resolution or, pursuant to the Interim Order, with respect to the Arrangement Resolution and to be paid an amount equal to the fair value of their Shares. These dissent rights and the dissent procedures are described in the Proxy Statement. The dissent procedures require that a Registered Shareholder who wishes to exercise dissent rights send Aptose a written notice to inform Aptose of his, her or its intention to exercise dissent rights, which notice must be received by Aptose at its registered office located at 66 Wellington Street West, Suite 5300, TD Bank Tower Box 48, Toronto ON M5K 1E6, Attention: Charles-Antoine Soulière, not later than 5:00 p.m. (Eastern time) on the day that is two Business Days immediately preceding the date of the Meeting (as it may be adjourned or postponed from time to time). Failure to strictly comply with the dissent procedures will result in loss of the right to dissent. Non-registered Shareholders must be aware that only Registered Shareholders are entitled to dissent. Accordingly, a beneficial owner of Shares must make arrangements for the Shares beneficially owned by such Shareholder to be registered in the Shareholder’s name prior to the time the written objection to the Continuance Resolution or the Arrangement Resolution, as applicable, is required to be received by the Corporation, or alternatively, make arrangements for the registered holder of such Shares to dissent on the Shareholder’s behalf. It is strongly suggested that any Shareholder wishing to dissent seek independent legal advice, as the failure to comply strictly with the provisions of the CBCA or the ABCA, as modified by the Interim Order and the Plan of Arrangement, as applicable, may result in the forfeiture of such Shareholders right to dissent.

Your vote is very important, regardless of the number of Shares you own. Whether or not you expect to attend the Meeting, please vote your Shares by proxy in advance of the Meeting to ensure your representation and the presence of a quorum at the Meeting. To ensure that your vote is recorded promptly, please vote as soon as possible, even if you plan to attend the Meeting.

If you are a non-registered Shareholder and have received these materials through your broker, custodian, nominee or other intermediary, please complete and return the form of proxy or voting instruction form provided to you by your broker, custodian, nominee or other intermediary in accordance with the instructions provided therein.


Table of Contents

If you have any questions about the Special Meeting or require more information with respect to the procedures for voting, please contact our strategic shareholder advisor and proxy solicitation agent, Sodali & Co at 1-833-711-4830 toll free in North America or 1-289-695-3075 collect outside North America or by email at assistance@investor.sodali.com.

BY ORDER OF THE BOARD OF DIRECTORS

William G. Rice, Ph.D.

Chairman, President and Chief Executive Officer

●, 2026


Table of Contents

IMPORTANT NOTICE REGARDING THE INTERNET AVAILABILITY OF PROXY

MATERIALS FOR THE SPECIAL MEETING OF SHAREHOLDERS TO BE

HELD ON , 2026.

Our Notice of the Special Meeting of Shareholders, Proxy Statement to Shareholders is available on the Corporation’s website at https://www.aptose.com/investors/news-events/ir-calendar.

Copies are also available upon written request to the Senior Vice President, Chief Financial Officer, Chief Business Officer and Corporate Secretary (i) at our principal executive and registered office located at 66 Wellington Street West, Suite 5300, TD Bank Tower Box 48, Toronto ON M5K 1E6; or (ii) at our executive headquarters located at Suite 120, 12770 High Bluff Drive, San Diego, California, 92130 and from Sodali & Co at 1-833-711-4830 toll free in North America or 1-289-695-3075 collect outside North America or by email at assistance@investor.sodali.com.


Table of Contents

TABLE OF CONTENTS

 

PERSONS MAKING THE SOLICITATION

     vi  

SUMMARY

     1  

The Companies

     1  

The Continuance

     2  

The Arrangement

     2  

Arrangement Consideration

     2  

Source and Amount of Funds

     2  

Anticipated Accounting Treatment of the Arrangement

     2  

The Meeting

     2  

Quorum and Record Date

     3  

Background to the Arrangement

     3  

Recommendation of the Board and Transaction Committee and Reasons for the Arrangement

     3  

Formal Valuation and Fairness Opinion of Locust Walk Securities, LLC

     3  

Regulatory Approvals

     4  

The Arrangement Agreement

     4  

Restrictions on Solicitations of Other Offers

     5  

Conditions to the Arrangement

     6  

Termination

     7  

Expense Fee

     9  

Interests of the Corporation’s Directors and Officers in the Arrangement

     9  

Failure to Complete the Arrangement

     9  

Support and Voting Agreements

     10  

Certain Canadian Federal Income Tax Considerations

     10  

Certain U.S. Federal Income Tax Considerations

     10  

Risks Relating to the Arrangement

     11  

Dissent Rights

     11  

CAUTIONARY NOTE REGARDING FORWARD-LOOKING STATEMENTS

     12  

QUESTIONS ABOUT THE ARRANGEMENT

     14  

QUESTIONS ABOUT THE SPECIAL MEETING AND VOTING YOUR SHARES

     18  

Registered Shareholders

     20  

Non-Registered (or Beneficial) Shareholders

     20  

VOTING SECURITIES AND PRINCIPAL HOLDERS OF VOTING SECURITIES

     27  

 

- i -


Table of Contents

SHARE OWNERSHIP OF CERTAIN BENEFICIAL OWNERS, MANAGEMENT AND DIRECTORS

     28  

THE CONTINUANCE

     30  

General

     30  

Effect of the Continuance

     30  

Certain Corporate Differences Between the CBCA and the ABCA

     31  

THE ARRANGEMENT

     34  

Summary of the Arrangement

     34  

Arrangement Consideration

     34  

Source and Amount of Funds

     34  

Anticipated Accounting Treatment of the Arrangement

     35  

Arrangement Steps

     35  

Background to the Arrangement

     36  

Recommendation of the Board and Transaction Committee and Reasons for the Arrangement

     41  

Formal Valuation and Fairness Opinion of Locust Walk Securities, LLC

     45  

Interest of the Corporation’s Directors and Officers in the Arrangement

     53  

Regulatory Approvals

     55  

Failure to Complete the Arrangement

     55  

Procedure for the Arrangement Becoming Effective

     55  

Shareholder Approval

     56  

Court Approval of the Arrangement

     56  

Support and Voting Agreements

     57  

Timing

     57  

Delisting and Deregistration

     57  

Fees and Expenses

     57  

THE ARRANGEMENT AGREEMENT

     58  

Effective Date of the Arrangement

     58  

Covenants

     58  

Regulatory Approvals

     64  

Access to Information; Confidentiality

     65  

Notice and Cure Provisions

     67  

Insurance and Indemnification

     68  

TSX Delisting

     68  

CrystalGenomics Release

     68  

Restrictions on Solicitations of Other Offers

     69  

Employees

     73  

 

- ii -


Table of Contents

Representations and Warranties

     73  

Alternative CCAA Proceedings

     75  

Conditions to the Arrangement

     76  

Termination

     79  

Expense Fee

     81  

Fees and Expenses

     81  

Governing Law

     81  

Support and Voting Agreements

     82  

PROVISIONS FOR UNAFFILIATED SHAREHOLDERS

     83  

IMPORTANT INFORMATION REGARDING THE CORPORATION

     84  

Market Price of and Dividends on the Corporation’s Shares and Related Stockholder Matters

     84  

Trading in the Common Shares

     84  

Prior Public Offerings

     84  

Concurrent Private Placement

     85  

Loan Facility

     85  

Debt Conversion Agreement

     85  

Investor’s Rights Agreement

     85  

Loan Agreement

     86  

Amended and Restated Loan Agreement

     87  

Book Value Per Share

     87  

Prior Stock Purchases

     88  

Directors And Executive Officers of the Corporation

     88  

IMPORTANT INFORMATION REGARDING THE PURCHASER AND THE PARENT

     90  

Hanmi Science

     90  

Parent

     90  

Purchaser

     90  

Directors And Executive Officers of Hanmi Science, Parent And Purchaser

     90  

PRINCIPAL LEGAL MATTERS

     97  

Court Approval and Completion of the Arrangement

     97  

Canadian Securities Law Matters

     97  

CERTAIN CANADIAN FEDERAL INCOME TAX CONSIDERATIONS

     102  

Holders Resident in Canada

     103  

Holders Not Resident in Canada

     105  

 

- iii -


Table of Contents

CERTAIN U.S. FEDERAL INCOME TAX CONSIDERATIONS

     108  

U.S. Holders

     109  

U.S. Holders Subject to Special U.S. Federal Income Tax Rules Not Addressed

     109  

Treatment of the Arrangement

     110  

Passive Foreign Investment Company Rules

     110  

Controlled Foreign Corporation Rules

     112  

Foreign Tax Credits and Limitations

     112  

Foreign Currency

     112  

Dissenting Shareholders

     113  

Specified Foreign Financial Assets Reporting

     113  

Backup Withholding and Information Reporting

     113  

RISK FACTORS

     115  

PROCEDURES FOR SURRENDER OF SHARES AND RECEIPT OF CONSIDERATION

     118  

Cancellation of Rights

     119  

Payment of Consideration by the Purchaser

     119  

Depositary Services

     120  

DISSENT RIGHTS

     121  

Dissent Rights of Shareholders to the Continuance

     121  

Dissent Rights of Shareholders to the Arrangement

     123  

PROPOSAL NO. 1 – CONTINUANCE RESOLUTION

     126  

Vote Required

     126  

Board Recommendation

     126  

PROPOSAL NO. 2 – ARRANGEMENT RESOLUTION

     126  

Vote Required

     126  

Board Recommendation

     127  

INTEREST OF CERTAIN PERSONS IN MATTERS TO BE ACTED UPON

     128  

DELINQUENT SECTION 16(A) REPORTS

     128  

HOUSEHOLDING OF PROXY MATERIALS

     128  

DIRECTORS AND OFFICERS’ LIABILITY

     128  

ADDITIONAL INFORMATION

     128  

GLOSSARY OF TERMS

     130  

DIRECTORS’ APPROVAL

     147  

CONSENT OF LOCUST WALK SECURITIES

     148  

APPENDIX A – CONTINUANCE RESOLUTION

     A-1  

 

- iv -


Table of Contents

APPENDIX B – ARRANGEMENT AGREEMENT

     B-1  

APPENDIX C – PLAN OF ARRANGEMENT

     C-1  

APPENDIX D – ARRANGEMENT RESOLUTION

     D-1  

APPENDIX  E – FORMAL VALUATION AND OPINION OF LOCUST WALK SECURITIES, LLC

     E-1  

APPENDIX F – PRIOR VALUATION

     F-1  

APPENDIX G – INTERIM ORDER

     G-1  

APPENDIX H – NOTICE OF APPLICATION FOR THE FINAL ORDER

     H-1  

APPENDIX I – DISSENT PROVISIONS OF THE CBCA

     I-1  

APPENDIX J – DISSENT PROVISIONS OF THE ABCA

     J-1  

 

- v -


Table of Contents

PERSONS MAKING THE SOLICITATION

The information contained in this proxy statement (the “Proxy Statement”) is furnished in connection with the solicitation of proxies by Aptose Biosciences Inc. (the “Corporation”, “Aptose”, “we” or “our”) to be used at the special meeting (the “Meeting”) of holders (the “Shareholders”) of common shares (the “Shares”) of the Corporation to be held on ●, 2026 at 11:00 a.m. (Eastern time) and at all adjournments thereof, for the purposes set forth in the accompanying notice of meeting (the “Notice of Meeting”). The Meeting will be held online at https://meetings.lumiconnect.com/400-581-122-608. There will be no physical location for Shareholders and duly appointed proxyholders to attend.

The information contained in this Proxy Statement is given as at ●, 2026 except where otherwise noted. All references to “dollar” or the use of the symbol “$” are to United States dollars and use of the symbol “C$” refers to Canadian dollars, unless otherwise indicated.

On February 26, 2025, the Corporation effected a reverse stock split on a thirty (30) to one (1) Share basis. All Share and per Share amounts have been adjusted retroactively to reflect the reverse stock split as if it had occurred at the beginning of the earliest period presented.

This Proxy Statement does not constitute the solicitation of an offer to purchase, or the making of an offer to sell, any securities or the solicitation of a proxy by any person in any jurisdiction in which such solicitation or offer is not authorized or in which the person making such solicitation or offer is not qualified to do so or to any person to whom it is unlawful to make such solicitation or offer.

Information contained in this Proxy Statement should not be construed as legal, tax or financial advice and Shareholders are urged to consult their own professional advisors in connection therewith.

Descriptions in this Proxy Statement of the terms of the Arrangement Agreement, the Plan of Arrangement and the Support and Voting Agreements are summaries of the terms of those documents and are qualified in their entirety by such terms. Shareholders should refer to the full text of each of the Arrangement Agreement, the Plan of Arrangement and the Support and Voting Agreements for complete details of those documents.

 

- vi -


Table of Contents

SUMMARY

The Proxy Statement is dated ●, 2026, and is first being mailed to Shareholders on or about ●, 2026.

The following summary highlights information described in more detail elsewhere in this Proxy Statement. Each item in this summary includes a page reference directing you to a more complete description of that topic. Please refer to the sections entitled “Questions about the Arrangement”, “Questions about the Special Meeting and Voting your Shares”, and the more detailed information contained elsewhere in this Proxy Statement, the appendices to this Proxy Statement, and the documents referred to in this Proxy Statement, which you should read carefully. You may obtain further information by following the instructions in the section entitled “Additional Information”.

In this Proxy Statement, the terms “we,” “us,” “our,” the “Corporation” and “Aptose” refer to Aptose Biosciences Inc. Capitalized terms used but not specifically defined in this Proxy Statement are defined in the section entitled “Glossary of Terms”.

The Companies

Aptose Biosciences Inc. Aptose is a clinical stage biotechnology company committed to the development and commercialization of precision medicines addressing unmet clinical needs in oncology, with an initial focus on hematology. The Corporation’s small molecule cancer therapeutics pipeline includes products designed to provide single agent efficacy and to enhance the efficacy of other anti-cancer therapies and regimens without overlapping toxicities. The Corporation’s executive offices are located at Suite 120, 12770 High Bluff Drive, San Diego, California, its head office is located at 66 Wellington Street West, Suite 5300, TD Bank Tower Box 48, Toronto ON M5K 1E6, and its telephone number is 858-926-2730.

Hanmi Pharmaceutical Co. Ltd. Founded in 1973, the Parent is an R&D-oriented biopharmaceutical company. After the establishment by Pharmacist Lim Sung-ki, it was converted into a holding company system in 2010 and incorporated into a subsidiary of Hanmi Science. The Parent invests more than 15% of its sales in R&D every year and is developing 26 drug candidates for innovative new drugs in three major fields; 1) Biologics: LAPSCOVERY platform applied long-acting pipeline; 2) NCE: Primarily oncology and auto-immune disease targeted pipelines; and 3) Fixed-dose combination programs. The Parent is focusing on three core therapeutic areas: cancer, cardiometabolic, and rare diseases. In addition, The Parent operates production facilities ranging from raw materials to chemicals and biopharmaceuticals and has more than 5,000 employees in Korea and China. The current business address of the Parent is 14, Wiryeseong-daero, Songpa-gu, Seoul, 05545, Korea, and its telephone number is +82 2 410 0391.

HS North America Ltd. The Purchaser is a wholly owned subsidiary of the Parent and was incorporated under the ABCA on November 14, 2025 solely for the purpose of engaging in the transactions contemplated by the Arrangement Agreement (the “Transaction”) and has not engaged in any business activities other than in connection with the transactions contemplated by the Arrangement Agreement. The current business address of the Purchaser is 14, Wiryeseong-daero, Songpa-gu, Seoul, 05545, Korea and telephone number is +82 2 410 0391.

 

- 1 -


Table of Contents

The Continuance (page 30)

In connection with the Arrangement, the Corporation will continue from the CBCA to the ABCA, immediately after which the Arrangement will be completed. The Continuance is a condition precedent to the Arrangement.

The Arrangement (page 34)

Aptose entered into the Arrangement Agreement with the Parent and the Purchaser on November 18, 2025. A copy of the Arrangement Agreement is attached as Appendix B to this Proxy Statement. The Arrangement Agreement provides for the implementation of the Plan of Arrangement pursuant to which, among other things, the Purchaser will acquire all of the issued and outstanding Shares (other than the Shares beneficially owned or controlled by the Parent or any of its affiliates) by way of a statutory plan of arrangement under section 193 of the ABCA.

Upon closing of the Arrangement, Aptose will become a wholly-owned indirect subsidiary of the Parent and will apply to cease to be a reporting issuer under applicable Canadian securities laws and to deregister its securities under the Exchange Act as soon as practicable following the completion of the Arrangement and the Shares will be delisted from the TSX and OTC Markets. For information regarding the treatment of Warrants, Restricted Stock Units and Options under the Plan of Arrangement, see the section entitled “The Arrangement – Arrangement Steps”.

Arrangement Consideration (page 34)

If the Arrangement is completed, you will be entitled to receive the Consideration in respect of each Share, which is equal to C$2.41 in cash per Share, subject to applicable withholdings and other source deductions.

Source and Amount of Funds (page 34)

The Parent and the Purchaser intend to finance the aggregate Consideration payable for the Shares pursuant to the Arrangement through cash on hand and internal resources of the Parent and its affiliates.

Anticipated Accounting Treatment of the Arrangement (page 35)

The Arrangement will be accounted for in accordance with U.S. GAAP.

The Meeting (page 18)

The Meeting will be held on ●, 2026 at 11:00 a.m. (Eastern time). The Meeting will be held online at https://meetings.lumiconnect.com/400-581-122-608 . There will be no physical location for Shareholders and duly registered proxyholders to attend. The online Meeting will be accessible 15 minutes before the start time.

The purpose of the Meeting is for Shareholders to vote upon the Continuance Resolution and the Arrangement Resolution.

To become effective, the Continuance Resolution must be approved by an affirmative vote of not less than 6623% of the votes cast on the Continuance Resolution by Shareholders, virtually present or represented by proxy at the Meeting, each being entitled to one vote per Share (the “Continuance Resolution Shareholder Approval”).

 

- 2 -


Table of Contents

To become effective, the Arrangement Resolution must be approved by: (1) an affirmative vote of not less than 6623% of the votes cast on the Arrangement Resolution by Shareholders, virtually present or represented by proxy at the Meeting, each being entitled to one vote per Share; and (2) an affirmative vote of a majority of the votes cast by Shareholders virtually present or represented by proxy at the Meeting, each being entitled to one vote per Share, after excluding the votes of those Persons whose votes are required to be excluded under MI 61-101 (collectively with the Continuance Resolution Shareholder Approval, the “Required Shareholder Approval”).

As of the date of this Proxy Statement, Aptose is not currently aware of any other business to come before the Meeting.

Quorum and Record Date (page 30)

The board of directors (the “Board”) has fixed the close of business on ●, 2025 as the record date (the “Record Date”) for the determination of Shareholders entitled to receive notice of, and vote at, the Meeting. Only Shareholders will be entitled to receive notice and vote at, the Meeting. A quorum for the transaction of business at any meeting of Shareholders is not less than two Persons holding at least 3313% of the Shares entitled to vote at the Meeting virtually present or represented by proxy. If a quorum is not present at the time appointed for a Meeting, or within such reasonable time thereafter as the chair of the Meeting may determine, the chair of the Meeting may adjourn the meeting to a fixed time and place but may not transact any other business.

Background to the Arrangement (page 36)

See “The ArrangementBackground to the Arrangement” for a summary of the main events that led to the execution of the Arrangement Agreement and certain meetings, negotiations, discussions and actions of the parties that preceded the execution of the Arrangement Agreement and the related public announcements.

Recommendation of the Board and Transaction Committee and Reasons for the Arrangement (page 41)

The Board, after careful review and consideration and consultation with its financial and legal advisors, and upon the unanimous recommendation of the Transaction Committee, unanimously (1) determined that the Arrangement is fair to the Shareholders (other than any Shares held by the Parent or any of its affiliates immediately prior to the Effective Time (the “Excluded Shares”)); (2) determined that the Arrangement is in the best interests of Aptose; and (3) recommends that the Shareholders vote “FOR” the Arrangement Resolution.

For the reasons considered by the Board in reaching its decision to approve the Arrangement Agreement, see the sections entitled “The Arrangement – Recommendation of the Board and Transaction Committee and Reasons for the Arrangement”.

Formal Valuation and Fairness Opinion of Locust Walk Securities, LLC (page 45)

Locust Walk Securities, LLC (“Locust Walk”) was retained by the Transaction Committee to provide financial advice and prepare a formal valuation of the Shares, as required under MI 61-101 (the “Formal Valuation”). Locust Walk delivered a valuation that, as of November 18, 2025, and based on Locust Walk’s analysis and subject to the assumptions, limitations and qualifications to be set forth

 

- 3 -


Table of Contents

in the Formal Valuation, using multiple analyses, including DCF modeling, the fair market value of the Shares is in the range of C$1.00 to C$5.08 per Share. Locust Walk has also delivered an oral opinion to the Transaction Committee that, as of November 18, 2025, and subject to the assumptions, limitations and qualifications set forth in Locust Walk’s written fairness opinion, the consideration to be received by the Shareholders, other than the Parent or any of its affiliates, pursuant to the Arrangement Agreement is fair, from a financial point of view, to such Shareholders.

The full text of Locust Walk’s Formal Valuation and Fairness Opinion, dated November 18, 2025, which describes the assumptions made, procedures followed, matters considered, and qualifications and limitations upon the review undertaken by Locust Walk in preparing its opinion and formal valuation, is attached as Appendix E.

Locust Walk’s financial advisory services, opinion and formal valuation were provided for the information and assistance of the Transaction Committee in connection with and for purposes of its consideration of the Transaction and Locust Walk’s opinion addressed only the fairness, from a financial point of view, as of the date thereof, to the Shareholders (other than the Parent and its affiliates) of the Consideration to be received by such holders pursuant to the Arrangement Agreement. Locust Walk’s opinion did not address any other term or aspect of the Arrangement Agreement or the Transaction and does not constitute a recommendation to any Shareholder or any other person as to how such Shareholder or other person should vote with respect to the Transaction or otherwise act with respect to the Transaction or any other matter.

The full text of Locust Walk’s written opinion and formal valuation should be read carefully in its entirety for a description of the assumptions made, procedures followed, matters considered, and qualifications and limitations upon the review undertaken by Locust Walk in preparing its opinion and formal valuation.

Regulatory Approvals (pages 55 and 64)

Other than the Final Order and the Korea’s Foreign Exchange Transactions Act Filing, the Corporation is not aware of any material Regulatory Approvals to complete the Arrangement. In the event that any additional Regulatory Approvals are determined to be required, such Regulatory Approvals will be sought. Any such additional Regulatory Approvals could delay the Effective Date or prevent the completion of the Arrangement. The Korea’s Foreign Exchange Transactions Act Filing will be completed shortly before the closing of the Arrangement. While there can be no assurance that the Final Order or any other Regulatory Approvals that are determined to be required will be obtained, the Corporation currently anticipates that the Final Order and any other Regulatory Approvals that are determined to be required will have been obtained or otherwise resolved by the Effective Date.

The Arrangement Agreement (page 58)

In the Arrangement Agreement, each of Aptose, the Parent and the Purchaser has agreed to certain covenants, including customary covenants relating to the operation of Aptose’s business in the ordinary course, to satisfy the conditions precedent to their respective obligations under the Arrangement Agreement and the Plan of Arrangement, and to obtain the regulatory approvals described in the Arrangement Agreement. A copy of the Arrangement Agreement and the Plan of Arrangement are each attached to this Proxy Statement as Appendix B and Appendix C, respectively. We urge you to read the full text of the Arrangement Agreement and the Plan of Arrangement because they are the legal documents that govern the Arrangement.

 

- 4 -


Table of Contents

Restrictions on Solicitations of Other Offers (page 69)

Pursuant to the Arrangement Agreement, Aptose has agreed, subject to certain exceptions, not to:

 

   

solicit, assist, initiate, knowingly encourage or otherwise knowingly facilitate (including by way of furnishing or providing copies of, access to, or disclosure of, any confidential information, properties, facilities, books or records of the Corporation or any Subsidiary or entering into any form of Contract, agreement, arrangement or understanding) any inquiry, proposal or offer (whether public or otherwise) that constitutes, or may reasonably be expected to constitute or lead to, an Acquisition Proposal;

 

   

enter into, engage in, continue or otherwise participate in any discussions or negotiations with any Person (other than the Parent, the Purchaser and their affiliates) regarding any inquiry, proposal or offer that constitutes or may reasonably be expected to constitute or lead to, an Acquisition Proposal;

 

   

make a Change in Recommendation (as further described below);

 

   

enter into any Contract or agreement in principle requiring the Corporation to abandon, terminate or fail to consummate the Arrangement or any other transactions contemplated by the Arrangement Agreement or fail to consummate the Arrangement or any other transactions contemplated by the Arrangement Agreement or to breach its obligations hereunder, or propose or agree to do any of the foregoing; or

 

   

accept or enter into, or publicly propose to accept or enter into, any Contract, letter of intent, term sheet, understanding or arrangement (in each case, whether or not legally binding) or similar document with any Person in respect of an Acquisition Proposal (other than a confidentiality and standstill agreement permitted under the Arrangement Agreement).

However, if at any time prior to obtaining the Required Shareholder Approval at the Meeting, Aptose receives a bona fide unsolicited written Acquisition Proposal, Aptose may, among other things, engage in or participate in discussions or negotiations with the relevant Persons regarding such Acquisition Proposal, and may provide copies of, access to or disclosure of information relating to the assets, properties, facilities, books and records of Aptose or any of its subsidiaries to such person making an Acquisition Proposal if, among other things, Aptose enters into a confidentiality and standstill agreement with such Person having customary standstill provisions of not less than 12 months and the Board first determines in good faith, upon recommendation of the Transaction Committee and after consultation with its financial and outside legal advisors, that such Acquisition Proposal constitutes or would reasonably be expected to constitute a Superior Proposal.

In addition, the Board may not change its recommendation to Shareholders to vote in favour of the Arrangement Resolution, or cause or permit Aptose to enter into any agreement relating to or providing for an Acquisition Proposal (other than a confidentiality agreement permitted under the Arrangement Agreement). However, if the Board receives a bona fide unsolicited written Acquisition Proposal that constitutes a Superior Proposal prior to obtaining the Required Shareholder Approval, the Board is permitted under certain circumstances to make a Change in Recommendation and/or enter into a definitive agreement with respect to such Superior Proposal, provided that, amongst other conditions the Parent has first been provided with the opportunity to match any such Superior Proposal for a period of at least five full Business Days.

 

- 5 -


Table of Contents

Conditions to the Arrangement (page 76)

The obligations of Aptose, the Parent and the Purchaser, as applicable, to consummate the Arrangement are subject to the satisfaction or waiver of certain conditions, including the following:

 

   

the Arrangement Resolution being approved and adopted by the Shareholders at the Meeting in accordance with the Interim Order;

 

   

The Continuance Resolution being approved and adopted by the Shareholders at the Meeting;

 

   

the Interim Order and the Final Order each being obtained on terms consistent with the Arrangement Agreement, and not being set aside or modified in a manner unacceptable to either the Corporation or the Purchaser, each acting reasonably, on appeal or otherwise;

 

   

each of the Regulatory Approvals shall being obtained on terms acceptable to the Corporation, the Parent and the Purchaser (each acting reasonably);

 

   

no Law (other than a Regulatory Approval) being in effect that makes the consummation of the Arrangement illegal or otherwise prevents, prohibits or enjoins the Corporation, the Parent or the Purchaser from consummating the Arrangement;

 

   

the Articles of Arrangement to be filed with the Registrar under the ABCA in accordance with the Arrangement Agreement being in a form and content satisfactory to the Corporation and the Purchaser, each acting reasonably;

 

   

the Articles of Continuance to be filed with the Registrar in accordance with the Arrangement Agreement being in form and content satisfactory to the Corporation and the Purchaser, each acting reasonably, and the Articles of Continuance having been filed with the Registrar and the Continuance having been completed;

 

   

there being no action or proceeding (whether, for greater certainty, by a Governmental Entity or any other Person) commenced in any jurisdiction that is reasonably likely to:

 

   

cease trade, enjoin or prohibit or impose any limitations, damages or conditions on, the Parent’s or the Purchaser’s ability to acquire, hold, or exercise full rights of ownership over, any Shares, including the right to vote the Shares;

 

   

prohibit the Arrangement, or the ownership or operation by the Parent or the Purchaser of any material portion of the business or assets of the Corporation and its Subsidiaries (taken as a whole) or, except as a consequence of the obtention of Regulatory Approvals, compel the Parent or the Purchaser to dispose of or hold separate any material portion of the business or assets of the Corporation and its Subsidiaries (taken as a whole) as a result of the Arrangement; or

 

   

materially delay the consummation of the Arrangement, or if the Arrangement is consummated, have a Material Adverse Effect;

 

   

the accuracy of the representations and warranties of Aptose, the Parent and the Purchaser in the Arrangement Agreement, subject to certain materiality qualifiers (generally accurate other than where the failure or failures of any representations and warranties to be accurate in all

 

- 6 -


Table of Contents
 

respects as of the date of the Arrangement Agreement and at and as of the Effective Time, individually or in the aggregate, would not have, or reasonably be expected to have, a Material Adverse Effect);

 

   

Aptose, the Parent and the Purchaser having fulfilled or complied in all material respects with each of their covenants contained in the Arrangement Agreement on or prior to the Effective Time;

 

   

Dissent Rights not having been exercised (or, if exercised, remaining outstanding) with respect to more than 5% of the issued and outstanding Shares in respect of either of the Continuance Resolution or the Arrangement Resolution;

 

   

the Purchaser being satisfied, acting reasonably, that (i) all Incentive Securities and Warrants have been exercised or surrendered in accordance with their terms or being otherwise satisfied, acting reasonably, that the Incentive Securities and Warrants will no longer represent any right to acquire Shares after giving effect to the Arrangement, and (ii) there being no other outstanding claims or rights or securities which could become claims or rights to Shares;

 

   

since the date of the Arrangement Agreement, no Material Adverse Effect with respect to Aptose having occurred and been continuing;

 

   

since the date of the Arrangement Agreement, no Event of Default under the Facility Agreements of any breach by Aptose of the Debt Conversion and Interest Payment Agreement;

 

   

the Purchaser being satisfied with the implementation of certain actions in connection with certain of the Corporation’s Employee Plans;

 

   

subject to obtaining the Final Order and the satisfaction or waiver of the other conditions precedent contained in the Arrangement Agreement in its favour, the Purchaser having deposited or caused to be deposited in escrow in accordance with the terms of the Arrangement Agreement, the funds required to effect payment in full of the aggregate Consideration to be paid pursuant to the Arrangement; and

 

   

the delivery of certain other customary closing deliverables and certificates.

Termination (page 79)

The Arrangement Agreement may be terminated prior to the Effective Time by:

 

   

the mutual written agreement of the parties;

 

   

either Aptose, the Parent or the Purchaser if:

 

   

the Arrangement Resolution is not approved by the Shareholders at the Meeting in accordance with the Interim Order or the Continuance Resolution is not approved by the Shareholders at the Meeting (provided that the failure to obtain the approval of the Shareholders has been caused by, or is a result of, a breach by such party of any of its representations or warranties or the failure of such to perform any of its covenants or agreements under the Arrangement Agreement);

 

- 7 -


Table of Contents
   

after the date of the Arrangement Agreement, any law (including with respect to Regulatory Approvals) is enacted, made, enforced or amended, that makes the consummation of the Arrangement illegal or otherwise permanently prohibits or enjoins Aptose, the Parent or the Purchaser from consummating the Arrangement, and such law has, if applicable, become final and non-appealable (provided that the party seeking to terminate the Agreement has used its commercially reasonable efforts to, as applicable, prevent, appeal or overturn such law or otherwise have it lifted or rendered non-applicable in respect of the Arrangement); or

 

   

the Effective Time does not occur on or prior to the Outside Date (provided that the failure of the Effective Time to so occur has not been caused by a breach of the representations and warranties or the failure to perform any covenants by the party seeking to terminate the Arrangement Agreement);

 

   

Aptose if:

 

   

the Parent or the Purchaser has breached any representation or warranty or failed to perform any covenant or agreement in the Arrangement Agreement which would result in the failure to satisfy a closing condition and such breach or failure has not been timely cured or is incapable of being cured on or prior to the earlier of the Outside Date and the date that is 10 Business Days following receipt by the Parent of a termination notice from Aptose with respect to such breach or failure and the Corporation is not then in breach of the Arrangement Agreement so as to directly or indirectly cause a condition not to be satisfied;

 

   

upon the satisfaction or waiver by the applicable party(ies) of the closing conditions contained in the Arrangement Agreement, the Parent has failed to comply with its obligations under the Arrangement Agreement to provide the Depositary sufficient funds in order to satisfy the aggregate Consideration payable to Shareholders as provided for in the Plan of Arrangement; or

 

   

prior to the approval by the Shareholders of the Arrangement Resolution, the Board authorizes Aptose to enter into a written agreement (other than a confidentiality agreement permitted under the Arrangement Agreement) with respect to any Superior Proposal, subject to Aptose being in compliance in all material respects with the non-solicitation covenants in the Arrangement Agreement and payment of an Expense Fee by Aptose;

 

   

the Parent or the Purchaser if:

 

   

Aptose has breached any representation or warranty or failed to perform any covenant or agreement in the Arrangement Agreement which would result in the failure to satisfy a closing condition and such breach or failure has not been timely cured or is incapable of being cured on or prior to the earlier of the Outside Date and the date that is 10 Business Days following receipt by Aptose of a termination notice from the Parent with respect to such breach or failure;

 

   

prior to the approval by the Shareholders of the Arrangement Resolution: (1) the Board or the Transaction Committee fails to unanimously recommend or withdraws, amends, modifies or qualifies (in the case of an amendment, modification or qualification, in a manner adverse to the Purchaser), the Board Recommendation or publicly announces its intention to do any of

 

- 8 -


Table of Contents
 

the foregoing; (2) the Board or the Transaction Committee accepts, approves, endorses or recommends, or publicly proposes to accept, approve, endorse or recommend an Acquisition Proposal, or takes no position or remains neutral with respect to a publicly announced, or otherwise publicly disclosed, Acquisition Proposal for more than five Business Days (or beyond the third Business Day prior to the date of the Meeting, if sooner); (3) the Board or the Transaction Committee fails to publicly reaffirm the Board Recommendation within five Business Days after having been requested to do so by the Purchaser (in each of such cases, a “Change in Recommendation”), (4) the Corporation accepts or enters into, or publicly proposes to accept or enter into, any Contract, letter of intent, term sheet, understanding or arrangement (in each case, whether or not legally binding) or similar document in respect of an Acquisition Proposal (other than a confidentiality and standstill agreement permitted under the Arrangement Agreement); or (5) Aptose breaches the non-solicitation covenants contained in the Arrangement Agreement;

 

   

Dissent Rights having been exercised with respect to more than 5% of the issued and outstanding Shares by the Outside Date in respect of either of the Continuance Resolution or the Arrangement Resolution;

 

   

since the date of the Arrangement Agreement, there has occurred a Material Adverse Effect with respect to Aptose that is continuing and incapable of being cured on or prior to the Outside Date; or

 

   

it is not satisfied with the implementation of actions taken or to be taken by Aptose relating to certain Employee Plans of the Corporation.

Expense Fee (page 81)

In the event (i) a Change in Recommendation, (ii) a Superior Proposal or (iii) the Purchaser not being satisfied, in its sole discretion, with the implementation of actions taken or to be taken by the Corporation in connection with the matters set forth in Section 6.2(7) of the Corporation Disclosure Letter relating to certain Employee Plans of the Corporation, results in the termination of the Arrangement Agreement, Aptose shall be required to pay an expense fee of C$300,000 (the “Expense Fee”).

Interests of the Corporations Directors and Officers in the Arrangement (page 9)

In considering the recommendation of the Board to vote in favour of the Arrangement Resolution, Shareholders should be aware that certain of Aptose’s directors and executive officers have interests in the Arrangement that are different from, and/or in addition to, the interests of Shareholders generally. These interests include severance, deferred bonus and retention bonus agreements covering executive officers, and indemnification of directors and executive officers following the completion of the Arrangement. The Board was aware of and considered these interests, among other matters, in reaching its decision to approve the Arrangement and the Arrangement Agreement. For more information, see “The Arrangement – Interest of the Corporation’s Directors and Officers in the Arrangement”.

Failure to Complete the Arrangement

Pursuant to the terms of the Arrangement Agreement, in certain circumstances where the Corporation fails to complete the Arrangement, the Corporation will be required to commence without

 

- 9 -


Table of Contents

delay an application in the Court for an initial order and an amended and restated initial order (collectively, the “CCAA Order”) under the Companies Creditors Arrangement Act (Canada) (“CCAA”) as provided under the Arrangement Agreement (the “Alternative CCAA Proceedings”). See “The Arrangement Agreement – Alternative CCAA Proceedings” for more information.

Additionally, failure to complete the Arrangement could have a Material negative effect on the market price of the Shares and the Corporation will continue to face the risks that it currently faces with respect to its affairs, business and operations and future prospects.

Support and Voting Agreements (pages 56 and 82)

On November 18, 2025, in connection with the execution of the Arrangement Agreement, the Supporting Shareholders entered into Support and Voting Agreements with the Purchaser. Under the terms of the Support and Voting Agreements, the Supporting Shareholders have agreed, among other things, to vote their Shares in favour of the approval and authorization of the Arrangement Resolution and the Continuance Resolution at the Meeting and, subject to certain exceptions, not to transfer any of their Shares. As of November 18, 2025, the date of the Arrangement Agreement, the Supporting Shareholders beneficially owned an aggregate of approximately 0.26% of the outstanding Shares entitled to vote at the Meeting. The Support and Voting Agreements will terminate upon termination of the Arrangement Agreement and certain other specified events.

Certain Canadian Federal Income Tax Considerations (page 95)

Shareholders should carefully read the information in this Proxy Statement under “Certain Canadian Federal Income Tax Considerations” which qualifies the information set out below and should consult their own tax advisors to determine the particular tax consequences to them of the Arrangement.

Shareholders who are residents of Canada for purposes of the Tax Act will generally realize a taxable disposition of their Shares under the Arrangement. Shareholders should carefully read the information in this Proxy Statement under the heading “Certain Canadian Federal Income Tax Considerations – Holders Resident in Canada”.

Shareholders are urged to consult their own tax advisors having regard to their own particular circumstances.

Shareholders who are not residents of Canada for purposes of the Tax Act and who do not hold their Shares as “taxable Canadian property” (as defined in the Tax Act) will generally not be subject to tax under the Tax Act on the disposition of their Shares under the Arrangement. See “Certain Canadian Federal Income Tax Considerations – Holders Not Resident in Canada”.

Certain U.S. Federal Income Tax Considerations (page 101)

Shareholders should carefully read the information in this Proxy Statement under “Certain U.S. Federal Income Tax Considerations”, which qualifies the information set out below, and should consult their own tax advisors to determine the particular tax consequences to them of the Arrangement.

Shareholders which are U.S. Holders (as defined in such section below) will generally realize a taxable disposition of their Shares under the Arrangement. Shareholders should carefully read the information in this Proxy Statement under “Certain U.S. Federal Income Tax Considerations”. Such summary is not intended to be legal or tax advice to any particular Shareholder.

 

- 10 -


Table of Contents

Shareholders should consult their own tax advisors regarding the tax considerations arising from and relating to the Arrangement.

Risks Relating to the Arrangement (page 108)

There are numerous risks relating to the Arrangement, all of which should be carefully considered by Shareholders. A number of the risk factors that Shareholders should consider in connection with the Arrangement are described in the section entitled “Risk Factors”.

In addition, in the event the Arrangement is not approved: (i) the Corporation will continue to face the risks that it currently faces with respect to its affairs, business and operations and future prospects; and (ii) in certain circumstances, the Corporation will be required to implement the Alternative CCAA Proceedings.

Dissent Rights (page 114)

Registered Shareholders have the right to dissent with respect to the Continuance Resolution and, if the Continuance Resolution becomes effective, to be paid the fair value of their Shares in accordance with Section 190 of the CBCA. In addition, pursuant to the Interim Order, registered Shareholders have a right to dissent in respect of the Arrangement Resolution and to be paid an amount equal to the fair value of their Shares. These dissent rights and the dissent procedures are described in the Proxy Statement. The dissent procedures require that a registered Shareholder who wishes to exercise dissent rights send Aptose a written notice to inform Aptose of his, her or its intention to exercise dissent rights, which notice must be received by Aptose at its registered office located at 66 Wellington Street West, Suite 5300, TD Bank Tower Box 48, Toronto ON M5K 1E6, Attention: Charles-Antoine Soulière, not later than 5:00 p.m. (Eastern time) on the day that is two Business Days immediately preceding the date of the Meeting (as it may be adjourned or postponed from time to time). Failure to strictly comply with the dissent procedures will result in loss of the right to dissent. Beneficial owners of Shares must be aware that only registered Shareholders are entitled to dissent. Accordingly, a beneficial owner of Shares must make arrangements for the Shares beneficially owned by such Shareholder to be registered in the Shareholder’s name prior to the time the written objection to the Continuance Resolution or the Arrangement Resolution, as applicable, is required to be received by the Corporation, or alternatively, make arrangements for the registered holder of such Shares to dissent on the Shareholder’s behalf. It is strongly suggested that any Shareholder wishing to dissent seek independent legal advice, as the failure to comply strictly with the provisions of the CBCA or the ABCA, as modified by the Interim Order and the Plan of Arrangement, as applicable, may result in the forfeiture of such Shareholder’s right to dissent.

Only registered Shareholders are entitled to dissent. Shareholders should carefully read the sections in this Proxy Statement titled “Dissent Rights” if they wish to exercise Dissent Rights and seek their own legal advice as failure to strictly comply with the dissent procedures in Section 190 of the CBCA or Section 191 of the ABCA, as modified and supplemented by the Interim Order and the Plan of Arrangement, as applicable, will result in the loss or unavailability of the right to dissent. See Appendix G, Appendix I and Appendix J to this Proxy Statement for a copy of the Interim Order and the provisions of Section 190 of the CBCA and Section 191 of the ABCA, respectively. For more information, see the section entitled “Dissent Rights”.

 

- 11 -


Table of Contents

CAUTIONARY NOTE REGARDING FORWARD-LOOKING STATEMENTS

This Proxy Statement contains forward-looking statements within the meaning of the United States Private Securities Litigation Reform Act of 1995 and “forward-looking information” within the meaning of applicable Canadian securities law, which we collectively refer to as “forward-looking statements”. Such forward-looking statements reflect our current beliefs and are based on information currently available to us. In some cases, forward-looking statements can be identified by terminology such as “may”, “would”, “could”, “will”, “should”, “expect”, “plan”, “intend”, “anticipate”, “believe”, “estimate”, “predict”, “potential”, “continue”, “hope”, “foresee” or the negative of these terms or other similar expressions concerning matters that are not historical facts.

Many factors could cause our actual results, performance or achievements to be materially different from any future results, performance, or achievements that may be expressed or implied by such forward-looking statements, including, among others:

 

   

the occurrence of any event, change or other circumstance that could give rise to the termination of the Arrangement Agreement, including in circumstances that would require payment by Aptose of an Expense Fee or the commencement of proceedings under the CCAA;

 

   

the failure to obtain the required vote of Shareholders to approve the Continuance Resolution or the Arrangement Resolution;

 

   

the inability of the parties to satisfy the other conditions to, and to complete, the Continuance and the Arrangement;

 

   

risks related to disruption of management’s attention from Aptose’s ongoing business operations due to the pendency of the Arrangement;

 

   

the effect of the announcement of the Arrangement on the Corporation’s operating results and business generally and the Corporation’s relationships with employees, customers, suppliers, partners and regulators;

 

   

the outcome of any legal proceedings that may be instituted against Aptose and others relating to the Arrangement Agreement;

 

   

the inherent uncertainty with financial or other forecasts or projections;

 

   

the impact of the Arrangement not being completed on the Corporation and its business and shareholders;

 

   

the failure to obtain the Regulatory Approvals;

 

   

uncertainties related to general economic, financial, regulatory and political conditions, as well as potential changes in law and regulatory interpretations and the competitive environment in which the Corporation operates; and

 

   

other risks and uncertainties pertaining to the Corporation, including the risks and uncertainties discussed in Aptose’s filings with the Canadian Securities Administrators and the SEC, including the “Risk Factors” sections of Aptose’s most recent Annual Report on Form 10-K and Quarterly Reports on Form 10-Q, Current Reports on Form 8-K, and other

 

- 12 -


Table of Contents
 

continuous disclosure documents filed with the Canadian Securities Administrators and the SEC, copies of which are available at www.sedarplus.ca and at www.sec.gov.

Except as required under applicable securities legislation, we undertake no obligation to publicly update or revise forward-looking statements, whether as a result of new information, future events or otherwise.

 

- 13 -


Table of Contents

QUESTIONS ABOUT THE ARRANGEMENT

The following questions and answers are intended to briefly address some commonly asked questions regarding the Arrangement Agreement and the Arrangement. These questions and answers do not address all questions that may be important to you as a Shareholder. Please refer to the section entitled “Summary” and the more detailed information contained elsewhere in this Proxy Statement, the appendices to this Proxy Statement, and the documents referred to in this Proxy Statement, which you should read carefully.

What is the Arrangement?

The Arrangement is the transaction contemplated under the Arrangement Agreement entered into by the Corporation, the Purchaser and the Parent under which, among other things, the Purchaser will acquire all of the issued and outstanding Shares (other than the Shares beneficially owned or controlled by the Parent or any of its affiliates) by way of a statutory plan of arrangement under section 193 of the ABCA.

On closing of the Arrangement, the Corporation will become a wholly-owned indirect subsidiary of the Parent and will apply to cease to be a reporting issuer under applicable Canadian securities laws and to deregister its securities under the Exchange Act as soon as practicable following the completion of the Arrangement, and the Shares will be delisted from the TSX and the OTC Markets. The Arrangement will be carried out pursuant to the terms of the Arrangement Agreement and the Plan of Arrangement. For information regarding the treatment of Warrants, Restricted Stock Units and Options in the Arrangement, see the section entitled “The Arrangement – Arrangement Steps”.

What will I receive in the Arrangement?

If the Arrangement is completed, you will be entitled to receive the Consideration in respect of each Share, which is equal to C$2.41 in cash per Share, subject to applicable withholdings and other source deductions. If you are a registered Shareholder, you must complete and follow the instructions in the Letter of Transmittal to receive the Consideration. If you are a Beneficial Shareholder, you should contact your Intermediary to arrange for your Intermediary to complete the necessary transmittal documents (including the Letter of Transmittal) and make such other arrangements with your Intermediary as are necessary to receive the Consideration.

What does the Board Recommend?

The Board, after careful review and consideration and consultation with its financial and legal advisors, and upon the unanimous recommendation of the Transaction Committee, unanimously (1) determined that the Arrangement is fair to the Shareholders (other than the Parent and its affiliates); (2) determined that the Arrangement is in the best interests of the Corporation; and (3) recommends that the Shareholders vote “FOR” the Arrangement Resolution.

For more information, you should also review the sections entitled “The Arrangement – Recommendation of the Board and Transaction Committee and Reasons for the Arrangement”.

How do the directors and executive officers of the Corporation intend to vote?

The directors and executive officers of the Corporation have each entered into a Support and Voting Agreement with the Parent pursuant to which each has agreed to vote or cause to be voted all

 

- 14 -


Table of Contents

Shares owned or controlled by them in favour of the Arrangement Resolution and the Continuance Resolution. As of November 18, 2025, the date of the Arrangement Agreement, the Shares held by all Supporting Shareholders represent in the aggregate approximately 0.26% of the outstanding Shares entitled to vote at the Meeting.

For more information see the section entitled “The Arrangement – Support and Voting Agreements”.

Why is the Board proposing the Arrangement?

The Board is proposing the Arrangement because, after consultation with its financial and legal advisors and careful consideration of various factors, and upon the unanimous recommendation of the Transaction Committee, the Board has unanimously determined that the Arrangement is fair to the Shareholders (other than the Parent and its affiliates) and that the Arrangement is in the best interests of the Corporation.

In reaching these determinations, the Transaction Committee and the Board each considered numerous factors, including, among other things, the potential benefits and risks of the Arrangement.

For details regarding the process followed by, and reasons for the recommendation of, the Board, see the sections entitled “The Arrangement – Background to the Arrangement”, “The Arrangement – Recommendation of the Board and Transaction Committee and Reasons for the Arrangement”.

When does the Corporation expect the Arrangement to be effective?

The completion of the Arrangement is conditional upon, among other things, receipt of the Required Shareholder Approval, the granting of the Final Order, receipt of the Regulatory Approvals, and such other conditions to completion as set forth in the Arrangement Agreement.

Accordingly, the exact timing of completion of the Arrangement cannot be predicted. As required by the terms of the Arrangement Agreement, the Corporation is holding the Meeting as soon as reasonably practicable in order to obtain the Required Shareholder Approval of the Arrangement Resolution.

For more information, see the sections entitled “The Arrangement Agreement – Conditions to the Arrangement” and “The Arrangement Agreement – Covenants – Regulatory Approvals”.

Has the Corporation received a fairness opinion in connection with the Arrangement?

The Corporation retained Locust Walk as the Corporation’s financial advisor in connection with the Arrangement and the other transactions contemplated by the Arrangement Agreement. In connection with this engagement, the Transaction Committee requested that Locust Walk evaluate the fairness, from a financial point of view, to the holders of Shares (other than Excluded Shares) of the Consideration proposed to be received by such holders pursuant to the Arrangement Agreement. On November 18, 2025, Locust Walk rendered to the Board its oral opinion, which was subsequently confirmed by delivery of a written opinion dated November 18, 2025 that, as of such date and based upon and subject to the various assumptions made, procedures followed, matters considered, and qualifications and limitations upon the review undertaken by Locust Walk in preparing its opinion, the Consideration proposed to be received by Shareholders, other than the Parent or any of its affiliates, pursuant to the Arrangement Agreement is fair, from a financial point of view, to such Shareholders.

 

- 15 -


Table of Contents

For more information, see the section entitled “The Arrangement – Formal Valuation and Fairness Opinion of Locust Walk Securities, LLC”. The full text of Locust Walk’s written opinion, dated November 18, 2025, which describes the assumptions made, procedures followed, matters considered, and qualifications and limitations upon the review undertaken by Locust Walk in preparing its opinion, is attached as Appendix E and is incorporated herein by reference.

How will the Arrangement affect my ownership and voting rights as a Shareholder?

Following the completion of the Arrangement, Shareholders will not have any interest in the Corporation or its securities, assets, future revenues or profits. On completion of the Arrangement, it is intended that the Shares will be delisted from the TSX and the OTC Markets and the Corporation will apply to cease to be a reporting issuer under Canadian securities laws and to deregister its securities under the Exchange Act as soon as practicable following the completion of the Arrangement.

What happens if the Arrangement is not completed?

If the Arrangement is not completed, Shareholders will retain their Shares and will not receive the Consideration. If the Arrangement is not completed, the Shares will continue to be listed for trading on the TSX. Failure to complete the Arrangement may have a material negative effect on the trading price of the Shares.

Pursuant to the terms of the Arrangement Agreement, in certain circumstances where the Corporation fails to complete the Arrangement, the Corporation will be required to commence without delay the Alternative CCAA Proceedings. See “The Arrangement Agreement – Alternative CCAA Proceedings” for more information.

Shareholders will continue to be subject to the same or similar risks and uncertainties currently facing the Corporation and disclosed in the Corporation Annual Report on Form 10-K for the year ended December 31, 2024 filed with the SEC and available on EDGAR and SEDAR+, as updated by the Corporation’s continuous disclosure filings, copies of which are available at www.sec.gov and at www.sedarplus.ca.

For more information, see the section entitled “Risk Factors”.

Are there risks I should consider in connection with the Arrangement?

Yes. Particulars of the Arrangement are described in this Proxy Statement and a copy of the Arrangement Agreement is attached as Appendix B. A number of the risk factors that you should consider in connection with the Arrangement are described in the section entitled “Risk Factors”.

What will I receive for my Options, RSUs or Warrants under the Arrangement?

Upon completion of the Arrangement:

 

   

each Option held by an Option holder will cease to represent an option or other right to acquire Shares and shall be surrendered to the Corporation and exchanged for an amount in cash, payable by the Corporation, equal to the Consideration less the applicable exercise price in respect of such Option, less any applicable withholdings;

 

   

each RSU held by a RSU holder will cease to represent a share unit of the Corporation and shall be surrendered to the Corporation and exchanged for an amount in cash, payable by the Corporation, equal to the Consideration, less any applicable withholdings;

 

- 16 -


Table of Contents
   

each Warrant held by a Warrant holder other than Warrants held by Armistice Capital Master Fund Ltd. (the “Armistice Warrants”) will cease to represent a common share purchase warrant of the Corporation and shall be surrendered to the Corporation and exchanged for an amount in cash, payable by the Corporation, equal to the Consideration, less the exercise price per Share of such Warrant, less any applicable withholdings; and

 

   

each Armistice Warrant will cease to represent a common share purchase warrant of the Corporation, and shall be deemed to be surrendered and exchanged for an amount in cash, payable by the Corporation, equal to the Black Scholes Amount, less any applicable withholdings.

What happens if I sell my Shares before completion of the Arrangement?

If you transfer your Shares, you will have transferred your right to receive the applicable Consideration for your Shares in the Arrangement. In order to receive the applicable Consideration, you must hold your Shares through completion of the Arrangement.

The Record Date for Shareholders entitled to vote at the Meeting is earlier than the closing of the Arrangement. If you transfer your Shares after the Record Date but before the closing of the Arrangement, you will have transferred your right to receive the applicable Consideration in the Arrangement, but retained the right to vote at the Meeting.

Am I entitled to Dissent Rights?

Only registered Shareholders are entitled to exercise Dissent Rights with respect to the Arrangement Resolution and the Continuance Resolution.

A Beneficial Shareholder desiring to exercise its Dissent Rights must make arrangements for the Shares beneficially owned by such Beneficial Shareholder to be registered in the Beneficial Shareholder’s name prior to the time the written objection to the Arrangement Resolution or the Continuance Resolution, as applicable, is required to be received by the Corporation or, alternatively, make arrangements for the registered holder of such Shares to dissent on the Beneficial Shareholder’s behalf. A registered Shareholder wishing to exercise Dissent Rights may only dissent with respect to all of the Shares held on behalf of any one Beneficial Shareholder and registered in the name of such Shareholder.

For more information, see the section entitled “Dissent Rights”.

 

- 17 -


Table of Contents

QUESTIONS ABOUT THE SPECIAL MEETING AND VOTING YOUR SHARES

What are the date, time and place of the Meeting?

The Meeting will be held on [    ], 2026 at 11:00 a.m. (Eastern time). The Meeting will be held online at https://meetings.lumiconnect.com/400-581-122-608 . There will be no physical location for Shareholders and duly registered proxyholders to attend. The online Meeting will be accessible 15 minutes before the start time.

How can I access the Meeting virtually?

To participate in the Meeting virtually, visit https://meetings.lumiconnect.com/400-581-122-608. Registered Shareholders and duly appointed and registered proxyholders will be able to listen, vote and ask questions via the virtual meeting platform. It is to be noted, however, that questions cannot be submitted prior to the Meeting. Non-registered Shareholders who have not appointed themselves as proxyholders will only be able to attend the online Meeting as “Guests” and will not be able to vote or ask questions at the Meeting. To access the Meeting virtually, registered Shareholders and duly appointed proxyholders will need an Internet connection and an Internet-connected device (such as a desktop, laptop, tablet or cell phone) running the most updated version of applicable software and plugins. The virtual meeting platform is fully supported across browsers (Microsoft Edge, Chrome, Firefox and Safari). Participants in the online Meeting must be connected to Internet at all times during the Meeting in order to vote when balloting commences. A summary of the information Shareholders will need to attend the Meeting virtually is provided below:

 

1.

Registered Shareholders and duly appointed proxyholders can participate in the Meeting virtually by clicking “I have a login” and entering a Username and Password before the start of the Meeting.

 

  (a)

Registered Shareholders – The 15-digit control number located on the form of proxy or in the email notification you received is the Username and the Password is “aptose2026”.

 

  (b)

Duly appointed proxyholders – Following the registration of the proxyholder with Computershare Investor Services Inc. (“Computershare”), Computershare will provide the proxyholder with a Username after the voting deadline has passed. The Password to the online Meeting is “aptose2026”.

 

2.

Voting at the Meeting will only be available for registered Shareholders and duly appointed and registered proxyholders. Non-registered Shareholders who have not appointed themselves may attend the Meeting virtually by clicking “I am a guest” and completing the online form. This will allow them to listen to the online Meeting; however, they will not be able to vote or submit questions.

 

3.

Registered Shareholders who use a 15-digit control number to login to the online Meeting and who accept the terms and conditions will be revoking any and all previously submitted proxies. However, in such a case, registered Shareholders will be provided the opportunity to vote by ballot on the matters put forth at the Meeting. If registered Shareholders do not wish to revoke all previously submitted proxies, they should not accept the terms and conditions, in which case they can only enter the online Meeting as a guest.

 

- 18 -


Table of Contents

If you attend the Meeting virtually, it is important that you remain connected to the internet at all times during the online Meeting in order to vote when balloting commences. It is your responsibility to ensure connectivity for the duration of the Meeting. You will be able to access the online Meeting 15 minutes before the start time and should allow ample time for online check-in, which will begin at 11:00 a.m. (Eastern time) on ●, 2026.

Why is the Meeting held virtually?

By conducting our Meeting online, the Board aims to provide Shareholders a convenient opportunity to participate in the Meeting without incurring significant travel costs or being restricted by time constraints.

The format of the Meeting has been designed to ensure that Shareholders who attend the Meeting online will be afforded the same rights and opportunities to participate as they have in previous special shareholders’ meetings. Directors will also attend the Meeting via the virtual platform.

Can I submit questions prior or at the Meeting?

Registered Shareholders and duly appointed and registered proxyholders can ask questions during the online Meeting via the virtual meeting platform. It is to be noted, however, that questions cannot be submitted prior to the Meeting. Questions pertinent to the Meeting matters will be answered at a designated time during the Meeting, subject to time constraints. The chair of the Meeting reserves the right to edit or reject questions it deems irrelevant to meeting matters, profane or inappropriate.

The chair of the Meeting has broad authority to conduct the Meeting in an orderly manner. To ensure the Meeting is conducted in a manner that is fair to all Shareholders, the chair of the Meeting may exercise its discretion in recognizing Shareholders who wish to participate, in determining the order in which questions are answered, and the amount of time devoted to each question. However, consistent with prior special shareholders’ meetings, questions submitted in accordance with the rules of conduct generally will be addressed in the order received during the allotted time for questions.

Who can vote at the Meeting?

Only Shareholders as of the close of business on the Record Date, being ●, 2025, are entitled to receive notice of and vote on matters to be presented at the Meeting, or any adjournment or postponement thereof, in the manner and subject to the procedures described in this Proxy Statement and the accompanying form of proxy.

As at the Record Date, 2,552,429 Shares were issued and outstanding.

Each Shareholder is entitled to one vote per Share held on all matters to come before the Meeting. Shares of Aptose are the only securities of Aptose which will have voting rights at the Meeting.

What is the quorum for the Meeting?

The presence at the opening of the Meeting of two persons who are entitled to vote either as Shareholders or as proxyholders and holding or representing not less than 3313% of the outstanding Shares entitled to vote at the Meeting as of the Record Date will constitute a quorum for the transaction of business at the Meeting. In general, Shares represented by a properly signed and returned form of proxy, or properly voted by Internet or telephone, or voted by your broker will be counted as Shares

 

- 19 -


Table of Contents

present and entitled to vote at the Meeting for purposes of determining a quorum. “Broker non-votes” are also counted in determining whether a quorum is present.

What does it mean to vote by proxy?

Voting by proxy means that you are giving the person or people named on your form of proxy (the “proxyholder”) the authority to vote your Shares for you at the Meeting or any adjournment. A form of proxy is included with this Proxy Statement.

The management representatives named on the form of proxy will vote your Shares for you, unless you appoint someone else to be your proxyholder. You have the right to appoint a person to represent you at the Meeting other than the persons named on the form of proxy. If you appoint someone else, he or she must be present at the Meeting to vote your Shares. If you want to appoint someone else, you can insert that person’s name in the blank space provided in the form of proxy. That other person does not need to be a Shareholder of the Corporation.

If you are voting your Shares by proxy, our transfer agent, Computershare, must receive your completed form of proxy by 11:00 a.m. (Eastern time) on ●, 2026 or, if the Meeting is adjourned, 48 hours (excluding Saturdays, Sundays and holidays) before any adjournment of the Meeting.

What’s the difference between registered and non-registered (beneficial) Shareholders?

The voting process is different depending on whether you are a registered or non-registered (beneficial) Shareholder:

Registered Shareholders

You are a registered Shareholder if your name appears on your Share certificate or in the registers of the Corporation maintained by Computershare. Your form of proxy tells you whether you are a registered Shareholder. We mail copies of the Notice of Meeting, this Proxy Statement and the form of proxy (collectively, the “proxy materials”) directly to registered Shareholders. We have previously mailed our annual report to all registered Shareholders.

Non-Registered (or Beneficial) Shareholders

You are a non-registered (or beneficial) Shareholder if your bank, trust company, securities broker or other financial institution holds your Shares for you (as your nominee). For most of you, your voting instruction form or proxy tells you whether you are a non-registered (or beneficial) Shareholder.

In accordance with Canadian securities law and SEC rules, we have distributed copies of the proxy materials and the annual report to CDS Clearing and Depository Services Inc. and intermediaries (such as securities brokers or financial institutions) for onward distribution to those non-registered or beneficial Shareholders to whom we have not sent the proxy materials and the annual report directly.

The intermediaries are required to forward proxy materials and the annual report to non-registered or beneficial Shareholders unless a non-registered or beneficial Shareholder has waived the right to receive them. Very often, intermediaries will use a service company such as Broadridge Investor Communication Solutions to forward the proxy materials to non-registered or beneficial Shareholders.

 

- 20 -


Table of Contents

How do I vote?

Most non-registered or beneficial Shareholders who have not waived the right to receive proxy materials will receive a voting instruction form (“VIF”). Registered Shareholders will, and some non-registered (beneficial) Shareholders may receive a form of proxy. Shareholders should follow the additional procedures set out below, depending on what type of form they receive. Detailed instructions regarding Shareholders’ voting process are also available on the Investors page of our website at https://www.aptose.com/investors/news-events/ir-calendar.

 

1.

Voting Instruction Form. If the non-registered Shareholder does not wish to attend and vote at the Meeting (or have another person attend and vote on the non-registered Shareholder’s behalf), the voting instruction form must be completed, signed and returned in accordance with the directions on the form, so that the intermediary may vote on the non-registered Shareholder’s behalf.

If a non-registered Shareholder wishes to attend and vote at the Meeting (or have another person attend and vote on the non-registered Shareholder’s behalf), the non-registered Shareholder must complete, sign and return the VIF in accordance with the directions provided. If the non-registered Shareholder wishes to attend and vote at the Meeting, they must appoint themselves as proxyholder. Otherwise, the non-registered Shareholder will only be able to attend the Meeting as a “Guest”, and will not be able to vote or ask questions at the Meeting. Non-registered Shareholders should visit our website at https://www.aptose.com/investors/news-events/ir-calendar to obtain additional instructions on how to vote online during the Meeting.

Non-registered Shareholders who wish to appoint themselves as a proxy holder in order to attend the Meeting virtually or who wish to appoint a proxyholder other than a management representative to represent them at the online Meeting must submit their VIF prior to registering themselves or their proxyholder, as applicable. Registering themselves or the proxyholder, as applicable, is an additional step once a non-registered Shareholder has submitted their VIF. Failure to register themselves or another person other than a management representative as duly appointed proxyholder will result in the non-registered Shareholder or the proxyholder not receiving a Username to participate in the Meeting. To register a proxyholder (be it themselves or another person other than a management representative), non-registered Shareholders must visit https://www.computershare.com/aptose by 11:00 a.m. (Eastern time) on [    ], 2026 or, if the Meeting is adjourned, 48 hours (excluding Saturdays, Sundays and holidays) before any adjournment of the Meeting, and provide Computershare with their information or their proxyholder’s contact information, as applicable, so that Computershare may provide them or the proxyholder, as applicable, with a Username via email. Without a Username, non-registered Shareholders who appointed themselves as proxyholders and proxyholders will only be able to attend the Meeting as “Guests” and will not be able to vote or ask questions at the Meeting.

Or

 

2.

Form of Proxy. A registered Shareholder will receive a form of proxy to be completed, signed and returned in accordance with the directions on the form, if the registered Shareholder does not wish to attend and vote at the Meeting virtually (or have another person attend and vote on the registered Shareholder’s behalf).

 

- 21 -


Table of Contents

Registered Shareholders who wish to appoint a proxyholder other than a management representative to represent them at the online Meeting must submit their form of proxy prior to registering their proxyholder. Registering the proxyholder is an additional step once a registered Shareholder has submitted their proxy. Failure to register a duly appointed proxyholder will result in the proxyholder not receiving a Username to participate in the Meeting. To register a proxyholder, registered Shareholders must visit https://www.computershare.com/aptose by 11:00 a.m. (Eastern time) on [    ], 2026 or, if the Meeting is adjourned, 48 hours (excluding Saturdays, Sundays and holidays) before any adjournment of the Meeting, and provide Computershare with their proxyholder’s contact information, so that Computershare may provide the proxyholder with a Username via email. Without a Username, proxyholders will only be able to attend the Meeting as “Guests” and will not be able to vote or ask questions at the Meeting.

Registered Shareholders may also attend and vote at the Meeting. Registered Shareholders wishing to attend the Meeting virtually should visit our website at https://www.aptose.com/investors/news-events/ir-calendar to obtain additional instructions on how to vote online during the Meeting. The 15-digit control number provided on the registered Shareholder’s form of proxy will be required.

Less frequently, a non-registered Shareholder will receive, as part of the proxy materials, a form of proxy that has already been signed by the intermediary (typically by a facsimile or stamped signature), which is restricted as to the number of Shares beneficially owned by the non-registered Shareholder, but which is otherwise uncompleted. If the non-registered Shareholder does not wish to attend and vote at the Meeting (or have another person attend and vote on the non-registered Shareholder’s behalf), the non-registered Shareholder must complete the form of proxy and deposit it with Computershare, 320 Bay Street, 14th Floor, Toronto, Ontario, Canada, M5H 4A6 as described above.

If a non-registered Shareholder wishes to attend and vote at the Meeting (or have another person attend and vote on the non-registered Shareholder’s behalf), the non-registered Shareholder must strike out the names of the persons named in the proxy and if they intend to participate in the Meeting virtually, insert the non-registered Shareholder’s (or such other person’s) name in the blank space provided. The non-registered Shareholder must then register themselves or the other person, as applicable, as proxyholder. Registering themselves or the other person, as applicable, is an additional step once a non-registered Shareholder has submitted their completed form of proxy. Failure to register themselves or the other person, as applicable, as duly appointed proxyholder will result in the non-registered Shareholder or the proxyholder, as applicable, not receiving a Username to participate in the online Meeting. To register a proxyholder (be it themselves or another person), non-registered Shareholders must visit https://www.computershare.com/aptose by 11:00 a.m. (Eastern time) on [    ], 2026 or, if the Meeting is adjourned, 48 hours (excluding Saturdays, Sundays and holidays) before any adjournment of the Meeting, and provide Computershare with their information or their proxyholder’s contact information, as applicable, so that Computershare may provide them or the proxyholder, as applicable, with a Username via email. Without a Username, non-registered Shareholders who appointed themselves as proxyholders and proxyholders will only be able to attend the Meeting as “Guests” and will not be able to vote or ask questions at the Meeting.

 

- 22 -


Table of Contents
3.

United States non-registered (beneficial) Shareholders. If a non-registered Shareholder in the United States wishes to attend and vote at the online Meeting, they must first obtain a valid legal proxy from their broker, bank or other agent and then register in advance to attend the Meeting. The U.S. non-registered Shareholder should follow the instructions from their broker or bank included with these proxy materials, or contact their broker or bank to request a legal form of proxy. After first obtaining a valid legal proxy from their broker, bank or other agent, the U.S. non- registered Shareholder must then register to attend the online Meeting by submitting a copy of their legal proxy to Computershare. Requests for registration should be directed to:

Computershare

320 Bay Street

14th Floor

Toronto, Ontario

M5H 4A6

OR

Email at: uslegalproxy@computershare.com

Requests for registration must be labelled as “Legal Proxy” and be received no later than by 11:00 a.m. (Eastern time) on [     ], 2026. U.S. non-registered Shareholders will receive a confirmation of their registration by email receipt of their registration materials by Computershare. U.S. non-registered Shareholders will then be able to attend the Meeting and vote and ask questions at https://meetings.lumiconnect.com/400-581-122-608. U.S. non-registered Shareholders are required to register their appointment at www.computershare.com/appointee. If U.S. non-registered Shareholders do not follow the procedures set out above, they will only be able to attend the Meeting virtually as “Guests” and will not be able to vote or ask questions at the online Meeting.

Shareholders should follow the instructions on the forms they receive, and non-registered Shareholders should contact their intermediaries promptly if they need assistance.

How do I request a copy of proxy materials?

To request a printed copy of the proxy materials, please contact your broker, if you are a non-registered Shareholder, or if you are a registered Shareholder, contact our Senior Vice President, Chief Financial Officer, Chief Business Officer and Corporate Secretary at Aptose Biosciences Inc., Suite 120, 12770 High Bluff Drive, San Diego, California, telephone: 858-926-2730.

The proxy materials are being sent or made available to both registered and non-registered owners of Shares. The Corporation is sending proxy materials indirectly to non-objecting beneficial owners (as defined in National Instrument 54-101Communication with Beneficial Owners of Securities of a Reporting Issuer (“NI 54-101”)). The Corporation intends to pay for intermediaries to forward to objecting beneficial owners (as defined in NI 54-101) the proxy materials.

What am I voting on at the Meeting?

The following items of business will be covered at the Meeting:

 

1.

Proposal No. 1 – to consider, and if deemed advisable, to pass, with or without variation, a special resolution to approve a continuance of the Corporation from the Canada Business

 

- 23 -


Table of Contents
 

Corporations Act (“CBCA”) to the Business Corporations Act (Alberta) (the “Continuance Resolution”), the full text of which is set forth in Appendix A to the Proxy Statement;

 

2.

Proposal No. 2 - to consider, pursuant to the Interim Order, and, if deemed advisable, to pass, with or without variation, a resolution (the “Arrangement Resolution”), the full text of which is set forth in Appendix D to the Proxy Statement, approving a statutory arrangement (the “Arrangement”) pursuant to Section 193 of the ABCA; and

 

3.

Transacting such other business as may be properly brought before the Meeting.

As of the date of this Proxy Statement, the Board is not aware of any such other business.

How does the Board recommend that I vote?

The Board recommends that each Shareholder vote “FOR” Proposals No. 1 and 2.

What votes may I cast with regard to each Proposal?

You can choose to vote “For” or “Against” each of Proposals No. 1 and 2. The Shares represented by the form of proxy will be voted in accordance with the instructions of the Shareholder on any ballot that may be called for and, if the Shareholder specifies a choice with respect to any matter to be acted upon, the Shares will be voted accordingly.

If you return your form of proxy and do not tell us how you want to vote your Shares, your Shares will be voted in accordance with Board recommendations for each proposal by the management representatives named in the form of proxy.

The enclosed form of proxy confers discretionary authority upon the management representatives designated in the form of proxy with respect to amendments to or variations of matters identified in the Notice of Meeting and with respect to other matters that may properly come before the Meeting. At the date of this Proxy Statement, management of the Corporation knows of no such amendments, variations or other matters.

What vote is required in order to approve each Proposal?

 

 

Proposal No. 1: The Continuance Resolution will require the affirmative vote of at least two-thirds (6623%) of the votes cast by the Shareholders virtually present or represented by proxy and entitled to vote at the Meeting, voting as a single class. Broker non-votes will not be included in the total votes cast and will not affect the results.

 

 

Proposal No. 2: Pursuant to the Interim Order and Multilateral Instrument 61-101Protection of Minority Security Holders in Special Transactions (“MI 61-101”), the Arrangement Resolution will require the affirmative vote of: (i) at least two-thirds (6623%) of the votes cast by the Shareholders virtually present or represented by proxy and entitled to vote at the Meeting, voting as a single class; and (ii) a simple majority (50%+1) of the votes cast by the Shareholders virtually present or represented by proxy and entitled to vote at the Meeting, voting as a single class, excluding the votes of Shareholders whose votes are required to be excluded for the purpose of such vote under MI 61-101 (the “Minority Shareholders”). Broker non-votes will not be included in the total votes cast and will not affect the results.

What is the effect if I do not cast my vote?

If, as a registered Shareholder, you do not cast your vote at the Meeting or by proxy, no votes will be cast on your behalf on any of the Proposals.

 

- 24 -


Table of Contents

If you are a U.S. beneficial Shareholder with an intermediary, you must instruct your U.S. intermediary how to vote your shares. If, as a U.S. non-registered or beneficial Shareholder, you do not instruct your intermediary on how to vote on any of the Proposals at the Meeting, the intermediary does not have discretionary authority to vote your shares on Proposals No. 1 and 2 or any unusual item, so a “broker non-vote” will be recorded with respect to such item. Broker non-votes will be treated as not entitled to vote on any such matter and will not be counted as having been voted in respect of any such matter. Shares represented by such broker “non-votes” will, however, be counted in determining whether there is a quorum for the Meeting.

How do I change my vote?

A registered Shareholder who has given a proxy may revoke that proxy and change a vote by:

 

  (a)

completing and signing a proxy bearing a later date and depositing it with Computershare as described above;

 

  (b)

depositing an instrument in writing executed by the Shareholder or by the Shareholder’s attorney authorized in writing at our registered office located at 66 Wellington Street West, Suite 5300, TD Bank Tower Box 48, Toronto ON M5K 1E6, Canada at any time before 11:00 a.m. (Eastern time) on ●, 2026, or on the last business day before any adjournment of the Meeting at which the proxy is to be used;

 

  (c)

using your 15-digit control number and voting online at the Meeting; or

 

  (d)

in any other manner permitted by law.

A non-registered or beneficial Shareholder may revoke a voting instruction form or a waiver of the right to receive proxy materials and to vote given to an intermediary or to the Corporation, as the case may be, at any time by written notice to the intermediary or the Corporation, except that neither an intermediary nor the Corporation is required to act on a revocation of a voting instruction form or on a waiver of the right to receive materials and to vote that is not received by such intermediary or the Corporation, at least seven days prior to the Meeting.

What does it mean if I receive more than one set of proxy materials?

This means that you own Shares that are registered under different accounts. For example, you may own some Shares directly as a registered Shareholder and other Shares as a non-registered beneficial Shareholder through an intermediary, or you may own Shares through more than one such organization. In these situations, you will receive multiple sets of proxy materials. It is necessary for you to complete and return all forms of proxy and VIFs in order to vote all of the Shares you own. Please make sure you return each form of proxy or VIF in the accompanying return envelope. You may also vote by Internet, telephone, facsimile or email, as applicable, by following the instructions on your proxy materials.

Who is soliciting the proxies, how will proxies be solicited and who will pay the cost of the proxy solicitation?

Aptose is soliciting proxies to be used at the Meeting. The solicitation of proxies will be primarily by mail, but Aptose’s directors, officers and regular employees may also solicit proxies personally or by telephone. Aptose will bear all costs of the solicitation, including the printing, handling and mailing of the Meeting materials. Aptose has arranged for intermediaries to forward the

 

- 25 -


Table of Contents

Meeting materials to non-registered or beneficial Shareholders of record, and Aptose may reimburse the intermediaries for their reasonable fees and disbursements in that regard.

Aptose has retained Sodali & Co as their strategic shareholder advisor and proxy solicitation agent and will pay fees of up to $115,000 to Sodali & Co for proxy solicitation services in addition to out-of-pocket expenses.

Additionally, Aptose may use the Broadridge QuickVote service, which involves non-objecting beneficial shareholders being contacted by Sodali & Co to obtain voting instructions over the telephone, and relaying them to Broadridge (on behalf of the Shareholders’ intermediary). The QuickVote system is intended to assist Shareholders in placing their votes, however, Shareholders are not obligated to vote using the QuickVote system, a Shareholder may vote (or change or revoke their votes) at any other time and in any other applicable manner described in this Proxy Statement. Any voting instructions provided by a Shareholder will be recorded and such Shareholder will receive a letter from Broadridge (on behalf of the Shareholder’s intermediary) as confirmation that their voting instructions have been accepted.

What if amendments are made to the Proposals or if other matters are brought before the Meeting?

With respect to any amendments or variations in any of the Proposals, or any other matters which may properly come before the Meeting, the Shares will be voted by the appointed proxyholder as he or she in their sole discretion sees fit.

As of the date of this Proxy Statement, the Board is not aware of any such amendments, variations or other matters to come before the Meeting. However, if any such changes that are not currently known to the Board should properly come before the Meeting, the Shares represented by your proxyholders will be voted in accordance with the best judgment of the proxyholders.

Who will tabulate the votes?

We currently expect that Computershare will tabulate the votes, and the secretary of the Meeting will be our inspector of elections for the Meeting.

When will voting results be disclosed?

Preliminary voting results will be announced at the Meeting. Final voting results will be filed with the Canadian provincial securities regulatory authorities on SEDAR+ at www.sedarplus.ca promptly following the Meeting, and will also be published in a Current Report on Form 8-K filed with the SEC on EDGAR at www.sec.gov within four business days of the Meeting.

Whom do I contact if I have questions regarding the Meeting?

If you have any questions about the Special Meeting or require more information with respect to the procedures for voting, please contact our strategic shareholder advisor and proxy solicitation agent, Sodali & Co at 1-833-711-4830 toll free in North America or 1-289-695-3075 collect outside North America or by email at assistance@investor.sodali.com.

 

- 26 -


Table of Contents

VOTING SECURITIES AND PRINCIPAL HOLDERS OF VOTING SECURITIES

As of ●, 2025, 2,552,429 Shares are issued and outstanding. Each holder of Shares of record at the close of business on ●, 2025, will be entitled to one vote for each Share held on all matters proposed to come before the Meeting, except to the extent that the Shareholder has transferred any Shares after the Record Date and the transferee of such Shares establishes ownership of them and makes a written demand, not later than 10 days prior to the Meeting, to be included in the list of Shareholders entitled to vote at the Meeting, in which case the transferee will be entitled to vote such Shares.

 

- 27 -


Table of Contents

SHARE OWNERSHIP OF CERTAIN BENEFICIAL OWNERS,

MANAGEMENT AND DIRECTORS

The table below sets forth information known to us regarding the beneficial ownership of our Shares as of ●, 2026 for:

 

   

each person the Corporation believes beneficially holds more than 5% of our outstanding Shares based solely on our review of SEC filings and other shareholder data;

 

   

each of our directors;

 

   

each of our executive officers; and

 

   

all of our directors and executive officers as a group.

The number of Shares beneficially owned by a person includes shares subject to options held by that person that are currently exercisable or that become exercisable within 60 days of ●, 2026. Percentage calculations assume, for each person and group, that all Shares that may be acquired by such person or group pursuant to options currently exercisable or that become exercisable within 60 days of ●, 2026 are outstanding for the purpose of computing the percentage of Shares owned by such person or group. However, such unissued Shares described above are not deemed to be outstanding for calculating the percentage of Shares owned by any other person.

Except as otherwise indicated, the persons in the table below have sole voting and investment power with respect to all Shares shown as beneficially owned by them, subject to community property laws where applicable and subject to the information contained in the notes to the table.

 

    

Name of Beneficial Owner

             Amount and
Nature of
Beneficial
 Ownership(1)
              Percent of 
Class
    
   

Named Executive Officers and Directors

                   
   

Dr. Rafael Bejar

           5,106            *    
   

Dr. Denis Burger

           1,234            *    
   

Fletcher Payne

           3,308            *    
   

Dr. Erich Platzer

           2,252            *    
   

Dr. William G. Rice

           17,308            *    
   

Dr. Bernd R. Seizinger

           898            *    
   

Mark D. Vincent

       1,186        *  
   

Warren Whitehead

           1,108            *    
   

All Executive Officers and Directors as a Group (8 persons)

           32,400            1.3%    
   

Beneficial Owners of More Than 5%

                             
   

Hanmi Pharmaceutical Co., Ltd. (the “Parent”)(2)(3)

           508,710            19.9%    
   

Andrew Schwartzberg

           181,350            7.10%    
    *Does not exceed one percent of Shares outstanding
   

(1)   Includes for the persons listed below the following Shares subject to options or warrants held by such persons that are currently exercisable or become exercisable within 60 days of ●, 2026:

 

- 28 -


Table of Contents
   

Dr. Rafael Bejar: 4,862 options; Dr. Denis Burger: 1,186 options; Mr. Fletcher Payne: 3,064 options; Dr. Erich Platzer: 1,130 options; Dr. William G. Rice: 11,168 options and 1,667 warrants; Dr. Bernd R. Seizinger: 332 options; Dr. Mark Vincent: 1,172 options; and Mr. Warren Whitehead: 1,075 options.

   

(2)   Based on information contained in a schedule 13D filed with the SEC on March 20, 2025 by the Parent. The Parent also owns common share purchase warrants which, when exercised, will increase the number of Shares beneficially owned by the Parent.

   

(3)   The Parent’s ownership gives effect to the 19.99% ownership blocker (the “Blocker”) restriction contained in certain of its securities. The Parent currently holds warrants that would bring the Parent’s interest in the Corporation to 23.0%, if exercised without giving effect to the Blocker.

 

- 29 -


Table of Contents

THE CONTINUANCE

General

In order to complete the Arrangement, the Corporation must first continue its corporate existence under the ABCA, as provided in the Arrangement Agreement. The Corporation intends to apply to continue Aptose out of the federal jurisdiction of Canada under the CBCA to the provincial jurisdiction of Alberta under the ABCA. A corporation subject to the CBCA may apply under the ABCA for a certificate of continuance under the ABCA (“Certificate of Continuance”): if: (a) the continuance to the ABCA is authorized by special resolution of the shareholders of the corporation; and (b) the corporation establishes to the Director under the CBCA that its proposed continuance to the ABCA will not adversely affect the creditors or shareholders of the corporation.

Shareholders will be asked to consider, and if deemed advisable, to pass the Continuance Resolution authorizing the Board, in its sole discretion, to file a continuance application with the Registrar under the ABCA as required in connection with the Continuance and a form of Articles of Continuance which comply with the provisions of the ABCA. The Continuance will affect certain of the rights of Shareholders as they currently exist under the CBCA, and Shareholders should consult with their legal advisors regarding the implications of the Continuance which may be of particular importance to them. The Board believes that the passing of the Continuance Resolution is in the best interest of and unanimously recommends that Shareholders vote FOR the Continuance Resolution.

On the date shown on the Certificate of Continuance, Aptose will become a corporation under the laws of the Province of Alberta as if it had been incorporated under the ABCA. The Continuance will not result in any change in the business of Aptose or its assets, liabilities or net worth, or in the individuals who constitute the Board and management. The Continuance is not a reorganization, amalgamation or merger.

If: (a) the Continuance Resolution is passed by the Shareholders at the Meeting; (b) the Arrangement Resolution is passed by the Shareholders at the Meeting; and (c) all other conditions to the completion of the Arrangement have been satisfied or waived, then the Board shall, prior to the Effective Time, proceed with the Continuance.

Effect of the Continuance

Upon the effective date of the Continuance, the CBCA will cease to apply to Aptose and Aptose will thereupon become subject to the ABCA, as if it had been originally incorporated as a corporation under the provincial laws of Alberta. The Continuance will not create a new legal entity, affect the continuity of Aptose or result in a change in its business. The persons appointed as directors pursuant to the Continuance will continue to constitute the Board upon the Continuance becoming effective.

As of the effective date of the Continuance, Aptose’s current Constating Documents under the CBCA, will be replaced with the Articles of Continuance and new by-laws under the ABCA. See Schedules “A” and “B” to Appendix A.

Each previously outstanding Share will continue to be a share of the Corporation as a corporation governed by the ABCA.

 

- 30 -


Table of Contents

Certain Corporate Differences Between the CBCA and the ABCA

If the Continuance Resolution is approved by the Shareholders and the Continuance is completed, Aptose will be governed by the ABCA instead of the CBCA. While the rights of shareholders under the ABCA are broadly similar to those under the CBCA, there are a number of variations in the rights afforded to shareholders under the two pieces of legislation.

The following is a summary of certain similarities and differences between the CBCA and the ABCA on matters pertaining to shareholder rights. This summary is not exhaustive and is of a general nature only and is not intended to be, and should not be construed to be, legal advice to Shareholders. Accordingly, Shareholders should consult their own legal advisors with respect to the corporate law consequences of the Continuance.

Board of Directors

Under the ABCA, there are no minimum number of directors that must be resident Canadian. Under the CBCA, at least one-quarter of a corporation’s directors must be resident Canadian; however, there is no similar requirements for committees of directors.

Place of Meetings

The CBCA provides that a meeting of shareholders may be held outside Canada if the place is specified in the articles or where all the shareholders entitled to vote at such a meeting so agree. No such provision applies under the ABCA.

Telephonic or Electronic Meetings

Under the CBCA, if the directors or the shareholders of a corporation call a meeting of shareholders, those directors or shareholders, as the case may be, may determine that the meeting shall be held, in accordance with the regulations, if any, entirely by means of a telephonic, electronic or other communication facility that permits all participants to communicate adequately with each other during the meeting, if the by-laws so provide. Under the ABCA, subject to any limitations or requirements set out in the regulations, if any, and unless the corporation’s bylaws, articles or other governing documents expressly provide otherwise, a meeting of shareholders may be held entirely by electronic means.

Shareholder Proposals

Both the ABCA and the CBCA provide for shareholder proposals.

Under the CBCA, a registered or beneficial owner of shares entitled to be voted at an annual meeting may submit a proposal. To be eligible, the registered or beneficial shareholder must either: (a) have owned for six months not less than 1% of the total number of voting shares or voting shares with a fair market value of a least C$2,000; or (b) have the support of persons who have owned for six months not less than 1% of the total number of voting shares or voting shares with a fair market value of at least C$2,000.

Under the ABCA, a registered holder of shares entitled to vote at an annual meeting of shareholders, or a beneficial owner of shares, may submit a proposal. To be eligible to make a proposal a person must: (a) be a registered holder or beneficial owner of at least one percent (1%) of all issued voting shares of the corporation for at least six months with a fair market value of a least C$2,000; (b)

 

- 31 -


Table of Contents

have the support of other registered holders or beneficial owners of shares of at least five percent (5%) of the issued voting shares of the corporation; (c) provide to the corporation his or her name and address and the names and addresses of those registered holders or beneficial owners of shares who support the proposal; and (d) continue to hold or own the prescribed number of shares up to and including the day of the meeting at which the proposal is to be made.

Record Date for Voting

The ABCA permits a transferee of common shares after the record date for a shareholder meeting, not later than 10 days before the shareholder meeting, to establish a right to vote at the meeting by providing evidence of ownership of common shares and demanding that the transferee’s name be placed on the voting list in place of the transferor. The CBCA does not have an equivalent provision.

Rights of Dissent

Under both the ABCA and the CBCA, shareholders have substantially the same rights of dissent if a corporation resolves to effect certain fundamental changes. Under the CBCA, the corporation must, within 10 days of the resolution to which the shareholder dissents being adopted, send notice to the dissenting shareholder. The dissenting shareholder, within 20 days of receiving notice from the corporation or, if such notice was not received, within 20 days after learning that the resolution has been adopted, shall send the corporation notice of his demand for payment of the fair value of his shares, the number and class of shares in respect of which the shareholder dissents and his relevant personal information. Within 30 days of this notice, the dissenting shareholder must send the corporation, or its transfer agent, his share certificates. No more than seven days after the later of the day on which the resolution is effective and the day the corporation receives notice from the dissenting shareholder, the corporation must send to the dissenting shareholder an offer to pay. The corporation or the dissenting shareholder may apply to the court to fix a fair value for the shares of the dissenting shareholder.

Under the ABCA, a dissenting shareholder may send a corporation a written objection to a resolution affecting a fundamental change at or before any meeting of shareholders at which the resolution is to be voted on. Once the resolution is adopted the dissenting shareholder may make application to the court to fix the fair value of his shares. If an application is made to the court, unless the court otherwise orders, the corporation must send an offer to pay to each dissenting shareholder an amount considered by the directors to be the fair value of the shares. Unless the court otherwise orders, the dissenting shareholder may accept the offer to pay from the corporation or wait for an order from the court fixing the fair value of the shares. The dissent rights under the CBCA apply to the Continuance Resolution.

Registered Office

Under the CBCA, the registered office must be in the Canadian province specified in the articles and may be relocated within that province by directors’ approval. Under the ABCA, a registered office must be in Alberta and the directors of the corporation may at any time change the address of the registered office within Alberta by sending a notice of that change to the Registrar within 15 days after the change.

Amendments to the Articles of the Corporation

Under both the ABCA and the CBCA, certain fundamental changes to the articles of a corporation, such as an alteration of any restrictions on the business carried on by the corporation,

 

- 32 -


Table of Contents

changes in the name of the corporation, increases or decreases in the authorized capital, the creation of any new classes of shares and changes in the jurisdiction of incorporation, must be approved by a special resolution passed by a majority of not less than two-thirds of the votes cast by shareholders voting in person or by proxy at a meeting of the shareholders of the corporation.

Oppression Remedies

Under the ABCA and the CBCA, a registered or beneficial shareholder, former registered or beneficial shareholder, director, former director, officer or former officer of a corporation or any of its affiliates, or any other person who, in the discretion of a court, is a proper person to seek an oppression remedy, may apply to a court to rectify the matters complained of where in respect of a corporation or any of its affiliates: (a) any act or omission of a corporation or its affiliates effects a result; (b) the business or affairs of a corporation or any of its affiliates are or have been carried on or conducted in a manner; or (c) the powers of a corporation or any of its affiliates are or have been exercised in a manner, that is oppressive or unfairly prejudicial to, or that unfairly disregards the interests of, any securityholder, creditor, director or officer.

Notice of a Derivative Action

Under the CBCA, a condition precedent to a complainant bringing a derivative action is that the complainant has given at least 14 days’ notice to the directors of a corporation of the complainant’s intention to make an application to the court to bring such a derivative action. Under the ABCA, the Court must be satisfied that the complainant has given reasonable notice to the directors of the corporation or its subsidiary of the complainant’s intention to apply to the Court, the complainant is acting in good faith, and it appears to be in the interest of the corporation or its subsidiary that the action be brought, prosecuted, defended, or discontinued.

 

- 33 -


Table of Contents

THE ARRANGEMENT

Summary of the Arrangement

The Corporation entered into the Arrangement Agreement with the Parent and the Purchaser on November 18, 2025. A copy of the Arrangement Agreement is attached as Appendix B to this Proxy Statement. The Arrangement Agreement provides for the implementation of the Plan of Arrangement pursuant to which, among other things, Shareholders (other than Dissenting Shareholders) will receive the Consideration for each Share (other than Excluded Shares) held immediately prior to the Effective Time in accordance with the Plan of Arrangement.

The Arrangement will be implemented by way of a court approved Plan of Arrangement under Section 193 of the ABCA pursuant to the terms of the Arrangement Agreement. Upon completion of the Arrangement, Aptose will become an indirect, wholly-owned subsidiary of the Parent.

The principal features of the Arrangement are summarized under the section entitled “Arrangement Steps” below.

The completion of the Arrangement contemplated by the Arrangement Agreement is subject to certain conditions, including, but not limited to, the receipt of the Required Shareholder Approval, the granting of the Final Order, receipt of Regulatory Approvals, and such other conditions to completion as set forth in the Arrangement Agreement.

The Plan of Arrangement is attached to this Proxy Statement as Appendix C. We encourage you to read each of the Arrangement Agreement and the Plan of Arrangement in its entirety.

Arrangement Consideration

If the Arrangement is completed, Shareholders will be entitled to receive the Consideration in respect of each Share, which is equal to C$2.41 in cash per Share, subject to applicable withholdings and other source deductions.

Source and Amount of Funds

The Parent will provide the Purchaser with sufficient funds to pay the cash Consideration for all Shares to be acquired in the Arrangement other than the Excluded Shares and any Dissenting Shares, and to pay related fees and expenses, including cash amounts payable in respect of outstanding Options, RSUs and Warrants pursuant to the Plan of Arrangement, as applicable. The total amount of funds expected to be required to pay the maximum aggregate Consideration for the Shares (other than the Excluded Shares) is approximately C$4,925,000, excluding related fees and expenses.

The Parent and the Purchaser intend to finance the aggregate Consideration payable for the Shares pursuant to the Arrangement through cash on hand and internal resources of the Parent and its affiliates.

We do not believe the financial condition of the Parent or Purchaser is relevant to your decision whether to approve the Arrangement because the Arrangement provides for the acquisition of all outstanding Shares (other than the Excluded Shares and any Dissenting Shares) solely for cash.

 

- 34 -


Table of Contents

Anticipated Accounting Treatment of the Arrangement

The Arrangement will be accounted for in accordance with U.S. GAAP and will constitute a change of control of the Corporation.

Arrangement Steps

The following summarizes the steps that will occur under the Plan of Arrangement immediately after the Effective Time, if all conditions to the completion of the Arrangement have been satisfied or waived. The following description is qualified in its entirety by reference to the full text of the Plan of Arrangement attached as Appendix C to this Proxy Statement.

Pursuant to the Arrangement, each of the following events shall occur and shall be deemed to occur sequentially as set out below without any further authorization, act or formality, in each case, unless stated otherwise, effective at one-minute intervals starting at the Effective Time:

1.    In accordance with and subject to the Plan of Arrangement and notwithstanding anything contrary in the Incentive Compensation Plans, Warrant certificate or any applicable grant letter, employment Contract or any resolution or determination of the Board (or any committee thereof), at the Effective Time, the Incentive Securities and Warrants identified below shall be treated as follows:

 

  (a)

each Option held by an Option holder will cease to represent an option or other right to acquire Shares and shall be surrendered to the Corporation and exchanged for an amount in cash, payable by the Corporation, equal to the Consideration less the applicable exercise price in respect of such Option (for greater certainty, where such amount is zero or negative, neither the Corporation nor the Purchaser shall be obligated to pay the holder of such Option any amount in respect of such Option), less any applicable withholdings;

 

  (b)

each RSU held by a RSU holder will cease to represent a share unit of the Corporation and shall be surrendered to the Corporation and exchanged for an amount in cash, payable by the Corporation, equal to the Consideration, less any applicable withholdings;

 

  (c)

each Warrant held by a Warrant holder other than Armistice, will cease to represent a common share purchase warrant of the Corporation and shall be surrendered to the Corporation and exchanged for an amount in cash, payable by the Corporation, equal to the Consideration, less the exercise price per Share of such Warrant (for greater certainty, where such amount is zero or negative, neither the Corporation nor the Purchaser shall be obligated to pay the holder of such Warrant any amount in respect of such Warrant), less any applicable withholdings; and

 

  (d)

each Armistice Warrant will cease to represent a common share purchase warrant of the Corporation, and shall be deemed to be surrendered and exchanged for an amount in cash, payable by the Corporation, equal to the Black Scholes Amount, less any applicable withholdings;

2.    each outstanding Share held by a Dissenting Holder in respect of which Dissent Rights have been validly exercised shall be deemed to have been transferred without any further action by or on behalf of the holder thereof to the Purchaser, and:

 

  (a)

such Dissenting Holder shall cease to be the holder of such Share and to have any rights as a Shareholder, other than the right to be paid the fair value of its Shares by the Purchaser, less any applicable withholdings;

 

- 35 -


Table of Contents
  (b)

such Dissenting Holder’s name shall be removed from the register of holders of Shares maintained by or on behalf of the Corporation; and

 

  (c)

the Purchaser shall be recorded in the register of holders of Shares maintained by or on behalf of the Corporation as the holder of the Shares so transferred, and shall be deemed to be the legal and beneficial owner thereof;

3.    concurrently with section (2) above, each outstanding Share (other than (i) Shares held by any Dissenting Holder who has validly exercised such holder’s Dissent Rights and (ii) Shares owned or beneficially controlled by the Purchaser or any of its affiliates) shall be transferred without any further action by or on behalf of the holder thereof, to the Purchaser in exchange for the Consideration, less any applicable withholdings, and:

 

  (a)

the holder of each such Share shall cease to be the holder thereof and to have any rights as a Shareholder other than the right to receive the Consideration in accordance with the Plan of Arrangement;

 

  (b)

a portion of the amount held by the Depositary as agent for and on behalf of the Purchaser, equal to the aggregate Consideration payable in respect of such outstanding Shares, shall thereupon be held by the Depositary as agent for and on behalf of the former holders of such Shares, to be paid to such holders following the completion of the Plan of Arrangement;

 

  (c)

such holder’s name shall be removed from the register of holders of Shares maintained by or on behalf of the Corporation; and

 

  (d)

the Purchaser shall be recorded in the register of holders of Shares maintained by or on behalf of the Corporation as the holder of the Shares so transferred, and shall be deemed to be the legal and beneficial owner thereof,

following the payments or actions described above, all Incentive Securities and Warrants, whether vested or unvested, outstanding on the Effective Date shall be deemed cancelled and surrendered and (i) each holder of Options, RSUs or Warrants shall cease to be a holder of such Options, RSUs or Warrants, (ii) such holder’s name shall be removed from each applicable register, (iii) the Incentive Compensation Plans and all agreements relating to the Options, RSUs and Warrants shall be terminated and shall be of no further force and effect, and (iv) such holder shall thereafter have only the right to receive the consideration to which they are entitled pursuant to the Plan of Arrangement at the time and in the manner specified therein.

Background to the Arrangement

The provisions of the Arrangement Agreement, together with the Support and Voting Agreements executed concurrently therewith, are the result of arm’s length negotiations conducted among representatives of the Parent, the Transaction Committee and the Corporation, with the assistance of their respective legal and financial advisors. The following is a summary of the main events leading up to the negotiation and execution of the Arrangement Agreement and other transaction documents, as well as meetings, negotiations, discussions and actions between the Parties that preceded the execution of the Arrangement Agreement and the public announcement of the Arrangement.

 

- 36 -


Table of Contents

On September 2, 2024, the Corporation and the Parent signed a letter of understanding in which the parties committed to negotiating a co-development collaboration to be executed in the fourth quarter of 2024, but no later than February 28, 2025. Later in 2024, it was determined that the future collaboration agreement could not be completed until early 2025; however, both parties wished to continue the clinical trial and accrue patients.

On March 4, 2025, management updated the Board on negotiations with the Parent relating to the proposed co-development agreement, the Corporation’s financial position and financing strategy, including potential conversion features under the Parent’s existing convertible loan facility. The Corporation continued to pursue an array of potential financing options, however there was no investor support.

During March 2025, the Corporation had been discussing potential terms of an equity offering with a placement agent. On April 1, 2025, the Corporation was notified that the Shares were going to be delisted from the Nasdaq Stock Market effective April 2, 2025. As a result of the delisting, the Corporation was forced to abandon the equity financing efforts then underway and seek alternative sources of funding. The Corporation evaluated the cost and timing of completing an equity offering in Canada; however, given the prolonged timeline for completing a potential equity offering and the limited cash runway of the Corporation, the Corporation was ultimately required to pursue debt financing options which included a loan arrangement with the Parent.

In early May 2025, the Board reviewed the Corporation’s financing needs and potential strategic paths involving the Parent. The Board discussed the ongoing discussions between management and the Parent whereby the Parent was contemplating a potential offer to acquire the Corporation at a value of approximately C$5.58 million. The Board affirmed the strategic importance of continuing the tuspetinib clinical program and avoiding insolvency.

On May 11, 2025, management prepared and delivered a letter to the Parent outlining the positive clinical findings and the resulting interest from industry partners. The letter also included a timeline showing how long the Corporation could continue to fund the triplet study, as well as the potential consequences for the Corporation and the clinical trial if additional financing could not be secured. The letter presented the only two available options: additional funding from the Parent or the Corporation proceeding toward insolvency.

On May 17–18, 2025, the Board considered a range of alternatives with the Parent, including a loan, loan-plus-partnership, an M&A transaction, and, alternatively, termination of the Corporation’s activities, and was informed that the Parent had no desire to terminate the Corporation’s activities and that a formal response was forthcoming. During this period, the Board also evaluated insolvency considerations in parallel with continued pursuit of funding and the clinical trials, while noting the Corporation’s cash runway to approximately May 30, 2025 absent additional financing.

On May 24–30, 2025, management emphasized the urgency of bridge financing to avoid clinical work stoppage and to stabilize operations while exploring strategic transactions, including the Parent’s interest in acquiring the Corporation. The Board authorized management to negotiate with the Parent regarding short-term funding and bridge financing, and was advised that the Parent was preparing bridge financing documents. The Board was also apprised that the Parent considered the then-current loan agreement draft non-negotiable; the Board nevertheless authorized continued negotiations for a bridge facility and related security.

 

- 37 -


Table of Contents

On June 2, 2025, the Board met to review and discuss the Parent’s non-binding letter of intent from the Parent. In view of the fact that the Parent is a “related party” of the Corporation within the meaning of MI 61-101, the Board determined that it would be in the best interests of the Corporation to establish the Transaction Committee consisting of independent directors to oversee the review and consideration of the offer, as recommended by MI 61-101 and discussed the need for independent financial advice, including a formal valuation and fairness opinion. During this meeting, the Board approved the formation and appointment of the Transaction Committee with responsibility for, among other things: (i) examining, reviewing and evaluating the offer from the Parent, including whether such transaction would be in the best interests of the Corporation, (ii) identifying and evaluating the alternatives to the offer from the Parent (including the status quo) and other potential financing, partnering or insolvency scenarios that were reasonably available to the Corporation, (iii) conducting or supervising the conduct of negotiations of the offer from the Parent or any alternatives, and (iv) reporting and making recommendations to the Board with respect to the offer from the Parent or any alternatives. The Transaction Committee also had the authority under its mandate to, among other things, retain an independent valuator or financial advisor required to prepare a “formal valuation” pursuant to MI 61-101 and to provide an opinion on the fairness, from a financial point of view, of the consideration to be received by the Shareholders, other than the Parent or any of its affiliates, pursuant to the Arrangement Agreement is fair, from a financial point of view, to such Shareholders. The following directors were appointed to the Transaction Committee, each of whom is independent for purposes of MI 61-101: Mr. Warren Whitehead (chair), Mr. Denis Burger and Mr. Erich Platzer.

Between June 2, 2025, and June 5, 2025, the Transaction Committee engaged with two prospective financial advisors. After conducting interviews and reviewing relevant materials and credentials produced by the prospective financial advisors, the Transaction Committee determined that it would retain Locust Walk as an independent financial advisor, given its independence, mergers and acquisitions experience and industry expertise, subject to the negotiation of satisfactory fee arrangements and engagement terms.

On June 5, 2025, McCarthy Tetrault LLP engaged in correspondence with Stikeman Elliott LLP, legal counsel to the Parent, to review and discuss certain initial matters regarding the Parent’s offer.

Throughout June 2025, management provided updates on the proposed loan facility, including the Parent’s requirement for a 13-week cash flow statement, and finalization of the facility agreement, while the Board weighed insolvency proceedings versus continued engagement with the Parent and prioritized pursuit of the clinical trial in the interests of patients. To bridge near-term obligations pending external financing, William G. Rice, Chairman, President and Chief Executive Officer of the Corporation, offered a short-term, unsecured, non-interest-bearing advance to cover payroll and similar expenses, which the Board authorized alongside continued negotiations with the Parent for bridge financing. On June 17, 2025, the Board determined not to initiate insolvency proceedings at that time and to continue the process with the Parent in light of the imperative to support the clinical program.

On June 20, 2025, the Corporation announced that it had entered into a loan facility agreement with the Parent which provided for an uncommitted facility for up to US$8.5 million, administered through multiple advances for the continued clinical development of tuspetinib.

On June 30, 2025, the Corporation entered into an interest deferral agreement with the Parent, whereby the Parent agreed to further defer the interest payment under the loan facility agreement between the Corporation and the Parent dated August 27, 2024 for the period commencing

 

- 38 -


Table of Contents

December 21, 2024 and ending March 31, 2025 from June 27, 2025 to December 31, 2025 and to defer the interest for the period commencing March 31, 2025 from June 30, 2025 to December 31, 2025.

In July 2025, the Board received updates indicating the Parent’s reiterated intent to acquire the Corporation to serve as the Parent’s U.S. beachhead for tuspetinib and other agents, and discussed timeline, cash runway, and the potential need for the Parent’s support if timing milestones were not met. The Board considered exclusivity, timeline impacts on their ability to respond to superior proposals, and the process following execution of a letter of intent, including agreement execution and requisite approvals. Aptose entered into a statement of work with Locust Walk, in respect of the preparation of an initial valuation. On July 21, 2025, Locust Walk delivered to Aptose an independent valuation assessment on Locust Walk’s preliminary view as to the range of value of the Shares (the “Prior Valuation”). The Board was briefed on negotiation dynamics, market context, and financing constraints given the Corporation’s existing debt. Management also reported that, considering ongoing negotiations with the Parent, the company administering the clinical program had confirmed that it would not institute a work stoppage.

On August 6, 2025, the Board considered negotiation guidance, including a counteroffer reflecting a 30% premium over the 30-day VWAP (approximately C$2.35–C$2.50 per Share) and the addition of contingent value rights (“CVRs”) for shareholders tied to percentages of net proceeds from specified subsequent transactions over defined time horizons. The Board discussed the counterproposal, received updates that additional funding from the Parent would be required to continue operations pending consummation, and resolved to authorize negotiations with the Parent for: a C$2.50 per Share price; a shareholder CVR structure; a C$250,000 break fee; and an extension of the bridge loan to fund operational and clinical costs until closing. Management also reported the Parent’s interest in adding patients to the triplet trial, which was viewed as a positive indicator for stabilizing the Corporation’s financial position.

For the remainder of August 2025, the Corporation continued to negotiate the terms of the proposed offer with the Parent, including the exceptions to the exclusivity provisions which would continue to allow the Corporation to pursue alternative financing and transaction opportunities with potential industry partners currently under discussion with the Corporation.

After reviewing the alternatives available to the Corporation, considering the Corporation’s current business, operations and financial position, and the advice of, among others, McCarthy Tétrault LLP and Locust Walk, concerning the options reasonably available to the Corporation in the circumstances, on September 9, 2025, the Transaction Committee determined that it was in the best interests of the Corporation to execute the latest non-binding letter of intent presented to the Transaction Committee and to finalize and enter into an amended and restated facility loan agreement with the Parent.

On September 22, 2025, the Corporation and the Parent announced that they had entered into a $11.9 million loan amended facility agreement pursuant to which the Parent would provide an uncommitted facility administered through multiple advances until December 31, 2025.

On November 7, 2025, the Transaction Committee held a meeting to review the various transaction alternatives the Corporation has been pursuing, including the timing, stage of due diligence and nature of transactions that may be available to the Corporation, against the backdrop of the current financial constraints of the Corporation and limited cash runway. During the Transaction Committee’s deliberations, the Transaction Committee duly considered (i) the best interests of the Corporation and

 

- 39 -


Table of Contents

its stakeholders, and (ii) various factors and risks associated with the transaction and the related announcement, including (A) the lack of alternatives available to the Corporation that offered superior value or comparable certainty and the related risk of insolvency, (B) the fact that any definitive agreement entered into with the Purchaser and the Parent would allow the Board to respond to superior alternative transaction proposals and change its recommendation to Shareholders upon the receipt of any such superior proposal, (C) the fact that any definitive agreement entered into with Purchaser and the Parent would not provide for the payment of any fee by the Corporation in the event the Transaction is not approved by the Corporation’s shareholders, (D) the premium represented by the Consideration, (E) the de minimis market price of the Shares, (F) the form of the proposed consideration (all cash with no financing condition), (G) the mandatory CCAA Proceedings if the Arrangement Agreement were terminated in certain circumstances and (H) the Parent’s commitment to support the Corporation’s ongoing clinical activities. The Transaction Committee concluded that, on the basis of the foregoing and the advice of its legal and financial advisors, continuing negotiations to finalize the Arrangement Agreement and proceeding with the related announcement were in the best interests of the Corporation and its stakeholders.

Between November 7 and November 18, 2025, McCarthy Tetrault LLP, Stikeman Elliott LLP, and the Corporation finalized the terms of the Arrangement Agreement and press release. On November 14, 2025, Aptose and Locust Walk entered into a statement of work to formalize the preparation and delivery of the Formal Valuation by Locust Walk.

On the evening of November 18, 2025, the Transaction Committee met with its independent financial and legal advisors to decide what recommendation to make to the Board with respect to the Arrangement. During the meeting, the Transaction Committee received legal advice from McCarthy regarding the terms of the Arrangement contemplated under the draft Arrangement Agreement and the duties and responsibilities of the Transaction Committee in making a recommendation to the Board regarding the Arrangement.

During such meeting, Locust Walk orally delivered the Formal Valuation to the Transaction Committee concluding that, as of November 18, 2025, and based upon and subject to the assumptions, limitation and qualifications set forth in the Formal Valuation and Fairness Opinion attached hereto as Appendix E, the fair market value of the Shares was in the range of C$1.00 to C$5.08 per Share.

Locust Walk orally delivered the substance of the Fairness Opinion to the Transaction Committee that, as of November 18, 2025, and subject to the assumptions, limitations and qualifications set forth in the Formal Valuation and Fairness Opinion attached hereto as Appendix E, the Consideration to be received by the Shareholders, other than the Parent or any of its affiliates, pursuant to the Arrangement Agreement is fair, from a financial point of view, to such Shareholders.

The Transaction Committee, with the assistance of its independent financial and legal advisors, discussed and analyzed all of the benefits and risks associated with completion of the Arrangement, including the factors set out below and under the heading “Recommendation of the Board and Transaction Committee and Reasons for the Arrangement,” determined that the Arrangement is in the best interests of the Corporation and the Consideration to be received by the Minority Shareholders is fair, from a financial point of view, to the Minority Shareholders, and unanimously recommended that the Board approve the Arrangement and the entering into by the Corporation of the Arrangement Agreement and recommend to the Minority Shareholders that they vote their Shares in favour of the Arrangement.

On the evening of November 18, 2025, the Board met to receive the recommendation of the Transaction Committee regarding the Arrangement and to consider whether to approve the

 

- 40 -


Table of Contents

Arrangement. All members of the Board (including the members of the Transaction Committee) then unanimously approved the Arrangement Agreement, unanimously determined that the Arrangement is in the best interests of the Corporation (considering the interests of all stakeholders) and unanimously resolved to recommend that the Minority Shareholders vote in favour of the Arrangement Resolution (the “Board Recommendation”). The Purchaser, the Parent and the Corporation executed and delivered the Arrangement Agreement and the Corporation publicly announced the execution of the Arrangement Agreement.

Recommendation of the Board and Transaction Committee and Reasons for the Arrangement

The Board, after careful review and consideration and consultation with its financial and legal advisors, and upon the unanimous recommendation of the Transaction Committee, unanimously (1) determined that the Arrangement is fair to the Shareholders (other than the Parent and its affiliates); (2) determined that the Arrangement is in the best interests of the Corporation; and (3) recommends that the Shareholders vote “FOR” the Arrangement Resolution.

With the assistance of its independent financial and legal advisors, the Transaction Committee carefully considered a number of factors relating to the Arrangement, including those listed below. The Transaction Committee’s recommendation is based upon the totality of the information presented to and considered by it. In light of the variety of factors considered in connection with the Transaction Committee’s evaluation of the Arrangement, the Transaction Committee did not find it practicable to, and did not attempt to, quantify or otherwise assign any relative weight to the various factors that it considered in making its recommendation. The following includes forward-looking information, and readers are cautioned that actual results may vary. See “Cautionary Note Regarding Forward-Looking Statements” and “Risk Factors.

In making its recommendation to the Board, the Transaction Committee considered and relied upon a number of substantive and procedural factors, including, among others, the following:

 

   

Cash Consideration is a Premium to Shareholders. The Cash Consideration offered to Shareholders under the Arrangement represents a premium of approximately 28% to the 30-day volume weighted average price per Share on the TSX of C$1.88.

 

   

Form of Consideration. The Cash Consideration to be received by the Shareholders under the terms of the Arrangement Agreement is all cash, with no financing condition, which provides the Shareholders with certainty, immediate value and liquidity and enables them to realize value for their interest in the Corporation without having to assume long-term business, clinical, regulatory and execution risk.

 

   

Value Supported by the Formal Valuation and Fairness Opinion. On November 18, 2025, Locust Walk orally delivered to the Transaction Committee the substance of the Formal Valuation prepared in accordance with MI 61-101, concluding that, as of November 18, 2025, and based upon and subject to the assumptions, limitations and qualifications set forth in the Formal Valuation, the fair market value of the Shares was in the range of C$1.00 to C$5.08 per Share. In addition, on November 18, 2025, Locust Walk also orally delivered to the Transaction Committee the Fairness Opinion that, as of November 18, 2025, and subject to the assumptions, limitations and qualifications set forth in the Fairness Opinion, the Consideration to be received by the Shareholders (other than the Parent and its affiliates) pursuant to the Arrangement Agreement is fair, from a financial point of view, to such Shareholders.

 

- 41 -


Table of Contents
   

Compelling Value Relative to Limited Alternatives. The Transaction Committee, with the assistance of its financial and legal advisors, and based upon their collective knowledge of the business, operations, financial conditions, prospects of the Corporation, the environment in which the Corporation operates, as well as the current shareholdings of the Parent and the amount of debt owed to the Parent, assessed the relative benefits and risks of the limited alternatives to the Arrangement (including the status quo). In this regard, efforts by the Corporation to solicit alternative proposals from potential counterparties did not result in any proposal that would provide immediate liquidity and superior value to the Minority Shareholders compared to that provided for under the Arrangement or otherwise provide a viable alternative to insolvency which the Corporation faces without the Arrangement. In making that determination, the Transaction Committee evaluated the Arrangement in the context of current industry and economic conditions and trends, in addition to Management’s and the Transaction Committee’s knowledge of the industry and the costs associated with continued operations and concluded that the Arrangement offers the most favourable, executable outcome.

 

   

Ongoing Clinical Trial. The Transaction Committee considered the detriment to patients if the clinical trial were forced to stop due to the Corporation’s inability to fund the clinical trial.

 

   

Capital Constraints. The Transaction Committee assessed the significant liquidity and capital constraints faced by Aptose due to its outstanding indebtedness and limited operating cash flow, including the financial risk associated with Aptose continuing as a going concern without the Arrangement being approved and the significant likelihood of insolvency in the absence of the Arrangement.

 

   

Historical Market Price. The Transaction Committee considered the historical market prices and trading information of the Shares, including the historical volatility of the price of Shares and the underlying financial results notwithstanding the announcement of strong clinical data.

 

   

Arm’s Length Negotiations. The Arrangement Agreement is the result of robust arm’s-length negotiations between the Transaction Committee, with input from and consultation with its independent financial and legal advisors, on the one hand, and the Parent, on the other hand.

 

   

Limited Conditions to Closing. The Purchaser’s obligation to complete the Arrangement is subject to a limited number of conditions and the completion of the Arrangement is not subject to a due diligence or financing condition.

 

   

Transaction Committee Oversight. The Transaction Committee, which is comprised entirely of independent directors and was advised by experienced and qualified independent financial and legal advisors, oversaw, reviewed and considered, and directly participated in the negotiation of, the Arrangement Agreement.

 

   

Court and Shareholder Approval Required. Completion of the Arrangement is subject to the following Shareholder and Court approvals:

 

   

the approval of the Continuance Resolution by an affirmative vote of not less than 6623% of the votes cast on the Arrangement Resolution by the Shareholders,

 

- 42 -


Table of Contents
 

virtually present or represented by proxy at the Meeting, each being entitled to one vote per Share;

 

   

the approval of the Arrangement Resolution by:

 

 

an affirmative vote of not less than 6623% of the votes cast on the Arrangement Resolution by the Shareholders, virtually present or represented by proxy at the Meeting, each being entitled to one vote per Share, and

 

 

an affirmative vote of a majority of the votes cast by the Minority Shareholders; and

 

   

a determination of the Court that the Arrangement is fair and reasonable, both procedurally and substantively, to Shareholders and other affected persons.

 

   

Dissent Rights. Registered Shareholders are granted the right to dissent in respect of the Arrangement, which provides them with the right to demand payment of the fair value of their Shares, as determined by the Court.

 

   

Employees. Pursuant to the Arrangement Agreement, the Purchaser shall cause the Corporation to honour and comply in all material respects with the obligations of the Corporation under employment agreements with current Employees.

 

   

Other Stakeholders. The Transaction Committee also took into account the treatment of Options, RSUs and Warrants under the Arrangement, ensuring that equity-based securityholders are treated in a fair and orderly manner consistent with the overall transaction framework.

 

   

Purchaser’s Plans. The Transaction Committee considered the Purchaser’s plans with respect to the Corporation, which the Transaction Committee understands to be supportive of the uninterrupted expanded development of TUS in the TUSCANY clinical study, creating value for the patients currently enrolled in such study, and viewed that commitment as aligned with the Corporation’s mission and in the interests of stakeholders.

 

   

Support of Independent Directors and Management. Certain executive officers of the Corporation and all of the independent directors of the Board, holding or controlling, in the aggregate, approximately 0.26% of the outstanding Shares, have entered into Support and Voting Agreements to vote their Shares in favour of the Arrangement, subject to certain customary exceptions evidencing aligned support from the Corporation’s leadership for the transaction.

In making its recommendation with respect to the Arrangement, the Transaction Committee also considered a number of potential risks, which the Transaction Committee concluded were outweighed by the positive substantive and procedural factors described above, including, among others, the following:

 

   

Risks of Non-Completion. The Transaction Committee considered the risks to the Corporation if the Arrangement is not completed in a timely manner or at all, including the high likelihood of insolvency proceedings and in certain circumstances, the Corporation will be required to implement the Alternative CCAA Proceedings if the Arrangement

 

- 43 -


Table of Contents
 

Agreement is terminated, the costs incurred in pursuing the Arrangement, the potential requirement to pay the Expense Fee to the Purchaser in certain circumstances, the diversion of management resources away from the conduct of the Corporation’s business and the resulting uncertainty which might result in the Corporation’s Employees, partners or other counterparties delaying or deferring decisions concerning, or terminating their relationships with, the Corporation.

 

   

Conditions to Closing. Although limited, there are conditions to the obligation of the Purchaser to complete the Arrangement, and certain of the conditions to Closing are outside the control of the Corporation.

 

   

Limitations on Solicitation and Corporation Expense Fee. The limitations contained in the Arrangement Agreement on the Corporation’s ability to solicit additional interest from third parties, required parameters for a Superior Proposal, the Purchaser’s right to match a Superior Proposal and the requirement to pay the Expense Fee, may discourage other parties from offering to acquire the Shares.

 

   

No Reverse Break Fee/ No Guarantee. The Arrangement Agreement does not provide for a reverse break fee in the event the Arrangement Agreement is terminated as the result of the Purchaser failing to deposit the Consideration at the relevant time.

 

   

Termination Rights. The Purchaser has the right to terminate the Arrangement Agreement under certain limited circumstances, including if the holders of more than 5% of the issued and outstanding Shares exercise Dissent Rights.

 

   

No Continuing Interest of Shareholders. Following the Arrangement, the Corporation will no longer exist as a public company, the Shares will be de-listed from the TSX and the OTC Markets, the Minority Shareholders will forgo any future increase in value that might result from future growth and the potential achievement of the Corporation’s long-term plans.

 

   

Restrictions on Business Conduct. There are restrictions imposed pursuant to the Arrangement Agreement on the conduct of the Corporation’s business and operations during the period between the execution of the Arrangement Agreement and the consummation of the Arrangement.

 

   

Taxable Transaction. The Arrangement will generally be a taxable transaction and, as a result, the holders of Shares (other than Excluded Shares) will generally be required to pay taxes on any taxable gains that result from the receipt of the Consideration pursuant to the Arrangement.

Voting Recommendation of Parent and Purchaser

Under the SEC rules governing “going private” transactions, the Purchaser and Parent are required to express their purpose and reasons and beliefs as to fairness for the Arrangement to the Corporation’s “unaffiliated security holders” as defined under Rule 13e-3 of the Exchange Act. The Purchaser and Parent are making the statements included in this section solely for the purpose of complying with the requirements of Rule 13e-3 and related rules under the Exchange Act. The views of the Purchaser and Parent or its related persons pursuant to General Instruction C to Schedule 13e-3 should not be construed as a recommendation to any Shareholder as to how that Shareholder should vote on the Arrangement Resolution.

 

- 44 -


Table of Contents

For the Purchaser and Parent, the primary purposes of the Arrangement are maximizing the cash payment to Shareholders with respect to their Shares. In connection with the Arrangement, the Corporation intends to apply to cease to be a reporting issuer in Canada and the United States and to apply to have the Shares delisted from the TSX and the OTC markets and applying to terminate the Corporation’s status as a reporting issuer under applicable Canadian laws and to deregister its securities under the Exchange Act, thereby reducing the administrative and financial burdens (and associated costs) with remaining a reporting issuer. Further, unaffiliated Shareholders will receive the Cash Consideration, which represents a premium of approximately 28% to the 30-day volume weighted average price per Share on the TSX of C$1.88, following closing of the Arrangement without having to await further returns. As a result, and including the factors listed under the section entitled “Recommendation of the Board and Transaction Committee and Reasons for the Arrangement”, Purchaser and Parent believe the Arrangement to be fair to the unaffiliated Shareholders of the Corporation.

The Purchaser and Parent did not consider any other form of transaction because the Purchaser and Parent believed that structuring the transaction as an Arrangement was the most direct and effective way to acquire all of the outstanding Shares, other than the Shares held by the Purchaser, for the Cash Consideration.

Formal Valuation and Fairness Opinion of Locust Walk Securities, LLC

Locust Walk has acted as financial advisor to the Transaction Committee in connection with the proposed Arrangement. At a meeting of the Transaction Committee held on November 18, 2025 to evaluate the Arrangement, Locust Walk delivered to the Transaction Committee the Formal Valuation and Fairness Opinion. The Formal Valuation provided that, as of November 18, 2025, and based on Locust Walk’s analysis and subject to the assumptions, limitations and qualifications to be set forth in the Formal Valuation, using multiple analyses, including DCF modeling, the fair market value of the Shares is in the range of C$1.00 to C$5.08 per Share. Locust Walk has also delivered the Fairness Opinion which provided that, as of November 18, 2025, and subject to the assumptions, limitations and qualifications set forth in the Fairness Opinion, the consideration to be received by the holders of Shares (other than the Parent and its affiliates) pursuant to the Arrangement Agreement is fair, from a financial point of view, to such holders of Shares.

Pursuant to the terms of the engagement letter with Locust Walk, as amended, Aptose has agreed to pay a work fee for the delivery of the Fairness Opinion (regardless of its conclusion) and a fixed fee for the delivery of the Formal Valuation, in each case, that is not contingent upon the completion of the Arrangement or any alternative transaction. Aptose has also agreed to reimburse Locust Walk for reasonable expenses and to indemnify Locust Walk against certain liabilities that might arise out of its engagement.

Locust Walk’s financial advisory services, opinion and formal valuation were provided for the information and assistance of the Board (in their capacity as directors and not in any other capacity) in connection with and for purposes of its consideration of the Arrangement and Locust Walk’s opinion only addressed the fairness, from a financial point of view, as of the date thereof, to the Shareholders (other than the Parent and any of its affiliates) of the Consideration to be received by such Shareholders pursuant to the Arrangement Agreement. Locust Walk’s opinion did not address any other term or aspect of the Arrangement Agreement or the Arrangement and does not constitute a recommendation to any Shareholder or any other person as to how such Shareholder or other person should vote with respect to the Arrangement or otherwise act with respect to the Arrangement or any other matter.

 

- 45 -


Table of Contents

The full text of Locust Walk’s Formal Valuation and Fairness Opinion is attached to this Proxy statement as Appendix E. The description of the Formal Valuation and Fairness Opinion set forth in this Proxy Statement is qualified in its entirety by reference to the full text of such Formal Valuation and Fairness Opinion. The Shareholders are encouraged to read the Formal Valuation and Fairness Opinion carefully and in its entirety for a description of the procedures followed, assumptions made, matters considered and qualifications and limitations on the review undertaken by Locust Walk in connection therewith. The Formal Valuation and Fairness Opinion was addressed to the Transaction Committee, was only one of many factors considered by the Transaction Committee in its evaluation of the Arrangement, and only addresses the valuation of the Shares and fairness, from a financial point of view and as of the date of the Formal Valuation and FairnessOpinion, of the Consideration to be received under the Arrangement by the Shareholders (other than the Parent and its affiliates). Locust Walk’s Formal Valuation and Fairness Opinion is not intended to, and does not, constitute advice or a recommendation to any Shareholder as to whether such holder should vote their shares in favor of the Arrangement or how such shareholder should otherwise act on any other matter with respect to the Arrangement.

Locust Walk reviewed and relied upon, without independent verification unless otherwise noted, the following materials and information:

 

   

A draft of the Arrangement Agreement dated November 10, 2025, together with a summary of updates thereto through November 18, 2025, including the draft Plan of Arrangement appended thereto;

 

   

Drafts of the form of support and voting agreements to be entered into by certain shareholders of Aptose;

 

   

Draft debt commitment letters and related financing documents provided by Hanmi and its affiliates;

 

   

Audited financial statements of Aptose and related management’s discussion and analysis for the fiscal years ended December 31, 2022, December 31, 2023, and December 31, 2024;

 

   

Preliminary draft financial information from Aptose management with respect to the nine months ended September 30, 2025;

 

   

Final long form prospectus and other securities regulatory filings of Aptose during each of the fiscal years ended December 31, 2022, December 31, 2023, and December 31, 2024;

 

   

Projected financial and operational information for Aptose for the fiscal years ending December 31, 2025 through December 31, 2050 prepared by Aptose management in October and November 2025 (the “Management Forecast”);

 

   

Discussions with the Chief Executive Officer, Chief Financial Officer, and other senior management of Aptose with respect to the information referred to above and other matters considered relevant by Locust Walk;

 

   

Discussions with members of the Transaction Committee with respect to the matters noted above and other matters considered relevant by Locust Walk;

 

- 46 -


Table of Contents
   

Discussions with and information received from legal and financial advisors to Aptose and Hanmi regarding the process, the Arrangement, and the Corporation, in each case on behalf of Aptose;

 

   

Discussions with select participants of the targeted market check to solicit additional indications of interest to acquire Aptose or license tuspetinib, conducted at the instruction of the Board of Directors of Aptose;

 

   

Discussions with legal advisors to the Corporation with respect to various legal matters relating to Aptose, the Arrangement, and other matters considered relevant by Locust Walk;

 

   

Various research publications prepared by industry and equity research analysts regarding Aptose and other selected public entities considered relevant;

 

   

Public information relating to the business, operations, financial performance, and security trading history of Aptose and other selected public entities considered relevant;

 

   

Public information with respect to certain other transactions of a comparable nature considered relevant;

 

   

Representations contained in a certificate dated November 18, 2025 from the Corporation’s Chief Executive Officer and Chief Financial Officer (the “Certificate”); and

 

   

Such other corporate, industry, and financial market information, investigations, and analyses as Locust Walk considered necessary or appropriate in the circumstances.

Locust Walk did not meet with the auditors of Aptose and has assumed the accuracy and completeness of, and has relied upon, without independent verification, the financial statements of Aptose.

With Aptose’s acknowledgement and agreement, Locust Walk has relied upon the accuracy and completeness of all financial and other data and information filed by Aptose with securities regulatory or similar authorities (including under Aptose’s profiles on SEDAR+ and on EDGAR, provided to it by or on behalf of Aptose, its representatives or its affiliates, or otherwise obtained by or discussed with Locust Walk, including the Certificate (collectively, the “Information”). The Formal Valuation and Fairness Opinion is conditional upon such accuracy and completeness, in all material respects, of the Information. Subject to the exercise of professional judgment, and except as expressly described herein, Locust Walk has not attempted to verify independently the accuracy or completeness of any of the Information.

With respect to the budgets, forecasts, projections or estimates, including the Management Forecast, provided to Locust Walk and used in its analyses, Locust Walk notes that projecting future results is inherently subject to uncertainty. Locust Walk has been advised by Aptose, and has assumed with the consent of the Transaction Committee, however, that such budgets, forecasts, projections and estimates provided to Locust Walk and used in its analyses were prepared using the assumptions which Locust Walk has been advised are (or were at the time of preparation and continue to be), in the reasonable opinion of Aptose, reasonable in the circumstances, and with respect to the Management Forecast, reflect Aptose management’s best currently available estimates and good faith judgments as

 

- 47 -


Table of Contents

to the future financial performance of Aptose. Locust Walk expresses no independent view as to the reasonableness of such budgets, forecasts, projections and estimates, including the Management Forecast, or the assumptions on which they are based.

The Chief Executive Officer and the Chief Financial Officer of Aptose (collectively, “Aptose Management”), on behalf of Aptose and not in their personal capacities, have made representations to Locust Walk in the Certificate, and the Formal Valuation and Fairness Opinion is conditional on the accuracy and completeness of these representations, which Locust Walk has assumed were accurate and complete as of the date of the Formal Valuation and Fairness Opinion. Such representations in the Certificate include, among other things, that to the best of the knowledge, information and belief after due inquiry of the signatories to the Certificate: (i) with the exception of forecasts, projections or estimates referred to in subparagraph (ix) below, the Information is true and correct in all material respects and did not contain any untrue statement of a material fact nor any misrepresentation (as such term is defined in the Securities Act (Ontario) (the “Act”)), or omit to state a material fact that would be material to a financial advisor, as of the date of the Information; (ii) to the extent that any of the Information identified in subparagraph (i) above is historical, except as publicly disclosed on SEDAR+, there has been no material change, financial or otherwise, in the Corporation or any of its subsidiaries (as such term is defined in the Act) or in their respective assets, liabilities (contingent or otherwise), business, financial condition or operations and there has been no change in any material fact which is of a nature as to render the Information untrue or misleading in any material respect, except to the extent disclosed in subsequent Information; (iii) since the dates on which the Information was provided to Locust Walk, there has been no material change, financial or otherwise, in the financial condition, assets, liabilities (contingent or otherwise), business, operations or prospects of the Corporation or any of its subsidiaries (and no material change has occurred in the Information or any part thereof); (iv) other than the Prior Valuation, there are no independent appraisals or valuations or material non-independent appraisals, valuations or material expert reports relating to the Corporation, its securities, or any of its subsidiaries or any of its respective material assets or liabilities within their possession or control or knowledge that have been prepared as of a date within the two years preceding the date hereof; (v) since the dates on which the Information was provided to Locust Walk, no material transaction has been entered into by the Corporation or any of its subsidiaries, and, except for the Arrangement, the Corporation has no plans and is not aware of any circumstances or developments that could reasonably be expected to have a material effect on the financial condition, assets, liabilities (contingent or otherwise), business or operations of the Corporation or any of its subsidiaries or that would constitute a “material change” (as such term is defined in the Act); (vi) Aptose Management has no knowledge of any facts or circumstances, public or otherwise, not contained in or referred to in the Information that could reasonably be expected to affect the Fairness Opinion or the Valuation, including the assumptions used, procedures adopted, the scope of the review undertaken or the conclusions reached; (vii) other than as disclosed in the Information or as publicly disclosed, none of the Corporation or its subsidiaries has any material contingent liabilities (on a consolidated or non-consolidated basis) and there are no material actions, suits, proceedings or inquiries pending or threatened against or affecting the Corporation or any of its subsidiaries, at law or in equity or before or by any federal, provincial, municipal or other governmental department, commission, bureau, board, agency or instrumentality which may in any way materially affect the Corporation and its subsidiaries, taken as a whole; (viii) all financial material, documentation and other data concerning the Corporation, its subsidiaries and the Arrangement, including any strategic plans, financial forecasts, projections, models, estimates or guidance around such provided to Locust Walk, were prepared on a basis consistent in all material respects with the accounting policies of the Corporation applied in the audited consolidated financial statements of the Corporation; (ix) with respect to any portions of the

 

- 48 -


Table of Contents

Information that constitute current budgets, strategic plans, financial forecasts, projections, models, estimates or guidance around such, such portions of the Information: (a) were reasonably prepared on bases reflecting the best currently available estimates and judgment of the Corporation; (b) were prepared using the assumptions identified therein, which in the reasonable belief of Aptose Management are (or were at the time of preparation) reasonable in the circumstances; and (c) are not, in the reasonable belief of Aptose Management, misleading in any material respect in light of the assumptions used or in light of any developments since the time of their preparation; (x) no verbal or written offers for, at any one time, all or a material part of the properties and assets owned by, or the securities of, the Corporation, or any of its subsidiaries, have been received or made and no negotiations have occurred relating to any such offer within the two years preceding the date hereof that have not been disclosed to Locust Walk; (xi) there are no material agreements, undertakings, commitments or understandings (written or oral, formal or informal) relating to the Arrangement, except as have been disclosed in writing to Locust Walk; and (xii) the Corporation’s public disclosure documents are true and correct in all material respects as at the date they were filed and do not contain any misrepresentation and such disclosure documents comply in all material respects with all requirements under applicable laws and that the Corporation has filed on a timely basis with the applicable securities regulatory authorities all documents required to be filed by the Corporation and that the Corporation has not filed any confidential material change report which, at the date hereof, remains confidential.

Summary of Financial Analysis

The following is a summary of the material financial analyses performed by Locust Walk in connection with rendering the Formal Valuation and Fairness Opinion. The following summary, however, does not purport to be a complete description of the factors considered or financial analyses performed by Locust Walk, nor does the order of analyses described represent relative importance or weight given to those analyses by Locust Walk. Some of the summaries below include information presented in tabular format; the tables must be read together with the full text of each summary and are alone not a complete description of Locust Walk’s financial analyses.

The Formal Valuation and Fairness Opinion is based upon techniques and assumptions that Locust Walk considers appropriate in the circumstances for the purpose of arriving at an opinion as to the range of the fair market value of the Shares. The fair market value of the Shares was analyzed on a going concern basis and was expressed as an amount per Share. Locust Walk considered several valuation methodologies and approaches, including:

 

  1.

Discounted Cash Flow (“DCF”) Analysis

 

  2.

Precedent Transaction Analysis

Discounted Cash Flow Analysis Summary

Locust Walk applied the DCF methodology to Aptose in order to arrive at its conclusion regarding the fair market value of the Shares. The DCF methodology reflects the growth prospects and risks inherent in Aptose’s business by taking into account the amount, timing, and relative certainty of projected free cash flows expected to be generated by the Corporation. The DCF approach requires that certain assumptions be made regarding, among other things, future free cash flows, discount rates, terminal values, and probability of technical and regulatory success. The possibility that some of the assumptions will prove to be inaccurate is one factor involved in the determination of the discount rates to be used in establishing a range of values.

 

- 49 -


Table of Contents

Locust Walk’s DCF analysis involved discounting Aptose’s projected unlevered, risk-adjusted, after-tax free cash flows from fiscal year (“FY”, ended December 31st) 2025 until FY2050 under the Management Forecast, including terminal values determined as at FY2050, using an appropriate weighted average cost of capital (“WACC”) as the discount rate.

Additionally, Locust Walk conducted a dilution analysis to account for the loan payoffs from the loans that Hanmi has provided, and the equity raise that would be required for Aptose to fund its next set of trials. In order for the Corporation to continue operating it would need to (i) payoff the loans to Hanmi (as of the date of the Formal Valuation and Fairness Opinion, these totaled $21.1M) and (ii) raise capital to continue to fund the Corporation and operations through the next clinical trial. To incorporate the substantial costs required to reach the next value-inflection point, Locust Walk estimated the ownership that existing Shareholders would retain if the amounts for the loan payoffs and operating costs were raised via equity.

The following is a summary of the value per Share of Aptose implied by Locust Walk’s DCF analysis (illustrative figures):

 

 Assumption   Low   Base   High

 Weighted Average Cost of Capital

  20.9%   18.9%   16.9%

 Risk-adjusted Net Present Value (prior to Dilution)

  $27.39M   $69.16M   $124.87M

 Diluted Risk-adjusted Net Present Value (2.61%)

  $0.71M   $1.80M   $3.26M

 Equity Value per Share

  $0.28   $0.71   $1.28

Note: Actual values and ranges are based on the Management Forecast and are subject to the assumptions and limitations described herein

Precedent Transaction Analysis Summary

Locust Walk reviewed publicly available information with respect to precedent transactions in the biotech industry. Locust Walk segmented the analysis into two separate universes of deals: 1. Phase 1/2 Hematology / Oncology and Solid Tumor Deals and 2. Phase 1/2 Therapeutic-area agnostic, distressed companies. The transactions included deals completed from January 1, 2020- November 18, 2025, and included companies with upfront payments of less than $150M, with small molecules or monoclonal antibodies, and included full company acquisitions or majority stake acquisitions (acquiring entity purchased greater than 50% of the outstanding shares of common stock). Both comparable company sets exclude Asset Purchases and minority stake acquisitions (acquiring entity purchases less than or equal to 50% of the outstanding shares of common stock). Locust Walk applied the precedent transactions methodology to calculate premiums relative to the 30-day Volume-weighted Average Pricing relative to the last close prior to the announcement of the Arrangement. Both upfront and total deal values (including contingent value rights) were included in the analysis. Locust Walk views the upfront deal values as the more useful as the CVRs are uncertain to be received. The premiums were then applied to Aptose’s 30-day VWAP data.

The following is a summary of the implied value per share of Aptose implied by Locust Walk’s precedent transactions analysis based on Aptose’s 30-day VWAP of $1.34 as of November 18, 2025.

 

- 50 -


Table of Contents

(in US$ /share)

COMPARABLE TRANSACTION
SET
   25TH
PERCENTILE
   MEDIAN    75TH
PERCENTILE
Transaction comps oncology Upfront premium (7-12%)    $1.44         $1.50
Transaction comps oncology TDV premium (12-208%)    $1.50         $4.13
Transaction comps TA agnostic, distressed Upfront premium (11%/16%/30%)    $1.49    $1.56    $1.74
Transaction comps TA agnostic, distressed TDV premium (45%/179%/250%)    $1.94    $3.74    $4.69

Note: Actual values and ranges are based on the set of precedent transactions deemed most relevant by Locust Walk.

Valuation Summary

The following is a summary of the range of the fair market values of the Shares resulting from the DCF analysis and the precedent transactions analysis.

($USD/share)

VALUATION METHODOLOGY    LOW    HIGH
Risk-adjusted DCF accounting for dilution    $0.28    $1.28
Transaction comps oncology Upfront premium (7-12%)    $1.49    $1.74
Transaction comps oncology TDV premium (12-208%)    $1.94    $4.69
Transaction comps TA agnostic, distressed Upfront premium (11%/30%)    $1.44    $1.50
Transaction comps TA agnostic, distressed TDV premium (45%/250%)    $1.50    $4.13

In arriving at its opinion as to the fair market value of the Shares, Locust Walk made qualitative judgments based upon its experience in rendering such opinions and on circumstances prevailing as to the significance and relevance of each valuation methodology.

Based upon and subject to the foregoing and such other factors as were considered relevant, Locust Walk is of the opinion that, as of November 18, 2025, the fair market value of the Shares is in the range of $0.71 to $3.74, or C$1.00 to C$5.08.

General

In preparing the Formal Valuation and Fairness Opinion, Locust Walk has made a number of assumptions, including that all final or executed versions of agreements and documents will conform in all material respects to the drafts provided to Locust Walk, that all conditions precedent to the consummation of the Arrangement can and will be satisfied, that all approvals, authorizations, consents, permissions, exemptions or orders of relevant regulatory authorities, courts of law, or third

 

- 51 -


Table of Contents

parties required in respect of or in connection with the Arrangement will be obtained in a timely manner, in each case without adverse condition, qualification, modification or waiver, that all steps or procedures being followed to implement the Arrangement are valid and effective and comply in all material respects with all applicable laws and regulatory requirements, that all required documents have been or will be distributed to Shareholders in accordance with applicable laws and regulatory requirements, and that the disclosure in such documents is or will be complete and accurate in all material respects and such disclosure complies or will comply in all material respects with the requirements of all applicable laws and regulatory requirements. In its analysis in connection with the preparation of the Formal Valuation and Fairness Opinion, Locust Walk made numerous assumptions with respect to industry performance, general business and economic conditions, and other matters, many of which are beyond the control of Locust Walk, Aptose, Hanmi, and their respective subsidiaries and affiliates or any other party involved in the Arrangement. The Formal Valuation and Fairness Opinion is conditional on all such assumptions being correct.

The Formal Valuation and Fairness Opinion has been provided for the benefit of the Transaction Committee (in its capacity as such) in connection with and for purposes of its evaluation of the Arrangement and for inclusion in the Circular relating to the Arrangement and is not intended to be, and does not constitute, a recommendation to the Transaction Committee that Aptose enter into the Arrangement Agreement or approve the Arrangement or that any Shareholder vote in favour of or otherwise take any action in connection with the Arrangement.

The Formal Valuation and Fairness Opinion does not address the relative merits of the Arrangement as compared to other transactions or business strategies that might be available to Aptose, nor does it address the underlying business decision to implement the Arrangement or any other term or aspect of the Arrangement, the Arrangement Agreement or any other agreements entered into or amended in connection with implementing the Arrangement. Locust Walk expresses no opinion with respect to future trading prices of securities of Aptose. In considering the fairness, from a financial point of view, of the consideration to be received by the Shareholders (other than the Parent and its affiliates), pursuant to the Arrangement, Locust Walk did not consider the specific circumstances of any particular Shareholder, including with regard to income tax considerations. The Formal Valuation and Fairness Opinion is rendered as of November 18, 2025, on the basis of securities markets, economic and general business and financial conditions prevailing on that date and the condition and prospects, financial and otherwise, of Aptose and its subsidiaries and affiliates as they were reflected in the Information provided to Locust Walk. Any changes therein may affect the Formal Valuation and Fairness Opinion and, although Locust Walk reserves the right to change, withdraw or supplement the Formal Valuation and Fairness Opinion in such event, it disclaims any undertaking or obligation to advise any person of any such change that may come to its attention, or to change, withdraw or supplement the Formal Valuation and Fairness Opinion after such date. Locust Walk has not undertaken an independent evaluation, appraisal or physical inspection of any assets or liabilities (contingent or otherwise) of Aptose or its subsidiaries or affiliates, nor has it been furnished with any such evaluation or appraisal.

Locust Walk is not an expert on, and did not provide advice to the Transaction Committee regarding legal, accounting, regulatory or tax matters. Locust Walk has relied upon, without independent verification, the assessment of the Transaction Committee and its legal, tax and regulatory advisors with respect to legal, tax and regulatory matters.

The preparation of a formal valuation and fairness opinion is a complex process and is not necessarily amenable to partial analysis or summary description. Locust Walk believes that its analyses

 

- 52 -


Table of Contents

must be considered as a whole and that selecting portions of the analyses or the factors considered by it, without considering all factors and analyses together, could create an incomplete view of the process underlying the Formal Valuation and Fairness Opinion. Accordingly, the Formal Valuation and Fairness Opinion should be read in its entirety.

Interest of the Corporation’s Directors and Officers in the Arrangement

Existing Arrangements with the Corporation’s Executive Officers

The Corporation has existing employment agreements with each of its senior officers, which provide termination payments in certain circumstances as summarized below.

The employment agreements of Dr. Rice, Mr. Payne and Dr. Bejar provide that, in the event their employment with the Corporation is terminated within three months immediately preceding or 12 months immediately following the consummation of a “change of control” (defined as the consummation of any of the following: (a) the acquisition of the Corporation by another entity by means of any transaction or series of related transactions to which the Corporation is a party, (b) a sale, lease or other conveyance of all or substantially all of the assets of the Corporation, or (c) liquidation, dissolution or winding up of the Corporation, whether voluntary of involuntary), each of Dr. Rice, Mr. Payne and Dr. Bejar would be eligible, subject to certain conditions, to receive a payment equivalent to 18 months of their annual base salaries at the time of termination (Dr. Rice’s December 31, 2025 annual base salary represented $676,865, Mr. Payne’s annual base salary represented $500,056 and Dr. Bejar’s base salary represented $531,513), plus an amount equal to 150% of the average bonus remuneration received from the Corporation during the last three years of employment completed prior to the termination date, prorated based on the number of days the executive worked during the year of the termination, as well taxable cash payments equal to applicable COBRA as continuation coverage premium of the payments related to group health benefits for a period of up to 12 months following the termination following a change of control.

The employment agreements of Dr. Rice, Mr. Payne and Dr. Bejar provide that in the event of their termination, other than for cause, the vesting and exercisability of all then outstanding unvested share options, restricted stock units or other equity awards then held by such executive officer become immediately vested and exercisable and shall remain exercisable as set forth in the applicable award documents.

The estimated payments that would be provided to each of Dr. Rice, Mr. Payne and Dr. Bejar assuming termination of employment takes place on ●, 2026 following completion of the Arrangement are quantified in the table provided under “Golden Parachute Compensation”.

Deferred Bonus

Due to the limited financial resources of the Corporation, the Board resolved that bonus payments for 2024 for all employees, including certain executive officers would become payable upon the earlier of (i) the successful complete of one or more financings of the Corporation that ensure sufficient capital for the Corporation to operate its business for six months or more, and (ii) a change of control of the Corporation. As such, upon closing of the Arrangement, certain executive officers will be entitled to receive their 2024 deferred bonus.

The 2024 deferred bonus payments for each of Dr. Rice, Mr. Payne and Dr. Bejar are quantified in the table provided under “Golden Parachute Compensation”.

 

- 53 -


Table of Contents

Retention Bonus Agreements

The Corporation has existing retention bonus agreements in place with each of its executive officers and vice-presidents, which provide for bonus payments in certain circumstances described below.

The retention bonus agreements provide that conditional on the completion of a change of control (as such term is defined in the retention bonus agreement), which for greater certainty includes completion of the Arrangement, the Corporation will pay the executive officer and vice-president party to a retention bonus agreement, a cash bonus award in recognition of such individual’s continued employment with the Corporation.

The retention bonus payments for each of Dr. Rice, Mr. Payne and Dr. Bejar are quantified in the table provided under “Golden Parachute Compensation”.

Indemnification and Insurance

Pursuant to the terms of the Arrangement Agreement, Aptose’s directors and officers will be entitled to certain ongoing indemnification and coverage under directors’ and officers’ liability insurance policies. See the section entitled “The Arrangement Agreement — Insurance and Indemnification” for a description of such ongoing indemnification and insurance coverage obligations.

Golden Parachute Compensation

The table below sets forth the information required by Item 402(t) of Regulation S-K regarding certain compensation that is based on or that otherwise related to the Arrangement to which Aptose’s named executive officers are entitled under existing agreements.

The table below assumes that:

 

   

the Arrangement is completed on ● (which is the assumed date solely for purposes of this golden parachute compensation disclosure); and

 

   

the employment of each of Aptose’s named executive officers is involuntarily terminated immediately following the completion of the Arrangement.

Golden Parachute Compensation

 

Name

  Cash

(US$)(2)

 

  Retention
Bonus

(US$)

    2024
Deferred

Bonus

(US$)

    Potential
2025

Bonus
(US$)(3)

    Accelerated
Equity

(US$)

    Benefits
(US$)(4)
    Total

(US$)(1)(5)

Dr. William G. Rice    1,038,802       331,496       356,928       372,276       Nil       45,792       2,145,294
Dr. Rafael Bejar   810,693       199,947       203,840       212,605       Nil       47,074       1,474,159
Fletcher Payne   762,713       167,059       191,776       200,022       Nil       37,405       1,358,975

 

                          

(1)   There are no pensions/non-qualified defined contribution, perquisites/benefits, tax reimbursements, or other payments (other than the COBRA continuation coverage subsidy, tax reimbursements, or other payments (other than those described in the chart) to the named executive officers that need to be disclosed pursuant to Item 402(t) of Regulation S-K.

 

- 54 -


Table of Contents
                                

(2)   Pursuant to the employment agreements of Dr. Rice, Mr. Payne and Dr. Bejar, these amounts represent termination payments equal to: (a) 18 months of the 2025 annual base salaries, plus (b) an amount equal to 150% of the average bonus remuneration received from the Corporation during the last three years of employment completed prior to the termination date (in each case, assuming maximum bonus rates in 2025 of 55%, 40% and 40% of their respective 2025 salaries), prorated based on the number of days the executive worked during the year of the termination.

(3)   Reflects the potential bonus payable to Dr. Rice, Dr. Bejar and Mr. Payne for 2025, assuming maximum bonus rates of 55%, 40% and 40% of the named executives’ 2025 salaries, respectively.

(4)   Includes the continuation of the payments related to health benefits for a period of 12 months following a change of control.

(5)   Golden parachute compensation may be reduced such that the named executive officers receive the greater of (a) the largest portion of golden parachute compensation such that no portion of the payment would be subject to excise tax under Code Section 4999 or (b) the golden parachute compensation less all applicable taxes, including the excise tax under Code Section 4999.

 

Regulatory Approvals

Other than the Final Order and the Korea’s Foreign Exchange Transactions Act Filing, the Corporation is not aware of any material Regulatory Approvals to complete the Arrangement. In the event that any additional Regulatory Approvals are determined to be required, such Regulatory Approvals will be sought. Any such additional Regulatory Approvals could delay the Effective Date or prevent the completion of the Arrangement. The Korea’s Foreign Exchange Transactions Act Filing will be completed shortly before the closing of the Arrangement. While there can be no assurance that the Final Order or any other Regulatory Approvals that are determined to be required will be obtained, the Corporation currently anticipates that the Final Order and any other Regulatory Approvals that are determined to be required will have been obtained or otherwise resolved by the Effective Date.

Failure to Complete the Arrangement

Failure to complete the Arrangement could have a Material negative effect on the market price of the Shares and the Corporation will continue to face the risks that it currently faces with respect to its affairs, business and operations and future prospects.

Pursuant to the terms of the Arrangement Agreement, in certain circumstances where the Corporation fails to complete the Arrangement, the Corporation will be required to commence without delay the Alternative CCAA Proceedings.

See “The Arrangement Agreement – Alternative CCAA Proceedings” for more information.

Procedure for the Arrangement Becoming Effective

The Arrangement will be implemented by way of a court approved arrangement under Section 193 of the ABCA pursuant to the terms of the Arrangement Agreement. Upon completion of the Arrangement, Aptose will become an indirect, wholly-owned subsidiary of the Parent. The following procedural steps must be taken for the Arrangement to become effective:

 

   

the Arrangement Resolution must be approved by the Shareholders at the Meeting;

 

   

the Court must grant the Final Order approving the Arrangement; and

 

   

all other conditions precedent to the Arrangement, as set forth in the Arrangement Agreement, must be satisfied or waived in accordance with the terms thereof.

 

- 55 -


Table of Contents

Shareholder Approval

At the Meeting, pursuant to the Interim Order, the Shareholders will be asked to, if deemed advisable, approve the Arrangement Resolution and the Continuance Resolution. Each Shareholder as of the close of business on the Record Date shall be entitled to vote on the Arrangement Resolution and the Continuance Resolution.

The Continuance Resolution must be approved at the Meeting by an affirmative vote of not less than 6623% of the votes cast on the Continuance Resolution by the Shareholders, virtually present or represented by proxy at the Meeting, each being entitled to one vote per Share.

As a condition to the completion of the Arrangement and in accordance with the Interim Order and the ABCA (as modified by the Interim Order), the Arrangement Resolution must be approved at the Meeting by: (1) an affirmative vote of not less than 6623% of the votes cast on the Arrangement Resolution by the Shareholders, virtually present or represented by proxy at the Meeting, each being entitled to one vote per Share and (2) an affirmative vote of a majority of the votes cast by the Shareholders virtually present or represented by proxy at the Meeting, each being entitled to one vote per Share, after excluding the votes of those Persons whose votes are required to be excluded under MI 61-101. The Arrangement Resolution and the Continuance Resolution must receive the Required Shareholder Approval in order for the Corporation to seek the Final Order and implement the Arrangement on the Effective Date in accordance with the terms of the Final Order and the Arrangement Agreement.

Court Approval of the Arrangement

The Arrangement requires approval by the Court under Section 193 of the ABCA. Prior to the mailing of this Proxy Statement, the Corporation obtained the Interim Order providing for the calling and holding of the Meeting, the Dissent Rights and other procedural matters. A copy of the Interim Order is attached hereto as Appendix G of this Proxy Statement. A copy of the Notice of Application in respect of the hearing of the Corporation’s application for the Final Order is attached hereto as Appendix H.

Subject to obtaining the Required Shareholder Approval at the Meeting and the terms of the Interim Order, the hearing of the Corporation’s application for the Final Order is expected to be held virtually on ●, 2026 at ●, or at any other date and time and by any method as the Court may direct and the parties agree. Any Shareholders wishing to appear virtually or to be represented by counsel at the hearing of the application for the Final Order may do so but must comply with certain procedural requirements described in the Notice of Application, including filing a notice of appearance with the Court and serving same upon the Corporation and the Parent via their respective counsel as soon as reasonably practicable and, in any event, no less than five Business Days before the date of the hearing of the application for the Final Order (as it may be rescheduled from time to time). The Court has broad discretion under the ABCA when making orders with respect to arrangements.

The Court, when hearing the application for the Final Order, will consider, among other things, whether the Arrangement is fair and reasonable. The Court may approve the Arrangement in any manner it may direct and determine appropriate. If any such amendments are made, depending on the nature of the amendments, the parties to the Arrangement Agreement may not be obligated to complete the transactions contemplated in the Arrangement Agreement. For more information, see the section entitled “The Arrangement – Termination”.

 

- 56 -


Table of Contents

Support and Voting Agreements

On November 18, 2025, in connection with the execution of the Arrangement Agreement, the Supporting Shareholders entered into Support and Voting Agreements with the Purchaser. Under the terms of the Support and Voting Agreements, the Supporting Shareholders have agreed, among other things, to vote their Shares in favour of the approval and authorization of the Arrangement Resolution and the Continuance Resolution at the Meeting and, subject to certain exceptions, not to transfer any of their Shares. As of November 18, 2025, the date of the Arrangement Agreement, the Supporting Shareholders beneficially owned an aggregate of approximately 0.26% of the outstanding Shares, collectively, entitled to vote at the Meeting. The Support and Voting Agreements will terminate upon termination of the Arrangement Agreement and certain other specified events.

Timing

Assuming that the Final Order is granted, and the other conditions precedent to closing are satisfied or waived to the extent legally permissible, the Arrangement will become effective as promptly as practicable and in any event within five Business Days following the satisfaction or waiver of all conditions to completion of the Arrangement set forth in the Arrangement Agreement.

Although the objectives of each of the Corporation, the Parent and the Purchaser is to have the Effective Date occur as soon as possible after the Meeting, the Effective Date could be delayed for a number of reasons, including, but not limited to, an objection before the Court at the hearing of the application for the Final Order or any delay in satisfying the other conditions to the completion of the Arrangement, including obtaining applicable regulatory approvals.

Delisting and Deregistration

It is expected that the Shares will be delisted from TSX and the OTC Markets following the completion of the Arrangement. It is also expected that the Corporation will make an application to terminate its status as a reporting issuer under applicable Canadian securities laws and to deregister its securities under the Exchange Act as soon as practicable following the completion of the Arrangement.

Fees and Expenses

All fees and expenses incurred in connection with the Arrangement will be paid by the party incurring such expenses, regardless of whether the Arrangement is consummated or not, in accordance with the Arrangement Agreement. Total fees and expenses incurred or to be incurred by the Corporation in connection with the Arrangement are estimated at this time to be as follows:

 

         
             

  Estimated Amount to be  

Paid (in US$)

    
    Legal, accounting and other professional fees       1,540,865    
    Financial advisory fees and expenses         650,000    
    SEC registration fee, printing and mailing costs, transfer agent fees and other administrative costs          54,086    
    Total       2,244,950    

 

- 57 -


Table of Contents

THE ARRANGEMENT AGREEMENT

The following is a summary of the material terms of the Arrangement Agreement and is qualified in its entirety by the full text of the Arrangement Agreement, including the Plan of Arrangement. A copy of the Arrangement Agreement is attached as Appendix B to this Proxy Statement, and a copy of the Plan of Arrangement is attached as Appendix C to this Proxy Statement. We urge you to read the full text of the Arrangement Agreement and Plan of Arrangement because they are the legal documents that govern the Arrangement.

The Arrangement Agreement has been included to provide Shareholders with information regarding its terms and is not intended to provide any other factual information about the Corporation, the Parent, the Purchaser or their respective subsidiaries and affiliates. The representations, warranties and covenants contained in the Arrangement Agreement were made only for purposes of such agreement and as of specific dates, were solely for the benefit of the parties to such agreement, may be subject to limitations agreed upon by the contracting parties, including being qualified by confidential disclosures made for the purposes of allocating contractual risk among the parties to such agreement instead of establishing these matters as facts, and may be subject to standards of materiality applicable to the contracting parties that differ from those applicable to investors. Shareholders should not rely on the representations, warranties and covenants or any descriptions thereof as characterizations of the actual state of facts or condition of the parties thereto or any of their respective subsidiaries or affiliates. Moreover, information concerning the subject matter of representations and warranties may change after the date of the Arrangement Agreement, and unless required by applicable law, the Corporation does not undertake any obligation to update such information.

Effective Date of the Arrangement

The Arrangement will become effective no later than five Business Days following the satisfaction or waiver of all conditions to completion of the Arrangement set forth in the Arrangement Agreement. See the section entitled “The Arrangement Agreement – Conditions to the Arrangement”.

Although the objective of each of the Corporation, the Parent and the Purchaser is to have the Effective Date occur as soon as possible after the Meeting, the Effective Date could be delayed for a number of reasons, including, but not limited to, an objection before the Court at the hearing of the application for the Final Order or any delay in satisfying the other conditions to the completion of the Arrangement, including obtaining applicable regulatory approvals.

For more information on the Arrangement, including Court processes, Consideration and treatment of any outstanding equity, see the section entitled “The Arrangement”.

Covenants

Conduct of Business of the Corporation

Until the earlier to occur of the Effective Time and the valid termination of the Arrangement Agreement in accordance with its terms, except (1) with the express written consent of the Purchaser (such consent not to be unreasonably withheld or delayed), (2) as required by the Arrangement Agreement, (3) as required by applicable law, a Governmental Entity or any Material Contract in effect

 

- 58 -


Table of Contents

as of the date of the Arrangement Agreement or (4) as set forth in the Corporation’s confidential disclosure letter to the Arrangement Agreement, the Corporation will, and will cause its subsidiaries to:

 

   

conduct its business in the ordinary course;

 

   

use commercially reasonable efforts to maintain and preserve in all material respects its and its subsidiaries’ respective business organization, operations, assets, properties, authorizations, intellectual property, pharmaceutical product, goodwill and business relationships with customers, suppliers, distributors, licensors, partners and other persons with which the Corporation or any of its subsidiaries has material business relations; and

 

   

perform and comply with all of its obligations under its material contracts.

In addition, until the earlier to occur of the Effective Time and the valid termination of the Arrangement Agreement in accordance with its terms, except (1) with the express written consent of the Purchaser (such consent not to be unreasonably withheld or delayed), (2) as required by the Arrangement Agreement, (3) as required by applicable law, a Governmental Entity or any Material Contract in effect as of the date of the Arrangement Agreement or (4) as set forth in the Corporation’s confidential disclosure letter to the Arrangement Agreement, the Corporation will not, and will cause its subsidiaries not to, directly or indirectly:

 

   

amend, restate, rescind, alter, enact or adopt all or any portion of any of the Constating Documents of the Corporation or any of its Subsidiaries;

 

   

adjust, split, combine, reclassify or amend the terms of any securities of the Corporation or any of its Subsidiaries or reorganize, amalgamate or merge the Corporation or any Subsidiary of the Corporation, other than in respect of the Continuance;

 

   

reduce the stated capital of the securities of the Corporation or any of its Subsidiaries;

 

   

purchase, redeem, repurchase or otherwise acquire or offer to purchase, redeem, repurchase or otherwise acquire any class of its securities, whether pursuant to any existing or future contract, arrangement, purchase plan, normal course issuer bid or otherwise;

 

   

adopt a plan of complete or partial liquidation, arrangement, dissolution, amalgamation, merger, consolidation, restructuring, recapitalization, winding-up or other reorganization of the Corporation or any of its Subsidiaries (other than the Arrangement Agreement and the transactions contemplated by the Arrangement Agreement), or file a petition in bankruptcy under any applicable Law on behalf of the Corporation or any of its Subsidiaries, or consent to the filing of any bankruptcy petition against the Corporation or any of its subsidiaries under any applicable Law;

 

   

create any subsidiary except in the Ordinary Course;

 

   

enter into any new line of business or discontinue any existing line of business, or enter into any agreement or arrangement that would limit or restrict in any material respect the Corporation and any of its Subsidiaries from competing or carrying on any business in any manner;

 

   

materially change the business carried on by the Corporation and its Subsidiaries, as a whole;

 

- 59 -


Table of Contents
   

issue, grant, deliver, sell, exchange, amend, modify, accelerate, pledge or otherwise subject to any Lien (other than Permitted Liens), or authorize any such action in respect of, (i) any securities of the Corporation or any of its Subsidiaries, (ii) options, warrants, equity or equity-based awards or other rights exercisable or exchangeable for, or convertible into, or otherwise evidencing a right to acquire any securities of the Corporation or any of its subsidiaries (including any Incentive Securities or Warrants), or (iii) any rights that are linked in any way to the price of any shares of, or to the value of or of any part of, or to any dividends or distributions paid on any shares of, the Corporation or any of its Subsidiaries (including any Incentive Securities or Warrants), in each case other than (A) the issuance of Shares issuable upon the settlement of Incentive Securities or Warrants outstanding as of the date of the Arrangement Agreement in accordance with their existing terms in effect on the date of the Arrangement Agreement, or (B) the issuance of securities of the Corporation in the Ordinary Course under the Employee Plans as required pursuant to obligations existing prior to the date of the Arrangement Agreement under the Employee Plans;

 

   

invest in or acquire (by amalgamation, merger, consolidation, exchange, purchase of securities, contributions to capital or purchase, lease or license of assets or otherwise) any Person, land or any real property;

 

   

enter into, or resolve to enter into, any agreement that has the effect of creating a joint venture, partnership, shareholders’ agreement or similar relationship between the Corporation or any of its Subsidiaries and another Person;

 

   

make any capital expenditures or commitments in excess of $50,000 in the aggregate, except for any capital expenditures agreed to by the Purchaser prior to the date of the Arrangement Agreement, provided that in the case of capital expenditures expended to address emergencies or other urgent matters involving the potential material loss or material damage to property or personal safety, the Purchaser’s consent shall not be required where it cannot be received in a reasonably expedient manner;

 

   

sell, sell and lease back, pledge, license, lease, sublease, alienate, dispose, swap, transfer or voluntarily lose the right to use, in whole or in part, or otherwise dispose of, or subject to any lien (other than Permitted Liens), any Corporation Assets or any interest in any Corporation Assets, or waive, cancel, release or assign to any person (other than the Corporation and its wholly-owned subsidiaries) any material right or claim (including indebtedness owed to the Corporation and its Subsidiaries), except for (i) Corporation Assets sold, leased or otherwise transferred in the ordinary course and that are not, individually or in the aggregate, material to the Corporation and its Subsidiaries, (ii) obsolete, damaged or destroyed assets in the Ordinary Course, (iii) returns of leased assets at the end of the lease term, (iv) transfers of assets between one or more of the Corporation and its wholly-owned subsidiaries, (v) as required pursuant to the terms of any material contract in effect on the date of the Arrangement Agreement, and (vi) sales or other dispositions of Corporation Assets in the Ordinary Course not in excess of $50,000 in the aggregate;

 

   

make any loan or similar advance to, or any capital contribution or investment in, or assume, guarantee or otherwise become liable with respect to the liabilities or obligations of, any person, employee, officer, director, in excess of $50,000, other than any loan,

 

- 60 -


Table of Contents
 

advance, capital contribution or investment by one wholly-owned Subsidiary of the Corporation to the Corporation or another wholly-owned Subsidiary of the Corporation of from the Corporation to another wholly-owned Subsidiary of the Corporation in the Ordinary Course;

 

   

prepay any long-term indebtedness before its scheduled maturity, or increase, create, incur, assume or otherwise become liable for, in one transaction or in a series of related transactions, any indebtedness or guarantees thereof other than (i) indebtedness incurred in the Ordinary Course not in excess of $50,000 in the aggregate (provided that any indebtedness created, incurred, assumed or for which the Corporation or any Subsidiary becomes liable in accordance with the foregoing is prepayable at the Effective Time without premium, penalty or other incremental costs (including breakage costs)) (ii) in connection with the refinancing of any indebtedness outstanding on the date of the Arrangement Agreement and effected at the direction of the Purchaser, acting reasonably pursuant to the transactions contemplated by the Arrangement Agreement or (iii) in connection with advances under the New Facility Agreement;

 

   

except as may be required by the terms of any written employment Contract, Employee Plan or Collective Agreement existing on the date of the Arrangement Agreement, the Retention Bonus Program or as otherwise provided for in the Arrangement: (i) other than increases in the Ordinary Course that are not material individually or in the aggregate, as required by law or pursuant to the terms of existing written employment contract or Employee Plan, grant any increase in the rates of wages, salaries, benefits, bonuses or other remuneration of any employees, (ii) grant or increase any indemnification, retention, severance, change of control, transaction-based award, bonus or termination or similar compensation or benefits payable to any employee, officer, director, consultant, agent or independent contractor of the Corporation or any of its subsidiaries, (iii) hire or engage any employee, officer, director, consultant, agent or independent contractor or promote any of the foregoing who has a total compensation level greater than $100,000, (iv) terminate any employee whose total annual compensation exceeds $100,000 without cause, (v) establish, adopt, enter into, materially amend or terminate any Employee Plan (or any plan, contract, program, practice, policy, trust, fund or other arrangement that would be an Employee Plan if it were in existence as of the date of the Arrangement Agreement), or increase or accelerate the timing of any funding obligation, funding contribution or payment of any compensation or benefits under any Employee Plan, other than commercially reasonable amendments to targets under any Incentive Compensation Plan in the ordinary course, after reasonable consultation with the Purchaser, (vi) accelerate the vesting of, or otherwise deviate from the terms provided in the applicable award agreement with respect to the vesting, payment, settlement or exercisability of, any Incentive Securities or other equity-based awards or other compensation, (vii) pay, grant or award, or commit to pay, grant or award, any bonuses or incentive compensation (equity- or cash-based), other than the scheduled payment in the ordinary course of any award, bonus or incentive compensation agreed upon prior to the date of the Arrangement Agreement, or (viii) reduce the Corporation’s or any of its subsidiaries’ work force in a material way or so as to trigger any collective dismissal provisions under applicable laws;

 

   

knowingly take any action or fail to take any action that would reasonably be expected to result in a breach or violation of the obligations of the Corporation or any of its subsidiaries under any Collective Agreement;

 

- 61 -


Table of Contents
   

enter into, modify or terminate or cancel any Collective Agreement, or enter into any Contract that would be a Collective Agreement if in effect on the date of the Arrangement Agreement or grant recognition to any labour union or similar labour organization for purposes of collective bargaining;

 

   

disclose any material trade secrets or material confidential information pertaining to the Corporation or any of its Subsidiaries to any Person, other than in the Ordinary Course or to Persons who are under a contractual, legal, or ethical obligation to maintain the confidentiality of such information;

 

   

(i) sublicense, sell, transfer, assign or dispose of any right in any Corporation Intellectual Property, or any Intellectual Property, in each case, material to any Pharmaceutical Product, (ii) other than non-exclusive licenses granted to third Persons in the Ordinary Course that are terminable by the Corporation without any consent, material penalty or material payment, lease or grant a license of any right in any Corporation Intellectual Property, or any Intellectual Property material to any Pharmaceutical Product or (iii) assign or grant a license of any material right in any other Owned Intellectual Property;

 

   

(i) waive, amend or voluntarily terminate any inbound license in favour of the Corporation with respect to any Corporation Intellectual Property, or any other Intellectual Property material to any Pharmaceutical Product, (ii) amend any Contract with respect to the use of any intellectual property material to any Pharmaceutical Product, or (iii) amend or waive any rights under any Material Contract, enter into any Contract that would be a Material Contract if in effect on the date of the Arrangement Agreement, or enter into any in-license of Intellectual Property, in each case, with respect to any Pharmaceutical Product;

 

   

(i) except as required by applicable Law or Governmental Entity, or is deemed necessary by an existing Institutional Review Board process, commence (other than planning) or terminate (alone or with any third party) any research or development program, phase I, phase II, phase III or phase IV human clinical trial, including initiation of a new Institutional Review Board process, involving any Pharmaceutical Product, or (ii) make any material changes to, or to discontinue, terminate or suspend any ongoing research and development program relating to a Pharmaceutical Product; including in relation to any Pharmaceutical Product;

 

   

except as contemplated in Section 4.9 of the Arrangement Agreement, amend, modify or terminate, cancel or let lapse, any material insurance (or re-insurance) policy of the Corporation or any of its Subsidiaries, unless, simultaneously with any termination, cancellation or lapse, replacement policies underwritten by insurance and re-insurance companies of nationally recognized standing providing coverage equal to or greater than the coverage under the terminated, cancelled or lapsed policies for substantially similar premiums (other than increases reflecting changing market rates) are in full force and effect, and provided that no such termination, cancellation or lapse causes the Corporation or such Subsidiary to be in default of any Material Contract or material Authorization to which it is a party or by which it is bound;

 

   

amend, other than in the Ordinary Course, any existing material Authorization of the Corporation or any of its Subsidiaries, or abandon or fail to diligently pursue any application for or renewal of any required material Authorization, or take or omit to take

 

- 62 -


Table of Contents
 

any action that would reasonably be expected to lead to the termination of, or imposition of conditions on, any such material Authorization of the Corporation or any of its Subsidiaries;

 

   

commence, waive, release, assign, settle or compromise any Proceeding or threatened Proceeding, in each case other than settlements or compromises in the Ordinary Course that involve only: (i) the payment of monetary damages (net of any payments or proceeds received through insurance) not in excess of $1,000 individually or $5,000 in the aggregate, or (ii) the payment of immaterial non-monetary compensation, in each case without any admission of wrongdoing by the Corporation or any of its Subsidiaries, or the imposition of any material restrictions (including through the granting of equitable relief) on the business and operations of the Corporation or any of its Subsidiaries;

 

   

amend or modify (other than immaterial amendments or modifications in the Ordinary Course) or terminate or waive or fail to exercise any right under any Material Contract, or enter into any Contract that would be a Material Contract if in effect on the date of the Arrangement Agreement;

 

   

engage in any transaction with any member of senior management, vice-president, director or any of their immediate family members (including spouses) or any related party (within the meaning of MI 61-101), other than (i) expense reimbursements and advances in the Ordinary Course, (ii) employment Contracts with Employees hired in accordance with Section 4.1(2)(p) of the Arrangement Agreement, or (iii) transactions between the Corporation and any of its wholly-owned Subsidiaries or between two or more wholly-owned Subsidiaries;

 

   

make any material change in the Corporation’s methods of Tax of financial accounting policies, practices, principles, methods or procedures, except as required by applicable Law or as required by U.S. GAAP;

 

   

except as required by applicable Law or other than in the Ordinary Course: (i) make, change or rescind any material Tax election, information schedule, return or designation inconsistent with past practice, (ii) settle or compromise (or offer to settle or compromise) any material Tax claim, assessment, reassessment, liability, proceeding or controversy, (iii) file any amendment to a material Tax Return, (iv) enter into any material agreement with a Governmental Entity with respect to Taxes, (v) enter into or change any material Tax sharing, Tax advance pricing agreement, Tax allocation or Tax indemnification agreement that is binding on the Corporation or its subsidiaries, (vi) surrender any right to claim a material Tax abatement, reduction, deduction, exemption, credit or refund, (vii) consent to the extension or waiver of the limitation period applicable to any material Tax matter, (viii) make a request for a material Tax ruling or decision to any Governmental Entity, or (ix) materially amend or change any of its methods for reporting income, deductions or accounting for income Tax purposes;

 

   

grant or commit to grant a license or otherwise transfer any Intellectual Property owned by or licensed to the Corporation or its Subsidiaries or rights in or in respect thereto that is material to the Corporation and its Subsidiaries taken as a whole, other than to (i) wholly-owned Subsidiaries and (ii) non-exclusive licenses granted to third parties in the Ordinary Course;

 

- 63 -


Table of Contents
   

enter into or amend any Contract with any broker, finder or investment banker, provided that the foregoing shall not prohibit the Corporation from entering into an agreement on commercially reasonable terms with any dealer and proxy solicitation services firm for purposes of soliciting proxies in connection with the Arrangement;

 

   

enter into any interest rate, currency, equity or commodity swaps, hedges, derivatives, forward sales contracts or similar financial instruments; or

 

   

authorize, agree, offer, resolve or otherwise commit, whether or not in writing, to do any of the foregoing.

In addition, until the earlier to occur of the Effective Time and the valid termination of the Arrangement Agreement in accordance with its terms, the Corporation shall, and shall cause its subsidiaries to, in each case to the extent reasonably practicable and permitted under applicable law:

 

   

consult with the Purchaser in connection with any proposed meeting with any Drug Regulatory Agency relating to services provided by, or proposed to be provided by, the Corporation or in respect of any Pharmaceutical Product;

 

   

inform the Purchaser within two Business Days following receipt of any material communication (written or oral) with or from any Drug Regulatory Agency relating to services provided by, or proposed to be provided by, the Corporation;

 

   

promptly inform the Purchaser of, and provide the Purchaser with a reasonable opportunity to review, any material filing proposed to be made by or on behalf of the Corporation or any of its Subsidiaries, and any material correspondence or other material communication proposed to be submitted or otherwise transmitted, to any Drug Regulatory Agency by or on behalf of the Corporation or any of its Subsidiaries, in each case relating to services provided by, or proposed to be provided by, the Corporation or in respect of any Pharmaceutical Product; and

 

   

promptly inform the Purchaser and provide the Purchaser with a reasonable opportunity to comment, in each case, prior to making any material change to any study, protocol, trial, manufacturing plan or development timeline relating to services provided by, or proposed to be provided by, the Corporation or in respect of any pharmaceutical product, except where such change must be made in less than three Business Days when (i) required by law or a Governmental Entity; or (ii) deemed necessary or advisable by an ethics board,

provided that, for the purposes of Section 4.1(3) of the Arrangement Agreement, it shall not be reasonably practicable to consult with or provide the Purchaser with a reasonable opportunity to review or comment in respect of the foregoing, as the case may be, if the period within which the Corporation is required to meet or file with, or submit or transmit to, any Drug Regulatory Agency or to make any material change to any study, protocol, trial, manufacturing plan or development timeline is less than 48 hours.

Regulatory Approvals

Each Party to the Arrangement Agreement shall, as promptly as possible, use its commercially reasonable efforts to obtain, or cause to be obtained, all consents and Authorizations, including the Regulatory Approvals, from all Governmental Entities that may be or become necessary for its

 

- 64 -


Table of Contents

execution and delivery of the Arrangement Agreement and the performance of its obligations under the Arrangement Agreement. Each Party shall co-operate fully with the other Party and its affiliates in promptly seeking to obtain all such consents or Authorizations from such Governmental Entities.

In connection with filing the Arrangement Agreement under the Korea Foreign Exchange Transactions Act Filing, as promptly as practicable, and in any event prior to the closing of the Arrangement, the Purchaser shall prepare and file its notification and report forms under the Foreign Exchange Transactions Act (Korea).

The Parties shall cooperate and coordinate with one another in connection with obtaining the Regulatory Approvals, including by providing or submitting as promptly as practicable all documentation and information that is required, or in the opinion of the Purchaser, acting reasonably, advisable, in connection with obtaining the Regulatory Approvals.

The Parties shall cooperate with and keep one another fully informed as to the status of and the processes and proceedings relating to obtaining the Regulatory Approvals, and shall promptly notify each other of any communication from any Governmental Entity in respect of the transactions contemplated by the Arrangement Agreement. The Parties shall exchange advance drafts of all submissions, correspondence (including emails), filings, presentations, and, if necessary, applications, undertakings, consent agreements or other material documents made or submitted to or filed with any Governmental Entity in respect of the transactions contemplated by the Arrangement Agreement, will consider in good faith any suggestions made by the other Party and its counsel thereon, and will provide the other Party and its counsel with final copies thereof on a timely basis. The Parties will each keep each other and their counsel fully apprised of all written (including email) and oral communications and all meetings with any Governmental Entity, and their staff, in respect of the transactions contemplated by the Arrangement Agreement. Neither Party will participate in any communications or meetings (in person, by telephone or otherwise) with any Governmental Entity regarding the transactions contemplated by the Arrangement Agreement without giving the other Party and their counsel the opportunity to participate therein, except to the extent that competitively sensitive information may be discussed, in which case the Parties will allow external legal counsel for the other Party to participate. To the extent that any information required to be provided by one Party to another Party pursuant to this subsection is subject to privilege or is competitively sensitive, such information may be provided only to the legal counsel and external experts of the other Party on an “outside advisors only” basis.

The Purchaser shall not, and shall not allow any of its Subsidiaries to, take any action or enter into any transaction, including any merger, acquisition, business combination, joint venture, disposition, lease or contract, that would reasonably be expected to prevent, materially delay or materially impede the obtaining of, or materially increase the risk of not obtaining, the Regulatory Approvals, or otherwise prevent, materially delay or materially impede the consummation of the transactions contemplated by the Arrangement Agreement.

Access to Information; Confidentiality

Until the earlier to occur of the Effective Time and the valid termination of the Arrangement Agreement in accordance with its terms, subject to applicable Law, the Corporation shall, and shall cause its Subsidiaries and shall use commercially reasonable efforts to cause their respective directors, officers, Employees, independent auditors, advisers, consultants and agents to, upon reasonable prior notice: (a) give the Parent and the Purchaser, and their respective Representatives reasonable access

 

- 65 -


Table of Contents

(during normal business hours), as the Parent or the Purchaser may reasonably require for the purpose of consummating the Arrangement or for post-closing integration purposes, to its and its Subsidiaries’ offices, premises, properties, assets, senior personnel, Contracts and books and records (including continuing access to the Data Room), and (b) furnish to the Parent or the Purchaser and its Representatives such financial and operating data and Corporation Data or other information with respect to the assets or business of the Corporation as the Parent or the Purchaser may reasonably request for the purpose of consummating the Arrangement or for post-closing integration purposes; provided that the Corporation’s compliance with any request under the Arrangement Agreement shall not unduly interfere with the conduct of the business of the Corporation and its Subsidiaries.

Section 4.5(1) of the Arrangement Agreement shall not require the Corporation or its Subsidiaries to permit any access, or to disclose any information that in the reasonable good faith judgment of the Corporation, after consultation with outside legal counsel, would result in the breach of any Contract, any violation of any Law or cause any privilege (including attorney-client privilege) that the Corporation or its Subsidiaries would be entitled to assert to be undermined with respect to such information; provided that, the Parties thereto shall cooperate in seeking to find a way to allow disclosure of such information to the extent doing so could reasonably (in the good faith belief of the Corporation, after consultation with counsel) be managed through the use of customary “clean-room” or other similar arrangements.

Investigations made by or on behalf of the Purchaser, whether under Section 4.5 of the Arrangement Agreement or otherwise, will not waive, diminish the scope of, or otherwise affect any representation or warranty made by the Corporation in the Arrangement Agreement.

Public Communications

The Corporation and the Purchaser, each acting reasonably, shall agree on the text of press releases by which the Corporation, the Purchaser or the Parent will announce the execution of the Arrangement Agreement, and the completion of the Arrangement.

Except as required by applicable Law, neither Party shall issue any press release or make any other public statement or disclosure with respect to the Arrangement Agreement or the transactions contemplated by the Arrangement Agreement without the prior written consent of the other Party (which consent shall not be unreasonably withheld); provided that, subject to Article 5 of the Arrangement Agreement, any Party that, in the opinion of outside legal counsel, is required to make disclosure by applicable Law (other than disclosures to Governmental Entities in connection with the Regulatory Approvals, which shall be addressed as contemplated by Section 4.4 of the Arrangement Agreement) shall use its reasonable best efforts to give the other Party prior oral or written notice and a reasonable opportunity to review or comment on such disclosure (other than with respect to confidential information contained in such disclosure) and if such prior notice is not permitted by applicable Law, shall give such notice immediately following the making of such disclosure. The Party making such disclosure shall give reasonable consideration to any comments made by the other Party or its counsel. For the avoidance of doubt, none of the foregoing shall prevent the Corporation or the Purchaser from making (a) internal announcements to Employees and having discussions with shareholders, financial analysts and other stakeholders, or (b) public announcements in the Ordinary Course that do not relate specifically to the Arrangement Agreement or the Arrangement, in each case so long as such announcements and discussions are consistent in all material respects with the most recent press releases, public disclosures or public statements made by such Person. The Parties acknowledge that the Corporation will file the Arrangement Agreement (excluding, for greater

 

- 66 -


Table of Contents

certainty, the Corporation Disclosure Letter) and a material change report relating thereto on SEDAR+ and with the SEC (each of which shall be available on EDGAR).

Notice and Cure Provisions

During the period commencing on the date of the Arrangement Agreement and continuing until the earlier of the Effective Time and the termination of the Arrangement Agreement in accordance with its terms, each Party shall promptly notify the other Party of the occurrence, or failure to occur, of any event or state of facts which occurrence or failure would, or would be reasonably likely to:

 

  (a)

cause any of the representations or warranties of such Party contained in the Arrangement Agreement to be untrue or inaccurate in any material respect at any time from the date of the Arrangement Agreement to the Effective Time; or

 

  (b)

result in the failure, in any material respect, to comply with or satisfy any covenant, condition or agreement to be complied with or satisfied by such Party under the Arrangement Agreement.

Notification provided under Section 4.8 of the Arrangement Agreement will not affect the representations, warranties, covenants, agreements or obligations of the Parties (or remedies with respect thereto) or the conditions to the obligations of the Parties under the Arrangement Agreement.

The Corporation may not elect to exercise its right to terminate the Arrangement Agreement pursuant to Section 7.2(1)(c)(i) of the Arrangement Agreement [Breach of Representations and Warranties or Covenants by the Purchaser or the Parent] and the Purchaser may not elect to exercise its right to terminate the Arrangement Agreement pursuant to Section 7.2(1)(d)(i) [Breach of Representations and Warranties or Covenants by the Corporation], unless the Party seeking to terminate the Arrangement Agreement (the “Terminating Party”) has delivered a written notice (“Termination Notice”) to the other Party (the “Breaching Party”) specifying in reasonable detail all breaches of covenants, representations and warranties or other matters which the Terminating Party asserts as the basis for termination. After delivering a Termination Notice, provided the Breaching Party is proceeding diligently to cure such matter and such matter is capable of being cured prior to the Outside Date, the Terminating Party may not exercise such termination right until the earlier of (i) the Outside Date, and (ii) the date that is 10 Business Days following receipt of such Termination Notice by the Breaching Party, if such matter has not been cured by such date, provided that, for greater certainty, if any matter is not capable of being cured by the Outside Date or if at any time following receipt of a Termination Notice the Breaching Party fails to diligently proceed to cure any matter, the Terminating Party may immediately exercise the applicable termination right, and provided further that a Willful Breach shall be deemed to be incapable of being cured, and the Terminating Party may immediately exercise the applicable termination right in accordance with the terms of Section 7.2(1)(c)(i) of the Arrangement Agreement [Breach of Representations and Warranties or Covenants by the Purchaser or the Parent] or Section 7.2(1)(d)(i) [Breach of Representations and Warranties or Covenants by the Corporation] of the Arrangement Agreement, as applicable, without first providing a Termination Notice.

If the Terminating Party delivers a Termination Notice prior to the date of the Meeting, unless the Parties agree otherwise, the Corporation shall postpone or adjourn the Meeting to the earlier of (i) five Business Days prior to the Outside Date and (ii) the date that is 10 Business Days following receipt of such Termination Notice by the Breaching Party.

 

- 67 -


Table of Contents

Insurance and Indemnification

Prior to the Effective Time, the Corporation shall, in consultation with the Purchaser, and if the Corporation is unable after using commercially reasonable efforts, the Purchaser shall cause the Corporation to, as of the Effective Time, purchase customary fully pre-paid and non-cancelable “tail” policies of directors’ and officers’ liability insurance from an insurance company of nationally recognized standing providing protection no less favourable in the aggregate to the protection provided by the policies maintained by the Corporation and its wholly-owned Subsidiaries which are in effect immediately prior to the Effective Time and providing protection in respect of claims arising from facts or events which occurred on or prior to the Effective Time and the Purchaser shall, or shall cause the Corporation and its wholly-owned Subsidiaries to maintain such tail policies in effect without any reduction in scope or coverage for six (6) years after the Effective Date; provided that the Purchaser shall not be required to pay any amounts in respect of such coverage prior to the Effective Time and provided further that the cost of such policies shall not exceed 200% of the Corporation’s and its wholly-owned Subsidiaries’ current annual aggregate premium for directors’ and officers’ liability insurance policies currently maintained by the Corporation or its wholly-owned Subsidiaries.

From and after the Effective Time, the Purchaser shall cause the Corporation or the applicable Subsidiary of the Corporation to honour all rights to indemnification or exculpation existing as of the date of the Arrangement Agreement in favour of present and former Employees, officers and directors of the Corporation and its Subsidiaries pursuant to applicable Law and to indemnification agreements (to the extent such indemnification agreements are disclosed in Section 4.9(2) of the Corporation Disclosure Letter) and acknowledges that such rights shall survive the completion of the Plan of Arrangement and shall continue in full force and effect in accordance with their terms for a period of not less than six (6) years after the Effective Date.

If the Corporation or any of its Subsidiaries or any of their respective successors or assigns (a) consolidates or amalgamates with, or merges or liquidates into, any other Person and is not a continuing or surviving corporation or entity of such consolidation, amalgamation, merger, amalgamation or liquidation, or (b) transfers all or substantially all of its properties and assets to any Person, the Purchaser shall ensure that any such successor or assign (including, as applicable, any acquirer of substantially all of the properties and assets of the Corporation or its Subsidiaries) assumes all of the obligations set forth in Section 4.9 of the Arrangement Agreement.

TSX Delisting

Each of the Corporation and the Purchaser agree to cooperate with the other Party in taking, or causing to be taken, all actions necessary to enable the delisting of the Shares from the TSX (including, if requested by the Purchaser, such items as may be necessary to delist the Shares on the Effective Date) the Corporation to cease being a reporting issuer under applicable Canadian Securities Laws and the deregistration of the Corporation with the SEC, in each case, as promptly as practicable following the Effective Time.

CrystalGenomics Release

The Corporation shall use reasonable best efforts to obtain from CG, an agreement (i) confirming the termination of the license granted from CG to the Corporation in respect of the compound referred to as CG-806 (luxeptinib), (ii) confirming the non-existence of any cause of action against the Corporation in connection with such license and its termination and (iii) providing for a customary mutual release of any and all claims each against the other in respect of or in relation to such license.

 

- 68 -


Table of Contents

Restrictions on Solicitations of Other Offers

Aptose has agreed, subject to certain limited exceptions, not to, and to cause its subsidiaries and its and their respective representatives not to, directly or indirectly:

 

  (a)

solicit, assist, initiate, knowingly encourage or otherwise knowingly facilitate (including by way of furnishing or providing copies of, access to, or disclosure of, any confidential information, properties, facilities, books or records of the Corporation or any Subsidiary or entering into any form of Contract, agreement, arrangement or understanding) any inquiry, proposal or offer (whether public or otherwise) that constitutes or may reasonably be expected to constitute or lead to, an Acquisition Proposal;

 

  (b)

enter into, engage in, continue or otherwise participate in any discussions or negotiations with any Person (other than the Parent, the Purchaser and their affiliates) regarding any inquiry, proposal or offer that constitutes or may reasonably be expected to constitute or lead to, an Acquisition Proposal;

 

  (c)

make a Change in Recommendation;

 

  (d)

enter into any Contract or agreement in principle requiring the Corporation to abandon, terminate or fail to consummate the Arrangement or any other transactions contemplated by the Arrangement Agreement or fail to consummate the Arrangement or any other transactions contemplated by the Arrangement Agreement or to breach its obligations hereunder, or propose or agree to do any of the foregoing; or

 

  (e)

accept or enter into, or publicly propose to accept or enter into, any Contract, letter of intent, term sheet, understanding or arrangement (in each case, whether or not legally binding) or similar document with any Person in respect of an Acquisition Proposal (other than a confidentiality and standstill agreement permitted by and in accordance with Section 5.3 of the Arrangement Agreement).

In addition, Aptose agreed to, and to cause its subsidiaries and their respective representatives to, immediately cease and terminate, and cause to be terminated, any solicitation, encouragement, discussion, negotiations or other activities commenced prior to the date of the Arrangement Agreement with any Person (other than the Parent, the Purchaser and their respective affiliates) with respect to any inquiry, proposal or offer that constitutes, or may reasonably be expected to constitute or lead to, an Acquisition Proposal, and in connection with such termination shall:

 

  (a)

immediately discontinue access to, and disclosure of, all information regarding the Corporation and its Subsidiaries, including any data room and any confidential information, properties, facilities and books and records of the Corporation or any of its Subsidiaries; and

 

  (b)

promptly, and in any event within two (2) Business Days of the date of the Arrangement Agreement, request, and exercise all rights it has to require (i) the prompt return or destruction of all copies of any confidential information regarding the Corporation or any of its Subsidiaries provided to any Person other than the Purchaser, its affiliates and their respective Representatives, and (ii) the destruction of all material including or incorporating or otherwise reflecting such confidential information regarding the Corporation or any of its Subsidiaries, in each case, to the extent that such information has

 

- 69 -


Table of Contents
 

not previously been returned or destroyed and using its reasonable commercial reasonable efforts to ensure that such requests are fully complied with in accordance with the terms of such rights or entitlements.

Since January 1, 2025, Aptose has not waived any confidentiality, standstill, non-disclosure, non-solicitation or similar agreement, restriction or covenant to which the Corporation or any Subsidiary is a Party. The Corporation also covenants, agrees and confirms that (a) the Corporation shall use commercially reasonable efforts to enforce each confidentiality, standstill, non-disclosure, non-solicitation or similar agreement, restriction or covenant to which the Corporation or any Subsidiary is a Party or may after the date of the Arrangement Agreement become a party in accordance with Section 5.3 of the Arrangement Agreement, and (b) neither the Corporation, nor any Subsidiary nor any of their respective Representatives have released or will, without the prior written consent of the Purchaser (which may be withheld or delayed in the Purchaser’s sole and absolute discretion), release any Person from, or waive, amend, suspend or otherwise modify, such Person’s obligations respecting the Corporation or any of its Subsidiaries under any confidentiality, standstill, non-disclosure, non-solicitation or similar agreement, restriction or covenant to which the Corporation or any Subsidiary is a party (it being acknowledged by the Purchaser that the automatic termination or release of any such agreement, restriction or covenant as a result of entering into the Arrangement Agreement shall not be a violation of Section 5.1(3) of the Arrangement Agreement).

If Aptose or any of its subsidiaries or any of their respective representatives receives or otherwise becomes aware of any inquiry, proposal or offer that constitutes or may reasonably be expected to constitute an Acquisition Proposal, or any request for copies of, access to, or disclosure of, confidential information relating to the Corporation or any of its Subsidiaries, including information, access or disclosure relating to the properties, facilities, books and records of the Corporation or any of its Subsidiaries, or any discussions or negotiations are sought to be initiated or continued with, the Corporation, its Subsidiaries or any of their respective Representatives, the Corporation shall

 

  (a)

immediately notify the Purchaser, at first orally and then in writing and in any event within 24 hours of such Acquisition Proposal, inquiry, proposal, offer or request, including a description of its material terms and conditions, the identity of all Persons making the Acquisition Proposal, inquiry, proposal, offer or request, and copies of all written documents, material correspondence or other material received in respect of, from or on behalf of any such Person; and

 

  (b)

keep the Purchaser fully informed, on a prompt basis, of the status of all developments and, to the extent permitted by Section 5.3 of the Arrangement Agreement, discussions and negotiations with respect to such Acquisition Proposal, inquiry, proposal, offer or request, including any changes, modifications or other amendments to any such Acquisition Proposal, inquiry, proposal, offer or request and shall promptly provide to the Purchaser copies of all material correspondence if in writing or electronic form, and if not in writing or electronic form, a description of the material or substantive terms of such correspondence communicated to the Corporation by or on behalf of any Person making such Acquisition Proposal, inquiry, proposal, offer or request.

If at any time prior to obtaining the Required Shareholder Approval, the Corporation receives a bona fide unsolicited written Acquisition Proposal, the Corporation may (a) contact the Person making such Acquisition Proposal and its Representatives solely for the purpose of clarifying the terms and conditions of such Acquisition Proposal so as to determine whether such Acquisition Proposal

 

- 70 -


Table of Contents

constitutes or would reasonably be expected to constitute a Superior Proposal, and (b) engage in or participate in discussions or negotiations with such Person regarding such Acquisition Proposal, and may provide copies of, access to or disclosure of confidential information, properties, facilities, or books and records of the Corporation or any of its Subsidiaries, if and only if:

 

  (a)

the Board first determines (based upon, amongst other things, the recommendation of the Transaction Committee) in good faith, after consultation with its financial advisers and its outside legal counsel, that such Acquisition Proposal constitutes or would reasonably be expected to constitute a Superior Proposal;

 

  (b)

such Person making the Acquisition Proposal was not restricted from making such Acquisition Proposal pursuant to an existing confidentiality, standstill, non-disclosure, non-solicitation or similar agreement, restriction or covenant contained in any Contract entered into with the Corporation or any of its Subsidiaries;

 

  (c)

the Corporation has been, and continues to be, in compliance with its obligations under Article 5 of the Arrangement Agreement;

 

  (d)

prior to providing any such copies, access or disclosure, the Corporation enters into a confidentiality and standstill agreement with such Person that contains a customary standstill provision for not less than 12 months and any such copies, access or disclosure provided to such Person shall have already been (or promptly be) provided to the Purchaser (by posting such information to the Data Room or otherwise); and

 

  (e)

prior to providing any such copies, access or disclosure, the Corporation promptly provides the Purchaser with a true, complete and final executed copy of the confidentiality and standstill agreement referred to in Section 5.3(1)(d) of the Arrangement Agreement.

Nothing contained in Article 5 of the Arrangement Agreement shall prohibit the Board from making disclosure to Securityholders as required by applicable Law, including complying with Section 2.17 of Multilateral Instrument 62-104Takeover Bids and Issuer Bids and similar provisions under Securities Laws relating to the provision of a directors’ circular in respect of an Acquisition Proposal.

The Arrangement Agreement provides that if at any time prior to obtaining the Required Shareholder Approval at the Meeting, Aptose receives an Acquisition Proposal that constitutes a Superior Proposal, the Board may (based upon, amongst other things, the recommendation of the Transaction Committee), enter into a definitive agreement with respect to a Superior Proposal, if and only if:

 

  (a)

the Person making the Superior Proposal was not restricted from making such Superior Proposal pursuant to an existing confidentiality, standstill, non-disclosure, non-solicitation or similar agreement, restriction or covenant contained in any Contract entered into with the Corporation or any of its Subsidiaries;

 

  (b)

the Corporation has been, and continues to be, in compliance with its obligations under Article 5 of the Arrangement Agreement;

 

  (c)

the Corporation has delivered to the Purchaser a written notice of the determination of the Board that such Acquisition Proposal constitutes a Superior Proposal and of the intention

 

- 71 -


Table of Contents
 

of the Board to enter into such definitive agreement with respect to such Superior Proposal (including a notice as to the value in financial terms that the Board has, in consultation with its financial advisors, determined should be ascribed to any non-cash consideration offered under the Superior Proposal) (the “Superior Proposal Notice”);

 

  (d)

the Corporation has provided the Purchaser a copy of the proposed definitive agreement for the Superior Proposal (including any financing documents or other documents containing material terms and conditions of such Superior Proposal supplied to the Corporation in connection therewith);

 

  (e)

at least five (5) full Business Days (the “Matching Period”) have elapsed from the date that is the later of the date on which the Purchaser received the Superior Proposal Notice and the date on which the Purchaser received all of the materials referred to in Section 5.4(1)(d) of the Arrangement Agreement;

 

  (f)

during any Matching Period, the Purchaser has had the opportunity (but not the obligation), in accordance with Section 5.4(2) of the Arrangement Agreement, to offer to amend the Arrangement Agreement and the Arrangement in order for such Acquisition Proposal to cease to be a Superior Proposal;

 

  (g)

after the Matching Period, the Board has determined in good faith, after consultation with the Corporation’s outside legal counsel and financial advisers, that such Acquisition Proposal continues to constitute a Superior Proposal (if applicable, compared to the terms of the Arrangement as proposed to be amended by the Purchaser under Section 5.4(2)of the Arrangement Agreement); and

 

  (h)

prior to or concurrently with entering into such definitive agreement the Corporation terminates the Arrangement Agreement pursuant to Section 7.2(1)(c)(i) of the Arrangement Agreement and pays the Corporation Expense Fee pursuant to Section 8.2(2) of the Arrangement Agreement.

During the Matching Period, or such longer period as the Corporation may approve in writing for such purpose: (a) the Purchaser shall have the opportunity (but not the obligation) to offer to amend the Arrangement, the Arrangement Agreement or the Plan of Arrangement in order for such Acquisition Proposal to cease to be a Superior Proposal and the Board shall, in consultation with the Corporation’s outside legal counsel and financial advisers, review any offer made by the Purchaser to amend the terms of the Arrangement Agreement and the Arrangement in good faith in order to determine whether such proposal would, upon acceptance, result in the Acquisition Proposal previously constituting a Superior Proposal ceasing to be a Superior Proposal, and (b) the Corporation shall, and shall cause its Representatives to, negotiate in good faith with the Purchaser to make such amendments to the terms of the Arrangement Agreement and the Plan of Arrangement as would enable the Purchaser to proceed with the transactions contemplated by the Arrangement Agreement on such amended terms. If the Board determines (based upon, inter alia, the recommendation of the Transaction Committee) that such Acquisition Proposal would cease to be a Superior Proposal, the Corporation shall promptly so advise the Purchaser and the Corporation and the Purchaser shall amend the Arrangement Agreement to reflect such offer made by the Purchaser, and shall take and cause to be taken all such actions as are necessary to give effect to the foregoing.

Each successive amendment or modification to any Acquisition Proposal that results in an increase in, or modification of, the consideration (or value of such consideration) to be received by the

 

- 72 -


Table of Contents

Shareholders or other material terms or conditions thereof shall constitute a new Acquisition Proposal, and the Purchaser shall be afforded a new full five (5) Business Day Matching Period from the later of the date on which the Purchaser received the Superior Proposal Notice and the date on which the Purchaser received all of the materials referred to in Section 5.4(1)(d) of the Arrangement Agreement with respect to each new Superior Proposal from the Corporation.

The Board shall promptly reaffirm the Board Recommendation (based upon, inter alia, the recommendation of the Transaction Committee) by press release after any Acquisition Proposal which is not determined to be a Superior Proposal is publicly announced or publicly disclosed or the Board determines that a proposed amendment to the terms of the Arrangement Agreement or the Plan of Arrangement as contemplated under Section 5.4(2) of the Arrangement Agreement would result in an Acquisition Proposal no longer being a Superior Proposal. The Corporation shall provide the Purchaser and its outside legal counsel with a reasonable opportunity to review the form and content of any such press release and shall make all reasonable amendments to such press release as requested by the Purchaser and its outside legal counsel.

If the Meeting is to be held during a Matching Period, the Corporation may, and shall at the request of the Purchaser, postpone or adjourn the Meeting to a date that is not more than 10 Business Days after the scheduled date of the Meeting, but in any event to a date that would not prevent the Effective Date from occurring prior to the Outside Date.

Employees

The Purchaser has covenanted that, from and after the Effective Time, the Purchaser shall cause the Corporation to honour and comply in all material respects with all of the obligations of the Corporation under employment agreements with Employees and for a period of 12 months following the Effective Time and shall cause the Corporation to provide the Employees with total compensation that is, in the aggregate, at least substantially similar (excluding grants and compensation under Incentive Compensation Plans) to the compensation provided to such Employees immediately prior to the Effective Time; (ii) notice of termination, pay in lieu of notice and severance benefits to each Employee that are no less favourable than those that would have been provided to such Employee under the applicable employee plans or contracts as in effect immediately prior to the Effective Time, and if no such employee plan or contracts were then in effect, such Employee will be provided with notice or payment in lieu of notice and severance as required by Law, and (iii) employee benefits that are comparable in the aggregate to those that such Employee was entitled to receive under the employee plans (excluding any employee plan providing for defined benefits, equity or equity-based, or retiree or post-termination health and welfare benefits) immediately prior to the Effective Date provided that the foregoing shall not (a) give any Employees any right to continued employment, (b) affect or otherwise increase the severance, post-termination benefits or other termination entitlements of Employees under their current employment contracts, employee plans or applicable Law, (c) impair in any way the right of the Corporation to terminate the employment of any Employee or amend or terminate any of the employee plans at any time, or (d) apply to any Employee who is or becomes covered by a collective agreement whose terms and conditions of employment of each such Employee following the Effective Time shall be governed by the terms of the applicable collective agreement.

Representations and Warranties

The Arrangement Agreement contains customary representations and warranties made by each of Aptose, the Parent and the Purchaser. The assertions embodied in those representations and warranties

 

- 73 -


Table of Contents

are solely for the purposes of the Arrangement Agreement. Many of the parties’ representations and warranties are qualified by knowledge, materiality and/or a “Material Adverse Effect” standard.

The Arrangement Agreement contains customary representations and warranties of Aptose relating to, among other things: organization and qualification; corporate authorization; execution and binding obligation of the Arrangement Agreement; governmental authorization; no conflict/non-contravention; capitalization; shareholders’ and similar agreements; subsidiaries; securities laws matters; financial statements; disclosure controls and internal controls over financial reporting; minute books; auditors; no undisclosed liabilities; transactions with directors, officers, employees, etc.; absence of certain changes or events; long-term and derivatives transactions; compliance with laws; whistleblower reporting; authorization and licenses; fairness opinion; formal valuation; brokers; Board and Transaction Committee approval; material contracts; no guarantees; real property; title and sufficiency of Corporation assets; restrictions on conduct of business; government incentives; intellectual property; business systems; litigation; healthcare laws; healthcare regulatory compliance; solvency; environmental matters; employees; collective agreements; employee plans; insurance; tax matters; non-arm’s length transactions; anti-terrorism laws; corrupt practices legislation; CFIUS; money laundering; data protection laws; anti-spam; funds available; confidentiality agreements; disclosure and transaction costs.

In addition, the Arrangement Agreement contains customary representations and warranties of the Parent and the Purchaser, including with respect to, among other things; organization and qualification; corporate authorization; execution and binding obligation of the Arrangement Agreement; governmental authorization; no conflict/non-contravention; litigation; security ownership; sufficiency of funds and brokers.

Many of Aptose’s representations and warranties are qualified by a “Material Adverse Effect” standard. For purposes of the Arrangement Agreement, “Material Adverse Effect” means any fact, change, event, occurrence, effect, state of facts and/or circumstance that, individually or in the aggregate, is or would reasonably be expected to be material and adverse to the business, operations, results of operations, assets, properties, condition (financial or otherwise) or liabilities (contingent or otherwise) of the Corporation and its Subsidiaries, taken as a whole, except any such fact, change, event, occurrence, effect, state of facts or circumstance resulting from or arising in connection with:

 

  (a)

any change or development generally affecting the pharmaceutical industries in which the Corporation and/or its Subsidiaries operate;

 

  (b)

any changes, events or occurrences in general economic, business, regulatory, political, financial or currency exchange conditions in Canada or the United States, including changes in (i) financial markets, credit markets or capital markets, (ii) interest rates and credit ratings, (iii) inflation and (iv) currency exchange rates;

 

  (c)

any hurricane, flood, tornado, earthquake or other natural disaster, epidemic, pandemic or disease outbreak or any material worsening of such conditions existing as of the date of the Arrangement Agreement;

 

  (d)

any act of sabotage, espionage, including any commencement or escalation of a war (whether or not declared), armed hostilities or acts of crime or terrorism;

 

  (e)

any change in Law, generally acceptable accounting principles, including U.S. GAAP, or changes in regulatory accounting or tax requirements, or in the interpretation, application or non-application of the foregoing by any Governmental Entity;

 

- 74 -


Table of Contents
  (f)

any action taken (or omitted to be taken) by the Corporation or any of its Subsidiaries that is required to be taken (or prohibited to be taken) pursuant to the Arrangement Agreement or with the express prior written consent or at the written direction of the Purchaser;

 

  (g)

any change in the market price or trading volume of the Shares (it being understood that the causes underlying such change in market price or trading volume may, to the extent not otherwise excluded from the definition of Material Adverse Effect, be taken into account in determining whether a Material Adverse Effect has occurred);

 

  (h)

any Proceeding or threatened Proceeding relating to the Arrangement Agreement or the Arrangement (it being understood that the causes underlying such Proceeding may, to the extent not otherwise excluded from the definition of Material Adverse Effect, be taken into account in determining whether a Material Adverse Effect has occurred);

 

  (i)

the announcement of the Arrangement Agreement or the Arrangement or the pendency or consummation of the Arrangement or the transactions contemplated hereby; or

 

  (j)

the payment of accounts payable and accrued liabilities in the amounts funded by the Parent pursuant to the Facility Agreements,

but, in the case of clauses (a) through to and including (e), only to the extent that such matter does not have a materially disproportionate effect on the Corporation and its Subsidiaries, taken as a whole, relative to other companies and entities operating in the pharmaceutical industry in which the Corporation and/or its Subsidiaries operate, and references in certain sections of the Arrangement Agreement to dollar amounts are not intended to be, and shall not be deemed to be, illustrative or interpretative for purposes of determining whether a Material Adverse Effect has occurred.

Alternative CCAA Proceedings

In the event that the Arrangement Agreement is terminated for any reason other than (1) the breach of representations or warranties or failure to perform covenants by the Purchaser or (2) the Purchaser failing to deposit the Consideration at the Effective time or the Corporation entering into a definitive agreement with respect to a Superior Proposal, the Corporation is required to immediately commence the Alternative CCAA Proceedings in accordance with the following terms and timeline:

 

  (a)

the Corporation will apply to the Court for approval of a SISP Process Order (the “SISP Order”) with the Parent or the Purchaser as stalking horse bidder with the ability to acquire, directly or indirectly, the assets and business of the Corporation (whether by way of an asset purchase, the purchase of newly issued shares or another form of transaction) by way of credit bid of a portion of the aggregate indebtedness owing from the Corporation to the Parent or the Purchaser equivalent to the aggregate Consideration, regardless of its allocation among stakeholders as determined by the Court (the “CCAA Sale Transaction”);

 

  (b)

the CCAA Order shall include, among other things: a provision staying proceedings against the Corporation; and an Order for interim financing from the Parent or the Purchaser, on terms to be negotiated with the Corporation and approved by the Court (the “DIP Order”) and such other ancillary relief as the Parent or the Purchaser may approve, including the SISP Order;

 

  (c)

the process contemplated under the SISP Order shall be completed and a Vesting Order granted with respect to the transfer of business of the Corporation to the Parent or the

 

- 75 -


Table of Contents
 

Purchaser, provided that the Parent or the Purchaser is the successful bidder of the SISP (the “Vesting Order”) within 45 Business Days after the commencement of the Alternative CCAA Proceedings, or as the Court may allow;

 

  (d)

to the extent that the Corporation fails to commence a CCAA Proceeding within 10 Business Days of the deadlines set forth above (provided that the Parent and the Purchaser, as applicable, has, in a timely manner, cooperated with the Corporation in the negotiation and completion of the agreements to which the Parent and/or the Purchaser, as applicable, will be a party and the other related materials in order to enable the Corporation to comply with the timeline set out in this paragraph and if there is delay caused by the Parent and/or the Purchaser or more time is required through no fault of the Corporation, the foregoing 10 Business Day timeline shall be extended accordingly), the Parent and/or the Purchaser shall be entitled to make an application and seek the entry of the CCAA Orders, or take such other steps to enforce its security interests, and the Corporation and its Subsidiaries or affiliates shall not contest the granting of such relief and shall waive any applicable notice periods under Section 244 of the Bankruptcy and Insolvency Act (Canada) once notice is received from the Parent or the Purchaser; and

 

  (e)

the Alternative CCAA Proceedings will be terminated after closing of the CCAA Sale Transaction and no later than March 15, 2026 or such later date as determined by the Purchaser, in its sole discretion.

Conditions to the Arrangement

Mutual Conditions Precedent

The parties to the Arrangement Agreement are not required to complete the Arrangement unless each of the following conditions is satisfied prior to the Effective Time, which conditions may only be waived, in whole or in part, by the mutual consent of each of the parties to the Arrangement Agreement:

 

   

The Arrangement Resolution being approved and adopted by the Shareholders at the Meeting in accordance with the Interim Order.

 

   

The Continuance Resolution being approved and adopted by the Shareholders at the Meeting.

 

   

The Interim Order and the Final Order each being obtained on terms consistent with the Arrangement Agreement, and not having been set aside or modified in a manner unacceptable to either the Corporation or the Purchaser, each acting reasonably, on appeal or otherwise.

 

   

Each of the Regulatory Approvals being obtained on terms acceptable to the Corporation, the Parent and the Purchaser (each acting reasonably).

 

   

No Law (other than a Regulatory Approval) being in effect that makes the consummation of the Arrangement illegal or otherwise prevents, prohibits or enjoins the Corporation, the Parent or the Purchaser from consummating the Arrangement.

 

   

The Articles of Arrangement to be filed with the Registrar under the ABCA in accordance with the Arrangement Agreement being in a form and content satisfactory to the Corporation and the Purchaser, each acting reasonably.

 

- 76 -


Table of Contents
   

The Articles of Continuance to be filed with the Registrar in accordance with the Arrangement Agreement being in a form and content satisfactory to the Corporation and the Purchaser, each acting reasonably, and the Articles of Continuance being filed with the Registrar and the Continuance being completed.

 

   

There being no action or proceeding (whether, for greater certainty, by a Governmental Entity or any other Person) commenced in any jurisdiction that is reasonably likely to:

 

   

cease trade, enjoin or prohibit or impose any limitations, damages or conditions on, the Parent’s or the Purchaser’s ability to acquire, hold, or exercise full rights of ownership over, any Shares, including the right to vote the Shares;

 

   

prohibit the Arrangement, or the ownership or operation by the Parent or the Purchaser of any material portion of the business or assets of the Corporation and its Subsidiaries (taken as a whole) or, except as a consequence of Section 4.4 of the Arrangement Agreement (for greater certainty, without derogating from the rights of the Parent or the Purchaser under Section 6.1(3) of the Arrangement Agreement), compel the Parent or the Purchaser to dispose of or hold separate any material portion of the business or assets of the Corporation and its Subsidiaries (taken as a whole) as a result of the Arrangement or

 

   

materially delay the consummation of the Arrangement, or if the Arrangement is consummated, have a Material Adverse Effect.

Conditions Precedent to the Obligations of the Purchaser

The Purchaser is not required to consummate and complete the Arrangement unless each of the following conditions is satisfied, which conditions are for the exclusive benefit of the Purchaser and may only be waived, in whole or in part, by the Purchaser in its sole discretion:

 

   

The representations and warranties of the Corporation set forth in Paragraphs (1) [Organization and Qualification], (2) [Corporation Authorization], (3) [Execution and Binding Obligation], (6) [Capitalization] and (22) [Brokers] of Schedule C of the Arrangement Agreement shall be true and correct in all respects as of the date of the Arrangement Agreement and true and correct in all respects (except for representations and warranties made as of a specified date, the accuracy of which shall be determined as of such specified date) as of the Effective Time as if made at and as of such time, and (ii) all other representations and warranties of the Corporation set forth in the Arrangement Agreement shall be true and correct as of the date of the Arrangement Agreement and as of the Effective Time as if made at and as of such time (except that any such representation and warranty that by its terms speaks specifically as of the date of the Arrangement Agreement or another date shall be true and correct in all respects as of such date), except in the case of this clause (ii) where the failure to be so true and correct in all respects, individually or in the aggregate, has not had or would not reasonably be expected to have a Material Adverse Effect (disregarding for purposes of Section 6.2(1)(a)(ii) of the Arrangement Agreement any materiality, “material” or “Material Adverse Effect” qualification contained in any such representation or warranty).

 

   

The Corporation has fulfilled or complied in all material respects with the covenants of the Corporation contained in the Arrangement Agreement to be fulfilled or complied with by it on or prior to the Effective Time.

 

- 77 -


Table of Contents
   

Dissent Rights not having been exercised (or, if exercised, remaining outstanding) with respect to more than 5% of the issued and outstanding Shares in respect of either of the Continuance Resolution or the Arrangement Resolution.

 

   

The Purchaser shall be given the opportunity to review all Incentive Securities and Warrants within a reasonable period of time prior to the Closing and shall be satisfied, acting reasonably, that all Incentive Securities and Warrants have been exercised or surrendered in accordance with their terms or the Purchaser shall be otherwise satisfied, acting reasonably, that the Incentive Securities and Warrants will no longer represent any right to acquire Shares after giving effect to the Arrangement, and there are no other outstanding claims or rights or securities which could become claims or rights to Shares.

 

   

Since the date of the Arrangement Agreement, no Material Adverse Effect having occurred and been continuing.

 

   

Since the date of the Arrangement agreement, no Event of Default under the Facility Agreements of any breach by Aptose of the Debt Conversion and Interest Payment Agreement having occurred and been continuing.

 

   

The Purchaser shall be satisfied, in its sole discretion, with the implementation of actions taken or to be taken by the Corporation in connection with the matters set forth in Section 6.2(7) of the Corporation Disclosure Letter relating to certain Employee Plan of the Corporation.

 

   

The delivery by Aptose of certain other customary closing deliverables and certificates.

Conditions Precedent to the Obligations of Aptose

Aptose is not required to complete the Arrangement unless each of the following conditions is satisfied, on or before the Effective Time, which conditions are for the exclusive benefit of Aptose and may only be waived, in whole or in part, by Aptose in its sole discretion:

 

   

The representations and warranties of the Parent and the Purchaser set forth in Paragraphs (1) [Organization and Qualification], (2) [Corporation Authorization], (3) [Execution and Binding Obligation] of Schedule D to the Arrangement Agreement shall be true and correct in all respects as of the date of the Arrangement Agreement and true and correct in all respects (except for representations and warranties made as of a specified date, the accuracy of which shall be determined as of such specified date) as of the Effective Time as if made at and as of such time, and (ii) all other representations and warranties of the Parent and the Purchaser set forth in the Arrangement Agreement shall be true and correct as of the date of the Arrangement Agreement and as of the Effective Time as if made at and as of such time (except that any such representation and warranty that by its terms speaks specifically as of the date of the Arrangement Agreement or another date shall be true and correct in all respects as of such date), except in the case of this clause (ii) where the failure to be so true and correct in all respects, individually or in the aggregate, (disregarding for purposes of Section 6.3(1) of the Arrangement Agreement any materiality or “material” or “Material Adverse Effect” qualification contained in any such representation or warranty) has not had or would not reasonably be expected to materially impede or delay the consummation of the Arrangement.

 

- 78 -


Table of Contents
   

The Parent and the Purchaser have fulfilled or complied in all material respects with the covenants of the Parent and the Purchaser, respectively, contained in the Arrangement Agreement to be fulfilled or complied with by it on or prior to the Effective Time.

 

   

Subject to obtaining the Final Order and the satisfaction or waiver of the other conditions precedent contained herein in its favour (other than conditions which, by their nature, are only capable of being satisfied as of the Effective Time), the Purchaser has deposited or caused to be deposited in escrow with the Depositary in accordance with Section 2.10 of the Arrangement Agreement the funds required to effect payment in full of the aggregate Consideration to be paid pursuant to the Arrangement.

Termination

The Arrangement Agreement may be terminated and the Arrangement abandoned at any time prior to the Effective Time by:

 

   

the mutual written agreement of the parties;

 

   

either Aptose, the Parent or the Purchaser if:

 

   

the Arrangement Resolution is not approved by the Shareholders at the Meeting in accordance with the Interim Order or the Continuance Resolution is not approved by the Shareholders at the Meeting, provided that a Party may not terminate the Arrangement Agreement if the failure to obtain the approval of the Shareholders of the Arrangement Resolution or the Continuance Resolution, as applicable, has been caused by, or is a result of, a breach by such Party of any of its representations or warranties or the failure of such to perform any of its covenants or agreements under the Arrangement Agreement;

 

   

after the date of the Arrangement Agreement, any Law (including with respect to the Regulatory Approvals) is enacted, made, enforced or amended, as applicable, that makes the consummation of the Arrangement illegal or otherwise permanently prohibits or enjoins the Corporation, the Parent or the Purchaser from consummating the Arrangement, and such Law has, if applicable, become final and non-appealable, provided that the Party seeking to terminate the Arrangement Agreement has used its commercially reasonable efforts, to, as applicable, prevent, appeal or overturn such Law or otherwise have it lifted or rendered non-applicable in respect of the Arrangement; or

 

   

The Effective Time does not occur on or prior to the Outside Date, provided that a Party may not terminate the Arrangement Agreement if the failure of the Effective Time to so occur has been caused by, or is a result of, a breach by such Party of any of its representations or warranties or the failure of such Party to perform any of its covenants or agreements under the Arrangement Agreement.

 

   

Aptose if:

 

   

a breach of any representation or warranty or failure to perform any covenant or agreement on the part of the Parent or the Purchaser under the Arrangement Agreement occurs that would cause any condition in Section 6.3(1) [Representations

 

- 79 -


Table of Contents
 

and Warranties of the Parent and the Purchaser] or Section 6.3(2) [Performance of Covenants by the Parent and the Purchaser] of the Arrangement Agreement not to be satisfied, and such breach or failure is incapable of being cured or is not cured in accordance with the terms of Section 4.8(3) of the Arrangement Agreement provided that any Willful Breach shall be deemed to be incapable of being cured and the Corporation is not then in breach of the Arrangement Agreement so as to directly or indirectly cause any condition in Section 6.2(1) [Representations and Warranties of the Corporation] or Section 6.2(2) [Performance of Covenants by the Corporation] not to be satisfied;

 

   

all of the conditions in Section 6.1 [Mutual Conditions Precedent] and Section 6.2 [Additional Conditions Precedent to the Obligations of the Purchaser] of the Arrangement Agreement are and continue to be satisfied or waived by the applicable Party or Parties at the time the Closing is required to occur pursuant to Section 2.9, the Corporation has irrevocably confirmed to the Purchaser in writing that it is ready, willing and able to consummate the Closing, and the Purchaser does not provide, or cause to be provided, the Depositary with sufficient funds to complete the transactions contemplated by the Arrangement Agreement as required by Section 2.10 within five (5) Business Days after the first date upon which Closing should have occurred pursuant to Section 2.9; or

 

   

prior to the approval by the Shareholders of the Arrangement Resolution, the Board authorizes the Corporation to enter into a written agreement (other than a confidentiality agreement permitted by and in accordance with Section 5.3 of the Arrangement Agreement) with respect to a Superior Proposal in accordance with Section 5.4 of the Arrangement Agreement, provided the Corporation is then in compliance with Article 5 of the Arrangement Agreement and that prior to or concurrent with such termination the Corporation pays the Corporation Expense Fee in accordance with Section 8.2 of the Arrangement Agreement;

 

   

the Parent or the Purchaser if:

 

   

a breach of any representation or warranty or failure to perform any covenant or agreement on the part of the Corporation under the Arrangement Agreement occurs that would cause any condition in Section 6.2(1) [Representations and Warranties of the Corporation] or Section 6.2(2) [Performance of Covenants by the Corporation] of the Arrangement Agreement not to be satisfied, and such breach or failure is incapable of being cured or is not cured in accordance with the terms of Section 4.8(3) of the Arrangement Agreement; provided that any Willful Breach shall be deemed to be incapable of being cured and each of the Parent and the Purchaser is not then in breach of the Arrangement Agreement so as to directly or indirectly cause any condition in Section 6.3(1) [Representations and Warranties of the Purchaser] or Section 6.3(2) [Performance of Covenants by the Purchaser] of the Arrangement Agreement not to be satisfied;

 

   

Prior to the approval by the Shareholders of the Arrangement Resolution, (A) the Board or the Transaction Committee fails to unanimously recommend or withdraws, amends, modifies or qualifies (in the case of an amendment, modification or qualification, in a manner adverse to the Purchaser), the Board Recommendation or

 

- 80 -


Table of Contents
 

publicly proposes or states its intention to do any of the foregoing, (B) the Board or the Transaction Committee accepts, approves, endorses or recommends, or publicly proposes to accept, approve, endorse or recommend an Acquisition Proposal or takes no position or remains neutral with respect to a publicly announced, or otherwise publicly disclosed, Acquisition Proposal for more than five (5) Business Days (or beyond the third (3rd) Business Day prior to the date of the Meeting, if sooner), (C) the Board or the Transaction Committee fails to publicly reaffirm the Board Recommendation within five (5) Business Days after having been requested in writing by the Purchaser to do so (or in the event that the Meeting is scheduled to occur within such five (5) Business Day period, prior to the third (3rd) Business Day prior to the date of the Meeting) (in each of the cases set forth in clause (A), (B) or (C), a “Change in Recommendation”), or (D) the Corporation accepts or enters into, or publicly proposes to accept or enter into, any Contract, letter of intent, term sheet, understanding or arrangement (in each case, whether or not legally binding) or similar document with any Person in respect of an Acquisition Proposal (other than a confidentiality and standstill agreement permitted by and in accordance with Section 5.3 of the Arrangement Agreement) or the Corporation breaches Article 5 of the Arrangement Agreement in any material respect;

 

   

The condition set forth in Section 6.2(3) is not capable of being satisfied by the Outside Date;

 

   

There has occurred a Material Adverse Effect which is incapable of being cured on or prior to the Outside Date;

 

   

The condition set forth in Section 6.2(7) is not capable of being satisfied by the Outside Date.

Expense Fee

In the event (i) a Change in Recommendation, (ii) a Superior Proposal or (iii) the Purchaser not being satisfied, in its sole discretion, with the implementation of actions taken or to be taken by the Corporation in connection with the matters set forth in Section 6.2(7) of the Corporation Disclosure Letter relating to certain Employee Plans of the Corporation, results in the termination of the Arrangement Agreement, Aptose shall be required to pay an Expense Fee of C$300,000.

Fees and Expenses

Except as otherwise specifically provided for in the Arrangement Agreement, all out-of-pocket third party expenses incurred in connection with the Arrangement, the Arrangement Agreement or the transactions contemplated thereby, including all costs, expenses and fees of the Corporation incurred prior to or after the Effective Time in connection with, or incidental to, the Plan of Arrangement, shall be paid by the Party incurring such expenses, whether or not the Arrangement is consummated.

Governing Law

The Arrangement Agreement is governed by and will be interpreted and construed in accordance with the laws of the Province of Ontario and the federal laws of Canada applicable therein.

 

- 81 -


Table of Contents

Support and Voting Agreements

On November 18, 2025, in connection with the execution of the Arrangement Agreement, the Supporting Shareholders entered into Support and Voting Agreements with the Purchaser. Under the terms of the Support and Voting Agreements, the Supporting Shareholders have agreed, among other things, to vote their Shares in favour of the approval and authorization of the Arrangement Resolution and the Continuance Resolution at the Meeting and, subject to certain exceptions, not to transfer any of their Shares. As of November 18, 2025, the date of the Arrangement Agreement, the Supporting Shareholders beneficially owned an aggregate of approximately 0.26% of the outstanding Shares entitled to vote at the Meeting. The Support and Voting Agreements will terminate upon termination of the Arrangement Agreement and certain other specified events.

 

- 82 -


Table of Contents

PROVISIONS FOR UNAFFILIATED SHAREHOLDERS

No provision has been made (1) to grant the Corporation’s unaffiliated security holders access to the corporate files of the Corporation, any other party to the arrangement or any of their respective affiliates, or (2) to obtain counsel or appraisal services at the expense of the Corporation or any other such party or affiliate.

 

- 83 -


Table of Contents

IMPORTANT INFORMATION REGARDING THE CORPORATION

Market Price Of And Dividends On The Corporation’s Shares And Related Stockholder Matters

We have not paid dividends on our Shares in the last two years. We intend to retain earnings for use in the operation and expansion of our business and therefore do not anticipate declaring cash dividends on our Shares in the foreseeable future. Any future determination to pay dividends on our Shares will be at the discretion of the Board and will be dependent upon then existing conditions, including our prospects, and such other factors, as the Board deems relevant.

Information regarding the beneficial ownership of our Shares by holders of more than 5%, our directors and all directors and executive officers as a group is set forth in this proxy statement and is incorporated herein by reference.

Trading in the Common Shares

The Shares are traded on the TSX under the trading symbol “APS”. On April 2, 2025, the Shares were delisted from the Nasdaq Capital Market, which traded under the trading symbol “APTO” until April 1, 2025, at the close of market. The high and low sales prices and the volume traded of our Shares as reported on the TSX are set out below:

 

            High            Low          Average Daily
          (C$)        (C$)         Trading Volume 
             

YEAR ENDED DECEMBER 31, 2025

          12.60           1.02           472
             

First quarter

          12.60           3.57           2,168
             

Second quarter

          5.80           1.02           7,66
             

Third quarter

          2.59           1.11           4,603
             

Fourth quarter

          2.44           1.50           5,836
             

YEAR ENDED DECEMBER 31, 2024

          104.40           5.70           472
             

First quarter

          104.40           55.50           198
             

Second quarter

          69.90           30.00           348
             

Third quarter

          33.00           13.65           286
             

Fourth quarter

          17.40           5.70           1,053

Prior Public Offerings

On January 25, 2024, Aptose entered into an Underwriting Agreement (the “Underwriting Agreement”) with Newbridge Securities Corporation, as Underwriter, pursuant to which it agreed to issue and sell 4,912,280 Shares and 4,912,280 Warrants to acquire Shares at a combined public offering price of $1.71 per Share and Warrant (the “Offering”). Each Warrant was exercisable to purchase one Share at a price of $1.71 per Share. Each Warrant was exercisable at any time following the closing of the Offering up to 5 years following such date. Aptose received approximately $9.0 million in net proceeds from the Offering (including the option to purchase additional Shares), after deducting underwriting discounts and commissions but before deducting estimated offering expenses.

 

- 84 -


Table of Contents

Concurrent Private Placement

On January 31, 2024, the Corporation closed of the previously announced $4 million private placement of Shares with the Parent. Under the terms of the strategic investment, the Parent purchased each Share at a price of $1.90 per Share. Aptose also issued the Parent warrants to purchase Shares at an exercise price of $1.71 per Share.

Loan Facility

On August 27, 2024, the Corporation entered into the Facility Agreement with the Parent, as lender (the “Lender”) pursuant to which the Lender agreed to lend to the Corporation up to $10,000,000 (the “Loan”). The Loan is secured and repayable by the Corporation in full on January 31, 2027 (the “Maturity Date”), and may be prepaid without penalty at any time. The Loan bears interest at six percent per annum, payable in arrears every three months beginning on September 30, 2024 until the Maturity Date.

Debt Conversion Agreement

On March 18, 2025, the Corporation entered into the Debt Conversion and Interest Payment Agreement with the Parent pursuant to which the Corporation and the Parent agreed to convert $1,513,533.10 of the amount due by the Corporation to the Parent pursuant to the Facility Agreement (the “Indebtedness Amount”), into 409,063 Shares (the “Conversion Shares”) at $3.70 per Share which was the average closing price of the Corporation’s Shares on Nasdaq for the five trading days immediately prior to entering into the Debt Conversion Agreement which such price being equal to Nasdaq’s “Minimum Price” as defined in Nasdaq’s Listing Rule 5635(d). The Corporation and the Parent agreed that without prejudice with respect to interest payments owed to the Parent as set forth in the Facility Agreement for the period commencing on December 21, 2024 and ending on March 31, 2025 (the “Interest Payments”) that the Interest Payments may be made on before the final closing date of the Capital Raise (as defined in the Debt Conversion Agreement) and shall not be considered an event of default under the Facility Agreement is such interest payments are made no later than June 27, 2025. The Debt Conversion Agreement reiterated that failure to pay the Interest Payments would constitute an event of default under the Facility Agreement.

The Debt Conversion Agreement also provides that additional conversions of Indebtedness Amount will be available in the Parent’s discretion after the completion of the Capital Raise subject to certain additional conditions, including, but not limited to, the Parent’s ownership threshold not exceeding 19.99%.

Investor’s Rights Agreement

In connection with the Debt Conversion Agreement, the Corporation and the Parent entered into a Second Amended and Restated Investor’s Rights Agreement (the “Investor Rights Agreement”), which amends and restates the Amended and Restated Investor’s Rights Agreement entered by the parties on January 25, 2024. The Investor Rights Agreement provides, among other things, that the Parent shall benefit from Rule 144 of the U.S. Securities Act of 1933, as amended (“Rule 144”), such as receiving from the Corporation a written statement that it has complied with the requirements of Rule 144 and other such information that may be reasonably requested by Hanmi so that it may sell its securities pursuant to Rule 144 without registration. So long as the Parent owns at least 10% of the Corporation’s issued and outstanding Shares, Hanmi will have the right to designate for employment

 

- 85 -


Table of Contents

one or more individuals that are legally able to work in the United States or Canada (each, an “Hanmi Nominee”) to a position or positions within the Corporation in applicable areas based on each Hanmi Nominee’s skills, education and experience. The parties agreed that the Hanmi Nominee shall be subject to the Corporation’s usual employment rules, practices, policies, evaluation procedures, as amended from time to time and the Corporation shall retain the right, in its sole discretion, to terminate such Hanmi Nominee’s appointment with the Corporation for violations of the Corporation’s employment rules, practices, policies and procedures. The parties also agreed that the Hanmi Nominee shall be entitled to salary, bonus, vacation, incentive payments and bonuses, expenses, allowances and any applicable benefits in amounts and to the extent consistent with employees of the Corporation serving or having recently served in a similar capacity with the Corporation with such amounts to be reimbursed to the Corporation by the Parent. In the event that a visa or other permit is required to be obtained to permit the Hanmi Nominee to work in the United States or Canada the parties agreed that the Corporation would use its commercially reasonable efforts to assist the Hanmi Nominee with obtaining such visa or permit. The parties agreed that upon the nomination of the Hanmi Nominee that the parties would enter into a separate service agreement to outline the specific terms and conditions of the Hanmi Nominee’s appointment.

The Investor Rights Agreement also provides for customary demand and piggyback registration rights to the Parent. Among other things, Hanmi is entitled to four (4) demand registrations where the Parent can require the Corporation to register on a registration statement the Shares it has received in prior issuances, including pursuant to the Debt Conversion Agreement, and Shares issuable upon the exercise of the warrants under which Hanmi is entitled to purchase up to an additional 77,972 Shares. The Parent was also granted piggyback registration rights where if the Corporation proposes to file a registration statement, the Parent, at the Corporation’s own cost and expense can have such Shares included on that registration statement on the same term and conditions as any similar securities of the Corporation. Further, upon the Parent’s request, the Corporation must provide inspection rights for the Parent to access the Corporation’s books and records, and to the Corporation’s management to the extent that such access to management does not materially interfere with the operations of the Corporation.

Loan Agreement

On June 20, 2025, the Corporation entered into a loan agreement (the “Loan Agreement”) with the Parent. The Loan Agreement is an uncommitted facility for up to $8.5 million (the “Facility”).

The Facility may be advanced in one or more (but not more than five (5) advances) until December 31, 2025. The Facility is a non-revolving facility, and amounts repaid thereunder may not be reborrowed. No single advance shall be for an amount in excess of $2,500,000.

The aggregate principal amount of all advances and all accrued and unpaid interest and fees together with all other obligations under the Loan Agreement will be repayable by the Corporation in full on August 31, 2028. Any unpaid principal amount with respect to each advance shall accrue interest a six percent (6%) per annum.

The proceeds from borrowings under the Loan Agreement will be used by the Corporation to fund its: (a) Tuspetinib (“TUS”) related business operations, (b) accounts payable with respect of the Corporation’s TUS related business operations, and (c) general corporate purposes reasonably related to the Corporation’s TUS related business operations, in each case, unless the Corporation has obtained the prior written approval of the Parent.

 

- 86 -


Table of Contents

The Loan Agreement also contains customary affirmative and negative covenants with respect to the Corporation, including, among other things, compliance with laws, no change of business, no merger and maintenance of corporate existence, maintenance of insurance, restrictions on the incurrence of loans and guarantees, and other customary covenants. These covenants are subject to a number of limitations and exceptions as provided in the Loan Agreement.

The Corporation’s obligations under the Loan Agreement are secured by a first ranking security interest over all present and after acquired personal property of the Corporation and unlimited guarantees by, and first ranking security over all present and after acquired personal property of each of Aptose’s subsidiaries.

Additionally, the Loan Agreement contains customary events of default, insolvency, cessation of production, material adverse effect as well as remedies for credit facilities of this nature.

Amended And Restated Loan Agreement

On September 22, 2025, the Corporation entered into an amended and restated 2025 loan agreement (the “A&R Loan Agreement”) with the Parent. The A&R Loan Agreement is an uncommitted facility for up to $11.9 million (the “A&R Facility”).

The A&R Facility may be advanced in one or more (but not more than eight (8) advances) until December 31, 2025. The A&R Facility is a non-revolving facility, and amounts repaid thereunder may not be reborrowed. No single advance shall be for an amount in excess of $2,000,000.

The aggregate principal amount of all advances and all accrued and unpaid interest and fees together with all other obligations under the A&R Loan Agreement will be repayable by the Corporation in full on August 31, 2028. Any unpaid principal amount with respect to each advance shall accrue interest a six percent (6%) per annum.

The proceeds from borrowings under the A&R Loan Agreement will be used by the Corporation to fund its: (a) TUS related business operations, (b) accounts payable with respect of the Corporation’s TUS related business operations, and (c) general corporate purposes reasonably related to the Corporation’s TUS related business operations, in each case, unless the Corporation has obtained the prior written approval of the Parent.

The A&R Loan Agreement also contains customary affirmative and negative covenants with respect to the Corporation, including, among other things, compliance with laws, no change of business, no merger and maintenance of corporate existence, maintenance of insurance, restrictions on the incurrence of loans and guarantees, and other customary covenants. These covenants are subject to a number of limitations and exceptions as provided in the A&R Loan Agreement.

The Corporation’s obligations under the A&R Loan Agreement are secured by a first ranking security interest over all present and after acquired personal property of the Corporation and unlimited guarantees by, and first ranking security over all present and after acquired personal property of each of Aptose’s subsidiaries.

Book Value Per Share

The net book value per Share as of September 30, 2025, was approximately $(7.62) (calculated based on 2,552,429 Shares issued and outstanding as of September 30, 2025).

 

- 87 -


Table of Contents

The current shareholders own approximately 100% of the equity of the Corporation as of the Record Date, which is approximately $(19,450,000) of the shareholders’ equity of the Corporation as of September 30, 2025. The Parent owns approximately 508,710 of the equity of the Corporation as of the Record Date, which is approximately $(3,876,468) of the shareholders’ equity as of September 30, 2025.

Prior Stock Purchases

Neither the Parent nor its affiliates have purchased shares of the Corporation’s common stock during the past two years, except as disclosed herein.

Concurrently with the January 2024 public offering, the Corporation completed a private placement with the Parent (the “Hanmi Private Placement”) of 70,175 common shares at a price of $57.00 per share, representing an 11% premium over the price of the common shares issued as part of the January 2024 Public Offering, for gross proceeds of $4.0 million, less cash transaction costs of $0.3 million. In connection with the Hanmi Private Placement, the Corporation issued to the Parent, common share purchase warrants exercisable for 77,972 common shares (the “Hanmi Warrants”). Each Hanmi Warrant has an exercise price of $51.30 per share and was exercisable immediately upon issuance. The Hanmi Warrants are set to expire on January 31, 2029.

On March 18, 2025, pursuant to a Debt Conversion and Interest Payment Agreement between the Corporation and the Parent, the parties agreed to convert outstanding indebtedness and accrued interest in the aggregate amount of $1,513,533.10 into 409,063 Shares, at price of $3.70 per Share.

Directors and Executive Officers of the Corporation

The (a) name; (b) business address and business telephone number; (c) current principal occupation or employment and the name, principal business, and address of any corporation or other organization in which the employment or operation is conducted; (d) material occupations, positions, offices, or employment during the past 5 years, and the name, principal business, and address of any corporation or other organization in which the occupation, position, office, or employment was carried on; (e) statement whether or not the person was convicted in a criminal proceeding during the past 5 years (excluding traffic violations or similar misdemeanors); (f) statement whether or not the person was a party to any judicial or administrative proceeding during the past 5 years (except for matters that were dismissed without sanction or settlement) that resulted in a judgment, decree, or final order enjoining the person from future violations of, or prohibiting activities subject to, federal or state securities laws, or a finding of any violation of federal or state securities laws; and (g) citizenship of each of the executive officers and directors of the Corporation are set forth below.

The business address for each of the directors and executive officers of the Corporation is c/o Aptose Biosciences Inc., Suite 120, 12770 High Bluff Drive, San Diego, California, 92130.

To the Corporation’s knowledge, none of the executive officers and directors of the Corporation listed in this Proxy Statement have been convicted in a criminal proceeding or found in violation of securities laws in any judicial or administrative proceeding during the past 5 years. Information on the beneficial ownership of Shares of the Corporation by the executive officers and directors of the Corporation is set out under “Share Ownership of Certain Beneficial Owners, Management and Directors”.

 

- 88 -


Table of Contents
   
Name and Citizenship    Title and Occupation
   

Dr. William G. Rice, Ph.D.

United States of America

  

President, Chief Executive Officer and Chairman of the Board

 

Employment History:

 

Aptose Biosciences Inc.; October 2013 – Present; Suite 120, 12770 High Bluff Drive, San Diego, California, 92130

   

Fletcher Payne

United States of America

  

Senior Vice President, Chief Business Officer and Chief Financial Officer

 

Employment History:

 

Aptose Biosciences Inc.; June 2021 – Present; Suite 120, 12770 High Bluff Drive, San Diego, California, 92130

 

Synapse Inc.; September 2019 – June 2021; 303 2nd St, North Tower, Suite 500, San Francisco, California, 94107

   

Dr. Rafael Bejar, M.D., Ph.D.

United States of America

  

Senior Vice President and Chief Medical Officer

 

Employment History:

 

Aptose Biosciences Inc.; October 2013 – Present; Suite 120, 12770 High Bluff Drive, San Diego, California, 92130

   

Dr. Denis Burger

United States of America

  

Director

 

Employment History

 

Corporate director; May 2019 – Present

   

Dr. Erich Platzer

Switzerland

  

Director

 

Employment History

 

PlatzerInvest AG; March 2010 – Present; Sevogelstrasse 100, CH-4052 Basel, Switzerland

   

Dr. Bernd R. Seizinger

Germany

  

Director

 

Employment History

 

Corporate director; May 2014 - Present

   

Dr. Mark D. Vincent

Canada; United Kingdom

  

Director

 

Employment History

 

Cancer Care Ontario; September 1990 – Present; 620 University Avenue, Toronto, Ontario, M5G 2C1

   

Warren Whitehead

Canada

  

Director

 

Employment History

 

Satellos Bioscience Inc.; August 2021 – Present; Royal Bank Plaza, South Tower, 200 Bay Street, Suite 2800, Toronto, Ontario, M5J 2J3

 

Corporate director; August 2015 – August 2021

 

- 89 -


Table of Contents

IMPORTANT INFORMATION REGARDING THE PURCHASER AND THE PARENT

Hanmi Science

Hanmi Science Co., Ltd (“Hanmi Science”) is the parent entity of the Parent and, through its ownership of the Parent, may be deemed to control the Parent and, indirectly, the Purchaser. The current business address of Hanmi Science is 14, Wiryeseong-daero, Songpa-gu, Seoul, 05545, Korea, and its telephone number is +82 2 410 0391.

Parent

The Parent is a corporation organized under the laws of the Republic of Korea and is an R&D-oriented biopharmaceutical company. The Parent is a significant shareholder of the Corporation, is a party to the Arrangement Agreement pursuant to which an indirect, wholly owned subsidiary will acquire all outstanding Shares (other than Excluded Shares), and controls the Purchaser. The current business address of the Parent is 14, Wiryeseong-daero, Songpa-gu, Seoul, 05545, Korea, and its telephone number is +82 2 410 0391.

Purchaser

The Purchaser is a corporation organized under the ABCA and a direct, wholly owned subsidiary of the Parent. Purchaser was formed solely for the purpose of entering into the Arrangement Agreement and effecting the transactions contemplated thereby and has not carried on any business other than in connection with the Arrangement. The current business address of the Purchaser is 14, Wiryeseong-daero, Songpa-gu, Seoul, 05545, Korea and telephone number is +82 2 410 0391.

To Hanmi Science, Purchaser and Parent’s knowledge, the beneficial ownership of Shares of each, if any, is set out under “Share Ownership of Certain Beneficial Owners, Management and Directors”.

Directors And Executive Officers of Hanmi Science, Parent And Purchaser

The (a) name; (b) business address and business telephone number; (c) current principal occupation or employment and the name, principal business, and address of any corporation or other organization in which the employment or operation is conducted; (d) material occupations, positions, offices, or employment during the past 5 years, and the name, principal business, and address of any corporation or other organization in which the occupation, position, office, or employment was carried on; (e) statement whether or not the person was convicted in a criminal proceeding during the past 5 years (excluding traffic violations or similar misdemeanors); (f) statement whether or not the person was a party to any judicial or administrative proceeding during the past 5 years (except for matters that were dismissed without sanction or settlement) that resulted in a judgment, decree, or final order enjoining the person from future violations of, or prohibiting activities subject to, federal or state securities laws, or a finding of any violation of federal or state securities laws; and (g) citizenship of each of the executive officers and directors of Hanmi Science, Purchaser and Parent are set forth below.

The business address for each of the directors and executive officers of Hanmi Science, Purchaser and Parent is c/o Hanmi Science Co. Ltd., 14 Wiryeseong-daero, Songpa-gu, Seoul, 05545, Republic of Korea, +82 2 410 0391.

 

- 90 -


Table of Contents

To Hanmi Science, Purchaser and Parent’s knowledge, all directors and officers listed in this Proxy Statement are Korean citizens. To Hanmi Science, Purchaser and Parent’s knowledge, none of the executive officers and directors listed in this Proxy Statement have been convicted in a criminal proceeding or found in violation of securities laws in any judicial or administrative proceeding during the past 5 years. To Hanmi Science, Purchaser and Parent’s knowledge, none of the directors and officers listed in this Proxy Statement beneficially own Shares of the Corporation.

Hanmi Science

 

   
Name    Title and Occupation
   

Kim, Jae Kyo

  

Director & Chief Executive Officer

 

Employment History:

 

Yuhan Corp.; November 1990 – March 2021; 74, Noryangjin-ro, Dongjak-gu, Seoul, 06927, Republic of Korea

 

Meritz Securities Co., Ltd; September 2021 – February 2025; Three IFC, 10 Gukjegeumyung-ro, Yeongdeungpo-gu, Seoul 07326, Republic of Korea

 

Hanmi Science Co. Ltd.; March 2025 – Present; 14 Wiryeseong-daero, Songpa-gu, Seoul, 05545, Republic of Korea

   

Lim, Ju Hyun

  

Vice Chairperson

 

Employment History:

 

Hanmi Pharmaceuticals Co. Ltd., June 2004 – Present; 14 Wiryeseong-daero, Songpa-gu, Seoul, 05545, Republic of Korea

 

Hanmi Science Co. Ltd.; October 2020 – Present; 14 Wiryeseong-daero, Songpa-gu, Seoul, 05545, Republic of Korea

   

Lim, Jong Hoon

  

Director & President

 

Employment History:

 

Hanmi Pharmaceuticals Co. Ltd.; March 2002 – Present; 14 Wiryeseong-daero, Songpa-gu, Seoul, 05545, Republic of Korea

 

Hanmi Healthcare Co. Ltd., June 2006 – October 2022; 14 Wiryeseong-daero, Songpa-gu, Seoul, 05545, Republic of Korea

 

Hanmi Science Co. Ltd.; November 2022 – March 2023, March 2024 – Present; 14 Wiryeseong-daero, Songpa-gu, Seoul, 05545, Republic of Korea

   

Shim, Byung Hwa

  

Director & Vice President

 

Employment History:

 

Samsung Biologics Co., Ltd.; March 2011 – February 2025; 300, Songdo Bio-Daero, Yeonsu-Gu, Incheon 21987, Republic of Korea

 

Hanmi Science Co. Ltd.; March 2025 – Present; 14 Wiryeseong-daero, Songpa-gu, Seoul, 05545, Republic of Korea

 

- 91 -


Table of Contents
   
Name    Title and Occupation
    

HS North America Ltd.; November 2025 – Present; 14 Wiryeseong-daero, Songpa-gu, Seoul, 05545, Republic of Korea

   

Kim, Seonghoon

  

Director & Division Head

 

Employment History:

 

Samsung Electronics Co. Ltd., January 2005 – April 2022, 129, Samsung-ro, Yeongtong-gu, Suwon-si, Gyeonggi-do, Republic of Korea

 

Hanmi Science Co. Ltd.; April 2022 – April 2024, March 2025 – Present; 14 Wiryeseong-daero, Songpa-gu, Seoul, 05545, Republic of Korea

   

Choi, Hyun-man

  

Director

 

Employment History:

 

Mirae Asset Securities Co. Ltd.; 2021 – 2023; Mirae Asset Center 1 Bldg., 26, Eulji-Ro 5-Gil, Jung-Gu, Seoul, 04539, Republic of Korea

   

Kim, Young-hoon

  

Director

 

Employment History:

 

Seoul High Court; February 2017 – February 2025; 217, Seocho-daero, Seocho-gu, Seoul, 06590, Republic of Korea

 

Lin LLC; February 2025 – Present; 10, Seochojungang-ro 24-gil, Seocho-gu, Seoul, Republic of Korea

   

Shin, Yong-Sam

  

Director

 

Employment History:

 

Seoul St. Mary’s Hospital, The Catholic University of Korea; 2014 – Present; 222 Banpo-daero, Seocho-gu, Seoul, Republic of Korea

   

Bae, Bo Kyung

  

Director

 

Employment History:

 

Institute of Global Management; April 2012 – Present; 11-16, Jangchungdan-ro 8-gil, Jung-gu, Seoul, Republic of Korea

 

Korea University; March 2019 – Present; 145 Anam-ro, Seongbuk-gu, Seoul 02841, Republic of Korea

   

Shin, Dong Guk

  

Director

 

Employment History:

 

Hanyang Precision Co., Ltd.; 140, Hwanggeum-ro 89beon-gil, Yangchon-eup, Gimpo-si, Gyeonggi-do, 10048, Republic of Korea

 

- 92 -


Table of Contents
   
Name    Title and Occupation
   

Song, Young Sook

  

Chairperson

 

Employment History:

 

Hanmi Pharmaceuticals Co. Ltd., November 2017 – Present; 14 Wiryeseong-daero, Songpa-gu, Seoul, 05545, Republic of Korea

 

Hanmi Science Co. Ltd.; August 2020 – Present; 14 Wiryeseong-daero, Songpa-gu, Seoul, 05545, Republic of Korea

   

Ra, Min Soo

  

Head of Factory

 

Employment History:

 

Hanmi Healthcare Co. Ltd., October 2003 – October 2022; 14 Wiryeseong-daero, Songpa-gu, Seoul, 05545, Republic of Korea

 

Hanmi Science Co. Ltd.; November 2022 –Present; 14 Wiryeseong-daero, Songpa-gu, Seoul, 05545, Republic of Korea

   

Shin, Jun Sup

  

Division Head

 

Employment History:

 

Hanmi Healthcare Co. Ltd., January 2010 – October 2022; 14 Wiryeseong-daero, Songpa-gu, Seoul, 05545, Republic of Korea

 

Hanmi Science Co. Ltd.; November 2022 –Present; 14 Wiryeseong-daero, Songpa-gu, Seoul, 05545, Republic of Korea

   

Jeong, Dae Su

  

Division Head

 

Employment History:

 

Hanmi Healthcare Co. Ltd., July 2010 – October 2022; 14 Wiryeseong-daero, Songpa-gu, Seoul, 05545, Republic of Korea

 

Hanmi Science Co. Ltd.; November 2022 – Present; 14 Wiryeseong-daero, Songpa-gu, Seoul, 05545, Republic of Korea

   

Jeong, Won Hwa

  

Division Head

 

Employment History:

 

Seoul F&B Co. Ltd.; March 2020 – September 2024; 36 Gonggeun-myeon, Hoengseong-gun Gangwon-do 25209, Republic of Korea

 

Hanmi Science Co. Ltd.; September 2024 –Present; 14 Wiryeseong-daero, Songpa-gu, Seoul, 05545, Republic of Korea

   

Kwon, Soon Gi

  

Department Head

 

Employment History:

 

J&P Law; September 2019 – June 2022

 

Hanmi Science Co. Ltd.; August 2022 – April 2024; 14 Wiryeseong-daero, Songpa-gu, Seoul, 05545, Republic of Korea

 

- 93 -


Table of Contents
   
Name    Title and Occupation
    

 

Hanmi Pharmaceuticals Co. Ltd.; August 2024 – March 2025; 14 Wiryeseong-daero, Songpa-gu, Seoul, 05545, Republic of Korea

 

Hanmi Science Co. Ltd.; April 2025 – Present; 14 Wiryeseong-daero, Songpa-gu, Seoul, 05545, Republic of Korea

   

Han, Seung Woo

  

Department Head

 

Employment History:

 

Hanmi Pharmaceuticals Co. Ltd.; February 2017– December 2023; 14 Wiryeseong-daero, Songpa-gu, Seoul, 05545, Republic of Korea

 

Hanmi Science Co. Ltd.; January 2024 – March 2024; 14 Wiryeseong-daero, Songpa-gu, Seoul, 05545, Republic of Korea

 

Hanmi Pharmaceuticals Co. Ltd.; April 2024 – March 2025; 14 Wiryeseong-daero, Songpa-gu, Seoul, 05545, Republic of Korea

 

Hanmi Science Co. Ltd.; April 2025 – Present; 14 Wiryeseong-daero, Songpa-gu, Seoul, 05545, Republic of Korea

Parent

 

   
Name   

Title and Occupation

(all have served five years or more in present position

unless otherwise noted)

   

Park, Jae Hyun

  

Director & Chief Executive Officer

   

Lim, Jong Hoon

  

Director & President

 

Employment History:

 

Hanmi Pharmaceuticals Co. Ltd.; March 2002 – Present; 14 Wiryeseong-daero, Songpa-gu, Seoul, 05545, Republic of Korea

 

Hanmi Healthcare Co. Ltd., June 2006 – October 2022; 14 Wiryeseong-daero, Songpa-gu, Seoul, 05545, Republic of Korea

 

Hanmi Science Co. Ltd.; November 2022 – March 2023, March 2024 – Present; 14 Wiryeseong-daero, Songpa-gu, Seoul, 05545, Republic of Korea

   

Park, Myoung Hee

  

Director & Division Head

   

Choi, In Young

  

Director & Division Head

 

- 94 -


Table of Contents
   
Name   

Title and Occupation

(all have served five years or more in present position

unless otherwise noted)

   

Shin, Dong Guk

  

Director

 

Employment History:

 

Hanyang Precision Co., Ltd.; 140, Hwanggeum-ro 89beon-gil, Yangchon-eup, Gimpo-si, Gyeonggi-do, 10048, Republic of Korea

   

Kim, Jae Kyo

  

Director

 

Employment History:

 

Yuhan Corp.; November 1990 – March 2021; 74, Noryangjin-ro, Dongjak-gu, Seoul, 06927, Republic of Korea

 

Meritz Securities Co., Ltd; September 2021 – February 2025; Three IFC, 10 Gukjegeumyung-ro, Yeongdeungpo-gu, Seoul 07326, Republic of Korea

 

Hanmi Science Co. Ltd.; March 2025 – Present; 14 Wiryeseong-daero, Songpa-gu, Seoul, 05545, Republic of Korea

   

Yoon, Do Heum

  

Director

 

Employment History:

 

Cha University, Bundang Medical Center; 2021 – Present; 59 Yatap-ro, Bundang-gu, Seongnam-si, Gyeonggi-do, Republic of Korea

   

Yun, Young Gak

  

Director

 

Employment History:

 

Pavilion Global Holdings Corp.; 15th floor, Building A, 6 Yulgok-ro, Jongno-gu, Seoul, Republic of Korea

   

Kim, Tae Yun

  

Director

 

Employment History:

 

Hanyang University; 222 Wangsimni-ro, Seongdong-gu, Seoul, Republic of Korea

   

Lee, Young Ku

  

Director

 

Employment History:

 

D&A LLC; 2023 – Present; Donghoon Tower, 317, Teheran-ro, Gangnam-gu, 7-16, 19F, Seoul, 06151, Republic of Korea

 

Shin & Kim; 2008 – 2022; 23rd Floor, D-Tower (D2), 17 Jongno 3-gil, Jongno-gu, Seoul 03155, Republic of Korea

 

- 95 -


Table of Contents
   
Name   

Title and Occupation

(all have served five years or more in present position

unless otherwise noted)

   

Song, Young Sook

  

Chairperson

 

Employment History:

 

Hanmi Pharmaceuticals Co. Ltd., November 2017 – Present; 14 Wiryeseong-daero, Songpa-gu, Seoul, 05545, Republic of Korea

 

Hanmi Science Co. Ltd.; August 2020 – Present; 14 Wiryeseong-daero, Songpa-gu, Seoul, 05545, Republic of Korea

   

Lim, Ju Hyun

  

Vice Chairperson

 

Employment History:

 

Hanmi Pharmaceuticals Co. Ltd., June 2004 – Present; 14 Wiryeseong-daero, Songpa-gu, Seoul, 05545, Republic of Korea

 

Hanmi Science Co. Ltd.; October 2020 – Present; 14 Wiryeseong-daero, Songpa-gu, Seoul, 05545, Republic of Korea

   

Kim, Na Young

  

Division Head

   

Shin, Seong Jae

  

Division Head

 

Employment History:

 

Hanmi Science Co. Ltd.; October 2023 – December 2024; 14 Wiryeseong-daero, Songpa-gu, Seoul, 05545, Republic of Korea

 

Hanmi Pharmaceuticals Co. Ltd., January 2025 – Present; 14 Wiryeseong-daero, Songpa-gu, Seoul, 05545, Republic of Korea

   

Kim, Se Kweon

  

Division Head

   

Kim, Byung Hoo

  

Division Head

Purchaser

 

   
Name    Title and Occupation
   

Kim, Seonghoon

  

Director & Chief Executive Officer

 

Employment History:

 

Samsung Electronics Co. Ltd., January 2005 – April 2022, 129, Samsung-ro, Yeongtong-gu, Suwon-si, Gyeonggi-do, Republic of Korea

 

Hanmi Science Co. Ltd.; April 2022 – April 2024, March 2025 – Present; 14 Wiryeseong-daero, Songpa-gu, Seoul, 05545, Republic of Korea

 

- 96 -


Table of Contents

PRINCIPAL LEGAL MATTERS

Court Approval and Completion of the Arrangement

An arrangement under the ABCA requires sanction by the Court. On December 12, 2025, the Corporation obtained the Interim Order providing for the calling and holding of the Meeting and other procedural matters. A copy of the Interim Order and the Notice of Application for the Final Order are attached to this Proxy Statement as Appendix G and Appendix H, respectively.

If the Arrangement Resolution is approved by Shareholders at the Meeting in the manner required by the Interim Order, the Corporation will apply to the Court to obtain the Final Order. The hearing in respect of the Final Order is scheduled to be held virtually at ● on ●, 2026, at 3:00 p.m. (Calgary Time), or as soon after such time as counsel may be heard. Any Shareholders wishing to appear in person or to be represented by counsel at the hearing of the application for the Final Order may do so but must comply with certain procedural requirements described in the Notice of Application for the Final Order, including filing a notice of appearance with the Court and serving same upon the Corporation and the Purchaser via their respective counsel as soon as reasonably practicable and, in any event, no less than five Business Days before the hearing of the application for the Final Order (as it may be rescheduled from time to time).

The Court has broad discretion under the ABCA when making orders with respect to arrangements. The Court, when hearing the application for the Final Order, will consider, among other things, the fairness of the Arrangement to Shareholders. The Court may approve the Arrangement in any manner it may direct and determine appropriate.

Once the Final Order is granted on terms consistent with the Arrangement Agreement, and the other conditions contained in the Arrangement Agreement are satisfied or waived to the extent legally permissible, the Articles of Arrangement will be filed with the Registrar under the ABCA for issuance of the Certificate of Arrangement giving effect to the Arrangement.

Canadian Securities Law Matters

The Corporation is a reporting issuer in all provinces of Canada, and, accordingly, is subject to applicable Securities Laws in all such provinces, including MI 61-101.

MI 61-101 is intended to regulate certain transactions to ensure equality of treatment among security holders in transactions which raise the potential for conflicts of interest, generally requiring enhanced disclosure, approval by a majority of security holders (excluding interested or related parties and their joint actors), and, in certain instances, independent valuations and approval and oversight of the transaction by a Transaction Committee of independent directors. The protections afforded by MI 61-101 apply to a reporting issuer proposing to carry out, among other transactions, a “business combination” (as defined in MI 61-101).

A transaction is a “business combination” for purposes of MI 61-101 if the interests of holders of equity securities of an issuer may be terminated without their consent and, among other things, a “related party” (as defined in MI 61-101) at the time the transaction is agreed to (i) would, as a consequence of such transaction, directly or indirectly acquire the issuer or the business of the issuer, or combine with the issuer (through an amalgamation, arrangement or otherwise), whether alone or with joint actors, (ii) is entitled to receive, directly or indirectly, as a consequence of the transaction,

 

- 97 -


Table of Contents

consideration per equity security that is not identical in amount and form to the entitlement of the general body of holders in Canada of securities of the same class, or (iii) is entitled to receive, directly or indirectly, as a consequence of the transaction, a “collateral benefit” (as defined in MI 61-101).

As of the date of the Arrangement Agreement, to the knowledge of the Corporation, the Parent beneficially owned, directly or indirectly, or exercised control or direction over, 508,710 Shares in the aggregate, which represented approximately 19.93% of the issued and outstanding Shares and of the total votes attached to all classes of the Corporation’s voting shares, on an undiluted basis as of such date. The Purchaser is controlled by the Parent. As a result, each of the Parent and the Purchaser is a “related party” of the Corporation for the purposes of MI 61-101.

The Arrangement is a “business combination” for the purposes of MI 61-101 because, among other things, under the terms of the Arrangement, (i) the interests of holders of equity securities of the Corporation may be terminated without their consent, and (ii) each of the Purchaser and the Parent is a “related party” of the Corporation and as a consequence of the Arrangement, the Purchaser and the Parent will, directly or indirectly, own all of the issued and outstanding Shares following completion of the Arrangement.

Collateral Benefit

A “collateral benefit,” as defined under MI 61-101, includes any benefit that a “related party” of the Corporation, which includes the directors and “senior officers” (as defined under MI 61-101) of the Corporation, is entitled to receive, directly or indirectly, as a consequence of the Arrangement, including, without limitation, an increase in salary, a lump sum payment, a payment for surrendering securities, or other enhancement in benefits related to past or future services as an employee, director or consultant of the Corporation. MI 61-101 excludes from the meaning of “collateral benefit” certain benefits to a “related party” received solely in connection with the related party’s services as an employee, director or consultant of an issuer where, among other things, (a) the benefit is not conferred for the purpose, in whole or in part, of increasing the value of the consideration paid to the related party for securities relinquished under the transaction, (b) the conferring of the benefit is not, by its terms, conditional on the related party supporting the transaction in any manner, (c) full particulars of the benefit are disclosed in the disclosure document for the transaction, and (d)(i) at the time the transaction was agreed to, the related party and its associated entities beneficially own or exercise control or direction, over less than 1% of the outstanding shares of the issuer (the “1% Exemption”), or (ii) an independent committee, acting in good faith, determines that the value of the collateral benefit, net of any offsetting costs to the related party, is less than 5% of the value of the consideration the related party expects to receive under the terms of the transaction.

The Board has reviewed the benefits that its directors and senior officers may receive in connection with the Transaction. The Board has determined that no benefits were conferred to increase the consideration paid to any of its directors or senior officers nor as a condition of any such director or senior officer supporting the Transaction and that the Corporation’s non-executive directors are not otherwise entitled to receive any “collateral benefit” for the purposes of MI 61-101. The Board has determined that the senior officers of the Corporation each have existing employment agreements that provide for certain entitlements where the senior officer is terminated by the Corporation without cause or resigns for “good reason” within 3 months prior to or 12 months following a “change of control”. Subject to the terms of the retention bonus agreements, retention awards will be payable to certain of the Corporation’s senior officers in connection with the Transaction. As well, certain senior officers are also entitled to receive deferred 2024 bonus payments which will be payable in connection with the

 

- 98 -


Table of Contents

Transaction. To Corporation’s knowledge, no senior officer of the Corporation beneficially owned or exercised control or direction over 1% or more of the Shares at the time Transaction was agreed to and, accordingly, the benefits noted above do not constitute a “collateral benefit” for the purposes of MI 61-101 for any such senior officer as they each satisfy the requirements of the 1% Exemption. See “Interest of the Corporation’s Directors and Officers in the Arrangement” for further detail.

Minority Approval Requirements

MI 61-101 requires that, in addition to any other required security holder approval, a “business combination” must be subject to “minority approval” (as defined in MI 61-101) of every class of “affected securities” (as defined in MI 61-101) of the issuer, in each case voting separately as a class.

Consequently, the approval of the Arrangement Resolution will require the affirmative vote of a simple majority of the votes cast by all Shareholders virtually present or represented by proxy at the Meeting other than: (i) an “interested party” (as defined in MI 61-101); (ii) any “related party” (as defined in MI 61-101) of an “interested party,” unless the “related party” meets that description solely in its capacity as a director or senior officer of one or more persons that are neither an “interested party” nor “issuer insiders” of the Corporation; and (iii) any person that is a “joint actor” (as defined in MI 61-101) with any of the foregoing, voting separately as a class (collectively, the “Minority Shareholders”).

To the knowledge of the Corporation, the only holder of Shares that qualifies as an “interested party” or “related party” of an “interested party” is the Parent. Accordingly, any Shares held, directly or indirectly, by the Parent will be excluded from the vote of the Minority Shareholders. As of the Record Date, to the knowledge of the Corporation, the Parent beneficially owns or exercises control or direction over, directly or indirectly, an aggregate of 508,710 Shares, representing in the aggregate approximately 19.93% of the outstanding Shares, on an undiluted basis. For clarity, given the analysis set out above under “Collateral Benefit,” none of the Shares held by the directors or senior officers of the Corporation will be excluded in determining whether Minority Shareholder approval for the Arrangement is obtained. As such, to the knowledge of the Corporation, after reasonable inquiry, of the 2,552,429 Shares issued and outstanding as of the Record Date, 2,043,719 Shares can be voted in respect of the Minority Approval Vote.

Formal Valuation

MI 61-101 provides that, unless an exemption is available, a reporting issuer proposing to carry out a business combination is required to obtain a formal valuation of the “affected securities” (as defined in MI 61-101) from a qualified independent valuator and to provide the holders of such affected securities with a summary of such valuation. For the purposes of the Arrangement, the Shares are considered “affected securities” within the meaning of MI 61-101.

Credentials of Locust Walk

Locust Walk is a global investment banking firm with operations in a broad range of investment banking activities, including corporate finance, mergers and acquisitions, licensing, strategic advisory, and capital raising for life sciences companies. Locust Walk has participated in a significant number of transactions involving public and private companies and has extensive experience in preparing valuations and fairness opinions.

Independence of Locust Walk

The Transaction Committee determined that Locust Walk is independent of all Interested Parties (as defined below) in the Arrangement within the meaning of MI 61-101 and is an independent

 

- 99 -


Table of Contents

valuator (as defined for the purposes of MI 61-101), as required by MI 61-101, based in part, on representations made to it by Locust Walk.

Neither Locust Walk nor any of its affiliated entities (as such term is defined for the purposes of MI 61-101): (i) is an associated entity or affiliated entity or issuer insider (as such terms are defined in MI 61-101) of Aptose, the Parent, the Purchaser or any of their respective associated entities or affiliated entities or issuer insiders (each an “Interested Party,” and collectively, the “Interested Parties”); (ii) is an advisor to any of the Interested Parties in connection with the Arrangement other than to the Corporation and the Transaction Committee pursuant to an engagement letter and subsequent statements of work; (iii) is a manager or co-manager of a soliciting dealer group for the Arrangement (or a member of the soliciting dealer group for the Arrangement providing services beyond the customary soliciting dealer’s functions or receiving more than the per security or per security holder fees payable to the other members of the group); or (iv) has a material financial interest in the completion of the Arrangement.

During the 24 month period prior to the date on which Locust Walk was first contacted with respect to the Formal Valuation and the Fairness Opinion, and up until the date of the Formal Valuation and Fairness Opinion, Locust Walk and its affiliated entities have provided ordinary course financial advisory and investment banking services to Aptose and its affiliates. No services were provided to any other Interested Party during the aforementioned 24 month period.

The fees paid to Locust Walk are not, individually or in the aggregate, financially material to Locust Walk, and do not give Locust Walk any financial incentive in respect of the conclusions reached in the Formal Valuation and Fairness Opinion. Pursuant to the terms of the engagement letter with Locust Walk, as amended and the subsequent statements of work, Aptose has agreed to pay a work fee for the delivery of the Fairness Opinion (regardless of its conclusion) and a fixed fee for the delivery of the Formal Valuation, in each case, that is not contingent upon the completion of the Arrangement or any alternative transaction. There are otherwise no separate understandings or agreements between Locust Walk and the Interested Parties with respect to future financial advisory or investment banking business. Locust Walk and/or its affiliates may in the future, in the ordinary course of its business, perform financial advisory or investment banking services for the Interested Parties.

The Transaction Committee determined that Locust Walk was a qualified and independent valuator for purposes of MI 61-101. As a result, the Transaction Committee retained Locust Walk to provide it with a formal valuation of the Consideration in accordance with the requirements of MI 61-101. A copy of the Formal Valuation and Fairness Opinion prepared by Locust Walk is attached to this Proxy Statement as Appendix E.

Prior Valuations and Prior Offers

Locust Walk was retained by the Corporation to prepare a formal valuation for the Transaction Committee of the valuation of the Shares in connection with a potential transaction with the Parent. On July 21, 2025, Locust Walk presented the principal findings of the Prior Valuation as set out in Appendix F to this Proxy Statement. Locust Walk concluded that, based on and subject to the assumptions, limitations, and qualifications set forth in the Prior Valuation, the range of the fair market value of Aptose as of July 21, 2025, was in the range of USD $2,400,000 to $18,000,000. The Prior Valuation work was based on absolute value and was originally completed on an enterprise basis and did not incorporate per share and percentage premium analysis. The Formal Valuation, a copy of which is attached as Appendix E to this Proxy Statement, updates and supersedes the Prior Valuation. The

 

- 100 -


Table of Contents

Prior Valuation was rendered on the basis of securities markets, economic and general business and financial conditions prevailing as at the date of the Prior Valuation and the condition and prospects, financial and otherwise, of the Corporation, as they were reflected in the information provided to Locust Walk.

To the knowledge of the Corporation and its directors and officers, after reasonable enquiry, there have been no “prior valuations” (as defined in MI 61-101) prepared in respect of the Corporation within the 24 months prior to the date of this Proxy Statement other than the Prior Valuation. The Corporation has not received any bona fide prior offer during the 24 months before the date of the Arrangement Agreement that relates to the subject matter or is otherwise relevant to the Arrangement.

 

- 101 -


Table of Contents

CERTAIN CANADIAN FEDERAL INCOME TAX CONSIDERATIONS

The following is, at the date hereof, a summary of the principal Canadian federal income tax considerations under the Tax Act generally applicable to a beneficial owner of Shares who, for the purposes of the Tax Act, and at all relevant times, (i) holds Shares as capital property, (ii) deals at arm’s length with, and is not affiliated with, the Corporation, the Purchaser or any of their respective affiliates, and (iii) disposes of Shares under the Arrangement or in connection with the Continuance (a “Holder”).

Shares will generally be considered to be capital property to a Holder for purposes of the Tax Act provided the Holder does not hold the Shares in the course of carrying on a business and has not acquired them in one or more transactions considered to be an adventure or concern in the nature of trade.

This summary is based on the provisions of the Tax Act in force as of the date hereof and counsel’s understanding of the current administrative policies of the Canada Revenue Agency published in writing prior to the date hereof. This summary takes into account all specific proposals to amend the Tax Act publicly announced by or on behalf of the Minister of Finance (Canada) prior to the date hereof (the “Proposed Amendments”) and assumes that all Proposed Amendments will be enacted in the form proposed. However, no assurances can be given that the Proposed Amendments will be enacted as proposed, or at all. Other than the Proposed Amendments, this summary does not take into account or anticipate any changes in law or administrative policy whether by legislative, regulatory, administrative or judicial action or decision nor does it take into account tax legislation or considerations of any province, territory or foreign jurisdiction, which may differ significantly from those discussed herein.

This summary is not applicable to a Holder: (i) that is a “financial institution” (as defined in the Tax Act, including for the purpose of the mark-to-market rules); (ii) that is a “specified financial institution,” (as defined in the Tax Act); (iii) an interest in which would be a “tax shelter investment” (as defined in the Tax Act); (iv) that has elected or elects under the functional currency rules in the Tax Act to report its “Canadian tax results” (as defined in the Tax Act) in a currency other than Canadian currency; (v) that is exempt from tax under Part I of the Tax Act; (vi) that has entered or enters into a “derivative forward agreement” or a “synthetic disposition arrangement” (each as defined in the Tax Act) with respect to the Shares; (vii) that is a “foreign affiliate” (as defined in the Tax Act) of a taxpayer resident in Canada; or (viii) that is a partnership. Such Holders should consult their own tax advisors having regard to their own particular circumstances.

This summary does not address the tax consequences to holders of Options, RSUs or Warrants (including for greater certainty the Armistice Warrants) nor to any holders who have acquired Shares on the exercise or settlement of any of the foregoing or through another equity-based employment compensation arrangement, or otherwise in the course of their employment. Such holders or other securityholders should consult their own tax advisors having regard to their own particular circumstances.

This summary is not exhaustive of all Canadian federal income tax considerations. It is of a general nature only and is neither intended to be, nor should it be construed to be, legal, business or tax advice or representations to any particular Holder. Accordingly, Holders should consult their own legal and tax advisors with respect to their particular circumstances, and any other consequences to them of such transactions under Canadian federal, provincial, territorial, local and foreign tax laws.

 

- 102 -


Table of Contents

Holders Resident in Canada

This portion of the summary is applicable to a Holder who, at all relevant times, for purposes of the Tax Act and any applicable income tax treaty or convention, is or is deemed to be resident in Canada (a “Resident Holder”). Holders should confirm with their own tax advisors whether they are a Resident Holder. Certain Resident Holders who might not otherwise be considered to hold their Shares as capital property may, in certain circumstances, be entitled to make an irrevocable election in accordance with subsection 39(4) of the Tax Act to have such Shares, and every other “Canadian security” (as defined in the Tax Act) owned by such Holder in the taxation year of the election and all subsequent taxation years, to be capital property. Holders should consult with their own tax advisors regarding this election.

Disposition of Shares

Generally, a Resident Holder (other than a Continuance Dissenting Resident Holder or an Arrangement Dissenting Resident Holder, as these terms are defined below) who disposes of Shares under the Arrangement will realize a capital gain (or capital loss) equal to the amount by which the Consideration received by the Resident Holder under the Arrangement exceeds (or is less than) the aggregate of the Resident Holder’s adjusted cost base in its Shares immediately before the disposition and any reasonable costs of disposition. See the disclosure below under “Certain Canadian Federal Income Tax ConsiderationsHolders Resident in CanadaTaxation of Capital Gains and Losses” for a description of the tax treatment of capital gains and losses.

Taxation of Capital Gains and Losses

Generally, a Resident Holder is required to include in computing its income for a taxation year one-half of the amount of any capital gain (a “Taxable Capital Gain”) realized by the Resident Holder in the year. Subject to and in accordance with the provisions of the Tax Act, a Resident Holder is required to deduct one-half of the amount of any capital loss (an “Allowable Capital Loss”) realized in a taxation year from Taxable Capital Gains realized in the year by such Resident Holder. Allowable Capital Losses in excess of Taxable Capital Gains realized in a taxation year may be carried back and deducted in any of the three preceding years or carried forward and deducted in any subsequent year against net Taxable Capital Gains realized by the Resident Holder in such years, subject to and in accordance with the detailed rules contained in the Tax Act.

The amount of any capital loss realized by a Resident Holder that is a corporation on the disposition of a Share (and, in certain circumstances, a share exchanged for such share) may be reduced by the amount of any dividends received (or deemed to be received) by it on such Share to the extent and under the circumstances described in the Tax Act. Similar rules may apply where a corporation is a member of a partnership or a beneficiary of a trust that owns a Share directly or indirectly through a partnership or trust. Resident Holders to whom these rules may apply should consult their own tax advisors.

Resident Holders dissenting to the Continuance

A Resident Holder who validly exercises Dissent Rights with respect to the Continuance (a “Continuance Dissenting Resident Holder”) and who disposes of his, her or its Shares in respect of which the Continuance Dissenting Resident Holder dissents in consideration for an entitlement to receive a payment from the Corporation of an amount equal to the fair value of his, her or its Shares

 

- 103 -


Table of Contents

will be deemed to have received a taxable dividend from the Corporation equal to the amount by which the amount received from the Corporation for the Shares (other than any portion of the payment that is interest awarded by a court) exceeds the paid-up capital of the Continuance Dissenting Resident Holder’s Shares (calculated in accordance with the Tax Act). A Continuance Dissenting Resident Holder will be considered to have disposed of such Continuance Dissenting Resident Holder’s Shares for proceeds of disposition equal to the amount received by the Continuance Dissenting Resident Holder (other than any portion of the payment that is interest awarded by a court) less the amount of any deemed dividend described above. Generally, a Continuance Dissenting Resident Holder will realize a capital gain (or capital loss) to the extent that such proceeds of disposition exceeds (or is less than) the aggregate of the Continuance Dissenting Resident Holder’s adjusted cost base in its Shares and any reasonable costs of disposition. See the disclosure above under “Certain Canadian Federal Income Tax ConsiderationsHolders Resident in CanadaTaxation of Capital Gains and Losses” for a description of the tax treatment of capital gains and losses.

A Continuance Dissenting Resident Holder who is an individual (including certain trusts) will be required to include in income any dividend deemed to be received on the Continuance Dissenting Resident Holder’s Shares and will be subject to the gross-up and dividend tax credit rules applicable to taxable dividends received from taxable Canadian corporations, including the enhanced gross-up and dividend tax credit rules applicable to any dividends designated by the Corporation as “eligible dividends” (as defined in the Tax Act). There may be limitations on the ability of the Corporation to designate dividends as eligible dividends.

A Continuance Dissenting Resident Holder that is a corporation will be required to include in income any dividend deemed to be received on the Continuance Dissenting Resident Holder’s Shares, but generally will be entitled to deduct an equivalent amount in computing taxable income. In certain circumstances, subsection 55(2) of the Tax Act will treat a taxable dividend received or deemed to have been received by a Resident Holder that is a corporation as proceeds of a disposition or a capital gain and not as a dividend. Accordingly, Continuance Dissenting Resident Holders that are corporations should consult their own tax advisors for specific advice with respect to the potential application of this provision.

A “private corporation” or a “subject corporation” (each as defined in the Tax Act) may be liable under Part IV of the Tax Act to pay a refundable tax on any dividend that it is deemed to receive on the Shares to the extent that the dividend is deducible in computing the corporation’s taxable income. A “subject corporation” is generally a corporation (other than a private corporation) resident in Canada and controlled directly or indirectly by or for the benefit of an individual (other than a trust) or a related group of individuals (other than trusts). Continuance Dissenting Resident Holders that are corporations should consult their own tax advisors having regard to their own particular circumstances.

A Continuance Dissenting Resident Holder will be required to include in computing his, her or its income under the Tax Act any interest awarded by a court in connection with the exercise of his, her or its Dissent Rights in respect of the Continuance.

Resident Holders dissenting to the Arrangement

A Resident Holder who validly exercises Dissent Rights with respect to the Arrangement (an “Arrangement Dissenting Resident Holder”) will be deemed to have disposed of his, her or its Shares in respect of which the Arrangement Dissenting Resident Holder dissents to the Purchaser and will be entitled to receive a payment from the Purchaser of an amount equal to the fair value of his, her

 

- 104 -


Table of Contents

or its Shares. Generally, an Arrangement Dissenting Resident Holder will realize a capital gain (or capital loss) to the extent that such payment (other than any portion thereof that is interest awarded by a court) exceeds (or is less than) the aggregate of the Arrangement Dissenting Resident Holder’s adjusted cost base in his, her or its Shares and any reasonable costs of disposition. See the disclosure above under “Certain Canadian Federal Income Tax ConsiderationsHolders Resident in CanadaTaxation of Capital Gains and Losses” for a description of the tax treatment of capital gains and losses.

An Arrangement Dissenting Resident Holder will be required to include in computing his, her or its income under the Tax Act any interest awarded by a court in connection with the exercise of his, her or its Dissent Rights in respect of the Arrangement.

Alternative Minimum Tax

The realization of a capital gain by an individual (including certain trusts) may give rise to a liability for alternative minimum tax as calculated under the detailed rules set out in the Tax Act. Such Resident Holders should consult their own tax advisors having regard to their own particular circumstances.

Additional Refundable Tax

A Resident Holder that is throughout the relevant taxation year a “Canadian-controlled private corporation” (as defined in the Tax Act), or that is or is deemed to be a “substantive CCPC” (as defined in the Tax Act) at any time in the relevant taxation year, may be liable to pay an additional tax on its “aggregate investment income” (as defined in the Tax Act), which includes interest, taxable capital gains and dividends (including deemed dividends). Such additional tax may be refundable in certain circumstances. Resident Holders should consult their own tax advisors having regard to their own particular circumstances.

Holders Not Resident in Canada

This portion of the summary is generally applicable to a Holder who, at all relevant times, for purposes of the Tax Act and any applicable income tax treaty or convention, is not and is not deemed to be resident in Canada and does not use or hold and is not deemed to use or hold the Shares in, or in the course of, a business carried on in Canada (a “Non-Resident Holder”). Special rules, which are not discussed in this summary, may apply to a Non-Resident Holder that is an insurer carrying on business in Canada and elsewhere or that is an “authorized foreign bank” (as defined in the Tax Act). Such Non-Resident Holders should consult their own tax advisors having regard to their own particular circumstances.

Disposition of Shares

A Non-Resident Holder who disposes of Shares under the Arrangement will generally realize a capital gain or a capital loss computed in the manner described above under “Certain Canadian Federal Income Tax ConsiderationsHolders Resident in CanadaTaxation of Capital Gains and Losses”.

Taxation of Capital Gains and Losses

A Non-Resident Holder will not be subject to tax under the Tax Act on any capital gain or entitled to deduct any capital loss realized on the disposition of Shares pursuant to the Arrangement,

 

- 105 -


Table of Contents

unless the Shares constitute “taxable Canadian property” of the Non-Resident Holder for purposes of the Tax Act at the time of their disposition and the Non-Resident Holder is not entitled to relief under an applicable income tax treaty or convention between Canada and the country in which the Non-Resident Holder is resident.

Generally, the Shares will not constitute taxable Canadian property of a Non-Resident Holder at the time of their disposition provided that (i) the Shares were listed on a “designated stock exchange” (as defined in the Tax Act), which currently includes the TSX, at that time, and (ii) at no time during the 60 month period immediately preceding the disposition, the following two conditions were met concurrently: (A) one or any combination of (a) the Non-Resident Holder, (b) persons with whom the Non-Resident Holder does not deal at arm’s length, and (c) partnerships in which the Non-Resident Holder or a person described in (b) holds an interest directly or indirectly through one or more partnerships, owned 25% or more of the issued shares of any class or series of the Corporation, and (B) more than 50% of the fair market value of the Shares was derived, directly or indirectly, from one or any combination of (a) real or immovable property situated in Canada, (b) Canadian resource properties (as defined in the Tax Act), (c) timber resource properties (as defined in the Tax Act), and (d) options in respect of, or interests in, or for civil law, rights in, any of the foregoing property, whether or not such property exists. Notwithstanding the foregoing, Shares may be deemed to be taxable Canadian property in certain circumstances specified in the Tax Act.

Non-Resident Holders whose Shares might constitute taxable Canadian property should consult with their own tax advisors having regard to their own particular circumstances.

Even if the Shares were to be considered to be taxable Canadian property to a Non-Resident Holder as described above, any taxable capital gain resulting from the disposition of the Shares will not be included in computing the Non-Resident Holder’s taxable income earned in Canada for purposes of the Tax Act if, at the time of their disposition, the Shares constitute “treaty-protected property” of the Non-Resident Holder for purposes of the Tax Act. Shares will generally be considered “treaty-protected property” of a Non-Resident Holder for purposes of the Tax Act at the time of their disposition if any gain realized would, because of an applicable income tax treaty or convention between Canada and the country in which the Non-Resident Holder is resident for purposes of such treaty or convention and in respect of which the Non-Resident Holder is entitled to receive benefits thereunder, be exempt from tax under the Tax Act. Non-Resident Holders whose Shares constitute taxable Canadian property should consult their own tax advisors with respect to the availability of relief under the terms of any applicable income tax treaty or convention.

Non-Resident Shareholders dissenting to the Continuance

A Non-Resident Holder who validly exercises Dissent Rights with respect to the Continuance (a “Continuance Dissenting Non-Resident Holder”) and who disposes of his, her or its Shares in respect of which the Continuance Dissenting Non-Resident Holder dissents in consideration for an entitlement to receive a payment from the Corporation of an amount equal to the fair value of his, her or its Shares will be deemed to have received a taxable dividend from the Corporation equal to the amount by which the amount received from the Corporation for the Shares (other than any portion of the payment that is interest awarded by a court) exceeds the paid-up capital of the Continuance Dissenting Non-Resident Holder’s Shares (calculated in accordance with the Tax Act).

Any dividend deemed to be received by a Continuance Dissenting Non-Resident Holder will be subject to withholding tax under the Tax Act at a rate of 25% of the gross amount of the dividend,

 

- 106 -


Table of Contents

unless the rate is reduced under the provisions of an applicable income tax treaty or convention. In the case of a beneficial owner of dividends who is a resident of the United States for purposes of the Canada-US Tax Convention (1980) (as amended) and who is fully entitled to the benefits of that treaty, the rate of withholding will generally be reduced to 15% (or 5% in the case of a company beneficially owning at least 10% of the voting stock of the Corporation). The Multilateral Convention to Implement Tax Treaty Related Measures to Prevent Base Erosion and Profit Shifting of which Canada is a signatory, affects many of Canada’s income tax treaties (but not the Canada-US Tax Convention (1980)), including the ability to claim benefits thereunder. Continuance Dissenting Non-Resident Holders should consult their own tax advisors having regard to their own particular circumstances.

A Continuance Dissenting Non-Resident Holder will be considered to have disposed of such Continuance Dissenting Non-Resident Holder’s Shares for proceeds of disposition equal to the amount received by the Continuance Dissenting Non-Resident Holder (other than any portion of the payment that is interest awarded by a court) less the amount of any deemed dividend described above. In general, a Continuance Dissenting Non-Resident Holder will realize a capital gain (or capital loss) to the extent that such proceeds of disposition, exceeds (or is less than) the aggregate of the Continuance Dissenting Non-Resident Holder’s adjusted cost base in its Shares and any reasonable costs of disposition. The income tax treatment of capital gains and capital losses of a Continuance Dissenting Non-Resident Shareholder is discussed above. See “Certain Canadian Federal Income Tax ConsiderationsHolders Not Resident in CanadaTaxation of Capital Gains and Losses” above.

The amount of any interest awarded by a court to a Continuance Dissenting Non-Resident Holder will not be subject to Canadian withholding tax provided that such interest is not “participating debt interest” (as defined in the Tax Act). Continuance Dissenting Non-Resident Holder who intend to dissent with respect to the Continuance should consult their own tax advisors for advice having regard to their own particular circumstances.

Non-Resident Shareholders dissenting to the Arrangement

A Non-Resident Holder who validly exercises Dissent Rights under the Arrangement (an “Arrangement Dissenting Non-Resident Holder”) will realize a capital gain (or capital loss) in the same manner as an Arrangement Dissenting Resident Holder. See “Certain Canadian Federal Income Tax ConsiderationsHolders Resident in CanadaResident Holders dissenting to the Arrangement”.

The income tax treatment of capital gains and capital losses of an Arrangement Dissenting Non-Resident Shareholder is discussed above. See “Certain Canadian Federal Income Tax ConsiderationsHolders Resident in CanadaTaxation of Capital Gains and Losses” above.

The amount of any interest awarded by a court to an Arrangement Dissenting Non-Resident Holder will not be subject to Canadian withholding tax provided that such interest is not “participating debt interest” (as defined in the Tax Act). Arrangement Dissenting Non-Resident Holder who intend to dissent from the Arrangement should consult their own tax advisors for advice having regard to their own particular circumstances.

 

- 107 -


Table of Contents

CERTAIN U.S. FEDERAL INCOME TAX CONSIDERATIONS

The following is a general discussion of certain U.S. federal income tax considerations generally applicable to U.S. Holders (as defined below) of Shares arising from and relating to the Arrangement.

This summary is for general information purposes only and does not purport to be a complete analysis or listing of all potential U.S. federal income tax considerations that may apply to a U.S. Holder arising from and relating to the Arrangement. In addition, this summary does not take into account the individual facts and circumstances of any particular U.S. Holder that may affect the U.S. federal income tax considerations relevant to such U.S. Holder, including, without limitation, specific tax consequences to a U.S. Holder under an applicable tax treaty. Accordingly, this summary is not intended to be, and should not be construed as, legal or tax advice with respect to any particular U.S. Holder. This summary does not address the U.S. federal net investment income tax, U.S. federal alternative minimum tax, U.S. federal estate and gift tax, U.S. state and local tax, or non-U.S. tax considerations applicable to U.S. Holders arising from and relating to the Arrangement. In addition, except as specifically set forth below, this summary does not discuss applicable tax reporting requirements. Each U.S. Holder should consult its own tax advisor regarding the U.S. federal, U.S. state and local, and non-U.S. tax considerations arising from and relating to the Arrangement. This summary also does not address tax consequences to holders of Warrants, Restricted Stock Units or Options. A holder of such securities should consult its own tax advisor regarding the tax considerations arising from and relating to the Arrangement applicable to such securities.

No opinion from U.S. legal counsel or ruling from the IRS has been requested, or will be obtained, regarding the U.S. federal income tax considerations arising from and relating to the Arrangement. This summary is not binding on the IRS, and the IRS is not precluded from taking a position that is different from, or contrary to, the positions taken in this summary. In addition, because the authorities on which this summary is based are subject to various interpretations, the IRS and the U.S. courts could disagree with one or more of the conclusions described in this summary.

THE FOLLOWING SUMMARY IS FOR GENERAL INFORMATION ONLY AND IS NOT INTENDED TO BE, NOR SHOULD IT BE CONSTRUED TO BE, LEGAL OR TAX ADVICE TO ANY HOLDER OF SHARES AND NO OPINION OR REPRESENTATION WITH RESPECT TO THE U.S. FEDERAL INCOME TAX CONSIDERATIONS APPLICABLE TO ANY SUCH HOLDER IS MADE. HOLDERS OF SHARES SHOULD CONSULT THEIR OWN TAX ADVISORS AS TO THE PARTICULAR CONSIDERATIONS APPLICABLE TO THEM UNDER U.S. FEDERAL, STATE AND LOCAL, AS WELL AS ANY APPLICABLE NON-U.S., TAX LAWS ARISING FROM AND RELATING TO THE ARRANGEMENT.

This summary is based on the Code, Treasury Regulations (whether final, temporary, or proposed) promulgated thereunder, published rulings of the IRS, published administrative positions of the IRS, the current provisions of the Convention Between Canada and the United States of America with Respect to Taxes on Income and on Capital, signed September 26, 1980, as amended (the “Treaty”), and U.S. court decisions that are applicable, and, in each case, as in effect and available, as of the date of this document.

Any of the authorities on which this summary is based could be changed in a material and adverse manner at any time, and any such change could be applied retroactively. This summary does not

 

- 108 -


Table of Contents

discuss the potential effects, whether adverse or beneficial, of any proposed legislation that, if enacted, could be applied on a retroactive or prospective basis.

U.S. Holders

For purposes of this summary, the term “U.S. Holder” means a beneficial owner of Shares participating in the Arrangement or exercising Dissent Rights pursuant to the Arrangement that is, for U.S. federal income tax purposes:

 

   

an individual who is a citizen or resident of the United States;

 

   

a corporation (or other entity treated as a corporation for U.S. federal income tax purposes) organized under the laws of the United States, any state thereof or the District of Columbia;

 

   

an estate the income of which is subject to U.S. federal income taxation regardless of its source; or

 

   

a trust that (1) is subject to the primary supervision of a court within the United States and the control of one or more U.S. persons for all substantial decisions, or (2) has a valid election in effect under applicable Treasury Regulations to be treated as a U.S. person.

U.S. Holders Subject to Special U.S. Federal Income Tax Rules Not Addressed

This summary does not address the U.S. federal income tax considerations applicable to U.S. Holders that are subject to special provisions under the Code, including, but not limited to, U.S. Holders that: (a) are tax-exempt organizations, qualified retirement plans, individual retirement accounts, or other tax-deferred accounts; (b) are banks, financial institutions, underwriters, insurance companies, real estate investment trusts, or regulated investment companies; (c) are brokers or dealers in securities or currencies or that are traders in securities or currencies that elect to apply a mark-to-market accounting method; (d) have a “functional currency” other than the U.S. dollar; (e) own Shares as part of a straddle, hedge, conversion transaction, constructive sale, or other integrated transaction; (f) acquired Shares in connection with the exercise or cancellation of employee stock options or otherwise as compensation for services; (g) hold Shares other than as a capital asset within the meaning of Section 1221 of the Code (generally, property held for investment purposes); (h) are partnerships and other pass-through entities (and partners or investors in such partnerships and entities) or are S corporations (and shareholders thereof); (i) are subject to special tax accounting rules in respect of Shares; (j) own or have owned (directly, indirectly, or by attribution) 10% or more of the total combined voting power or value of the Corporation’s outstanding shares; (k) are U.S. expatriates or former long term residents of the United States; (l) hold Shares in connection with a trade or business, permanent establishment or fixed base outside the United States; or (m) are subject to the alternative minimum tax. U.S. Holders that are subject to special provisions under the Code, including U.S. Holders described immediately above, should consult their own tax advisors regarding the U.S. federal, U.S. state and local, and non U.S. tax considerations arising from and relating to the Arrangement.

If an entity or arrangement that is classified as a partnership (or other “pass through” entity) for U.S. federal income tax purposes holds Shares, the U.S. federal income tax consequences to such entity or arrangement and the owners of such entity or arrangement generally will depend on the activities of such entity or arrangement and the status of such partners (or other owners). This summary

 

- 109 -


Table of Contents

does not address the tax consequences to any such entity or arrangement or any partner or other owner thereof. Partners (or other owners) of entities or arrangements that are classified as partnerships for U.S. federal income tax purposes should consult their own tax advisor regarding the U.S. federal income tax considerations arising from and relating to the Arrangement.

Treatment of the Arrangement

A U.S. Holder will recognize gain or loss on the exchange of Shares for the Consideration in an amount equal to the difference, if any, between (i) the U.S. dollar value of the Canadian dollars received or, if a U.S. Holder exercises the right to elect in its Letter of Transmittal to receive the Consideration in U.S. dollars, the U.S. dollars received and (ii) such U.S. Holder’s adjusted tax basis in the Shares surrendered in exchange therefor. Subject to the PFIC (as defined below) rules discussed below, such gain or loss generally will be capital gain or loss, which will be long-term capital gain or loss, if, at the time of the exchange, such Shares are held for longer than one year.

Preferential tax rates apply to long-term capital gains of a U.S. Holder that is an individual, estate, or trust. There are currently no preferential tax rates for long-term capital gains of a U.S. Holder that is a corporation. Deductions for capital losses are subject to significant limitations under the Code.

Subject to the PFIC rules discussed below, a U.S. Holder’s adjusted tax basis in a Share generally will equal its cost to the U.S. Holder. In the case of a Share purchased with non-U.S. currency, the cost of the Share to a U.S. Holder will be the U.S. dollar value of the non-U.S. currency purchase price on the date of purchase. In the case of a Share that is traded on an established securities market, a cash basis U.S. Holder (and, if it so elects, an accrual basis U.S. Holder) determines the U.S. dollar value of the cost of such Share by translating the amount paid at the spot rate of exchange on the settlement date of the purchase.

Passive Foreign Investment Company Rules

If the Corporation were to constitute a “passive foreign investment company” within the meaning of Section 1297 of the Code (a “PFIC”) at any time during a U.S. Holder’s holding period, then certain potentially adverse rules would affect the U.S. federal income tax consequences to a U.S. Holders resulting from the Arrangement.

The Corporation generally will be a PFIC if, for a tax year, (a) 75% or more of the gross income of the Corporation for such tax year is passive income (the “PFIC income test”) or (b) 50% or more of the value of the assets of the Corporation either produce passive income or are held for the production of passive income, based on the quarterly average of the fair market value of such assets (the “PFIC asset test”). “Gross income” generally includes all sales revenues less the cost of goods sold, plus income from investments and from incidental or outside operations or sources, and “passive income” generally includes, for example, dividends, interest, certain rents and royalties, certain gains from the sale of stock and securities, and certain gains from commodities transactions.

Under certain attribution rules, if the Corporation is a PFIC, U.S. Holders will generally be deemed to own their proportionate share of any of the Corporation’s subsidiaries which is also a PFIC (a “Subsidiary PFIC”), and will generally be subject to U.S. federal income tax under the default PFIC rules under Section 1291 of the Code discussed below on their proportionate share of any gain realized on a disposition or deemed disposition of shares of a Subsidiary PFIC, as if such U.S. Holders directly held the shares of such Subsidiary PFIC. Accordingly, U.S. Holders should be aware that they could be subject to tax under the PFIC rules on any indirect gain realized on the stock of a Subsidiary PFIC on the disposition of Shares pursuant to the Arrangement.

 

- 110 -


Table of Contents

The Corporation believes that it was classified as a PFIC for its most recently completed tax year, and based on the nature of the Corporation’s business, the projected composition of its gross income and the projected composition and estimated fair market value of its assets, the Corporation expects to be a PFIC for its current tax year. No opinion of legal counsel or ruling from the IRS concerning the status of the Corporation as a PFIC has been obtained or is currently planned to be requested. PFIC classification is fundamentally factual in nature, generally cannot be determined until the close of the tax year in question and is determined annually. The determination of whether any corporation was, or will be, a PFIC for a tax year depends, in part, on the application of complex U.S. federal income tax rules, which are subject to differing interpretations. In addition, whether any corporation will be a PFIC for any tax year depends on the assets and income of such corporation over the course of each such tax year and, as a result, the Corporation’s PFIC status for the current year cannot be predicted with certainty as of the date of this document. Accordingly, there can be no assurance that the IRS will not challenge any PFIC determination made by the Corporation. Each U.S. Holder should consult its own tax advisor regarding the Corporation’s status as a PFIC.

If the Corporation were to be treated as a PFIC for any tax year during a U.S. Holder’s holding period, and if a U.S. Holder disposes of Shares pursuant to the Arrangement that were held by such U.S. Holder directly or indirectly during any time that Corporation was a PFIC (such Shares held by a U.S. Holder directly or indirectly during any time that the Corporation was a PFIC are sometimes referred to herein as “PFIC Shares”), regardless of whether the Corporation was a PFIC in the year in which the Effective Date occurs, such U.S. Holder could be subject to certain adverse U.S. federal income tax consequences with respect to gain realized on the disposition of such PFIC Shares pursuant to the Arrangement. In general, if a U.S. Holder who disposes of PFIC Shares has not made either a timely and effective election to treat the Corporation as a “qualified electing fund” under Section 1295 of the Code (a “QEF Election”) with respect to each taxable year during the U.S. Holder’s holding period during which the Corporation was a PFIC or a timely and effective election under Section 1296 of the Code to mark such PFIC Shares to market (a “Mark-to-Market Election”), the gain the U.S. Holder recognizes as a result of the Arrangement with respect to such PFIC Shares will be treated as earned pro rata over such U.S. Holder’s holding period. With respect to gain allocated to any period preceding the first year in such U.S. Holder’s holding period when the Corporation was a PFIC (if any) and gain allocated to the year of disposition, such gain will be treated as gain arising in the year of disposition and taxed at ordinary U.S. federal income tax rates for the year of disposition. With respect to gain allocated to each of the other years, such gain will be taxed at the highest ordinary U.S. federal income tax rate in effect for each of those years and will be subject to punitive interest charges. A U.S. Holder that is not a corporation must treat such interest as non-deductible personal interest.

In the event the Corporation is classified as a PFIC for any tax year, the Corporation does not intend to provide U.S. Holders with a PFIC Annual Information Statement for such tax year. As a result, U.S. Holders are not expected to be able to make a QEF Election in respect of the Corporation or any Subsidiary PFIC. Each U.S. Holder should consult its own tax advisors regarding the availability of, and procedure for making, a QEF Election.

The PFIC rules are complex, and each U.S. Holder should consult its own tax advisor regarding the PFIC rules (including the availability and advisability of making a QEF Election or Mark-to-Market Election) and how the PFIC rules may affect the U.S. federal income tax considerations arising from and relating to the disposition of Shares pursuant to the Arrangement.

 

- 111 -


Table of Contents

Controlled Foreign Corporation Rules

The Corporation believes that it was not a controlled foreign corporation (a “CFC”) for its tax year ending on December 31, 2024, and does not expect to be a CFC prior to the consummation of the Arrangement. The determination of whether any corporation was, or will be, a CFC for a tax year depends, in part, on the actual and constructive ownership of such corporation by U.S. persons, with constructive ownership based on the application of complex U.S. federal income tax rules, which are subject to differing interpretations. No opinion of legal counsel or ruling from the IRS concerning the status of the Corporation as a CFC has been obtained or is currently planned to be requested. Accordingly, there can be no assurance that the IRS will not challenge any determination made by the Corporation concerning its CFC status. Each U.S. Holder should consult its own tax advisors regarding the CFC status of the Corporation and the tax consequences to such U.S. Holder if the Corporation is a CFC.

Foreign Tax Credits and Limitations

Any gain or loss recognized by a U.S. Holder on the sale or other disposition of Shares generally will be U.S.-source gain or loss. Certain U.S. Holders that are eligible for the benefits of the Treaty may elect to treat such gain or loss as Canadian-source gain or loss for U.S. foreign tax credit purposes. The Code applies various complex limitations on the amount of non-U.S. taxes that may be claimed as a credit by U.S. taxpayers. In addition, Treasury Regulations that apply to taxes paid or accrued (the “Foreign Tax Credit Regulations”) impose additional requirements for Canadian withholding taxes to be eligible for a foreign tax credit, and there can be no assurance that those requirements will be satisfied in respect of any applicable Canadian income or withholding taxes. The Treasury Department has released guidance temporarily pausing the application of certain of the Foreign Tax Credit Regulations.

Subject to the PFIC rules and the Foreign Tax Credit Regulations, each as discussed above, a U.S. Holder that pays (whether directly or through withholding) Canadian income tax in connection with a sale or other taxable disposition of Shares generally will be entitled, at the election of such U.S. Holder, to receive either a deduction or a credit for such Canadian income or withholding tax. Generally, a credit will reduce a U.S. Holder’s U.S. federal income tax liability on a dollar-for-dollar basis, whereas a deduction will reduce a U.S. Holder’s income that is subject to U.S. federal income tax. This election is made on a year-by-year basis and applies to all non-U.S. taxes paid (whether directly or through withholding) by a U.S. Holder during a year. The foreign tax credit rules are complex and involve the application of rules that depend on a U.S. Holder’s particular circumstances. Accordingly, each U.S. Holder should consult its own U.S. tax advisor regarding the foreign tax credit rules.

Foreign Currency

The amount of any Consideration paid to a U.S. Holder in non-U.S. currency pursuant to the sale, exchange or other taxable disposition of Shares generally will be equal to the U.S. dollar value of such non-U.S. currency based on the exchange rate applicable on the date of receipt or, if applicable, the date of settlement if the Shares are traded on an established securities market (regardless of whether such non-U.S. currency is converted into U.S. dollars at that time). A U.S. Holder will have a tax basis in the non-U.S. currency equal to its U.S. dollar value on the date of receipt. Any U.S. Holder who converts or otherwise disposes of the non-U.S. currency after the date of receipt may have a non-U.S. currency exchange gain or loss that would be treated as ordinary income or loss, and

 

- 112 -


Table of Contents

generally will be U.S.-source income or loss for foreign tax credit purposes. Different rules apply to U.S. Holders who use the accrual method of tax accounting. Each U.S. Holder should consult its own U.S. tax advisors regarding the U.S. federal income tax consequences of receiving, owning, and disposing of non-U.S. currency. The foregoing rules should not apply to the receipt of the Consideration by a U.S. Holder which exercises the right to elect in its Letter of Transmittal to receive the Consideration in U.S. dollars.

Dissenting Shareholders

A U.S. Holder that is a Dissenting Shareholder in the Arrangement and is paid cash in exchange for all of such U.S. Holder’s Shares generally will recognize taxable gain or loss in an amount equal to the difference, if any, between: (i) the U.S. dollar value of the Canadian dollars received by such U.S. Holder in exchange for its Shares or, if a U.S. Holder receives payment in respect of such U.S. Holder’s Shares in U.S. dollars, the U.S. dollars received and (ii) the U.S. Holder’s adjusted tax basis in the Shares. Such gain or loss will generally be subject to the rules discussed above under the heading “Certain U.S. Federal Income Tax Considerations – Treatment of the Arrangement” and the PFIC rules described above under “Certain U.S. Federal Income Tax Considerations – Passive Foreign Investment Company Rules”.

Specified Foreign Financial Assets Reporting

Certain U.S. Holders that hold “specified foreign financial assets” are generally required to attach to their annual returns a completed IRS Form 8938, Statement of Specified Foreign Financial Assets, with respect to such assets (and can be subject to substantial penalties for failure to file). The definition of specified foreign financial asset includes not only financial accounts maintained in foreign financial institutions, but also, if held for investment and not held in an account maintained by a financial institution, securities of non-U.S. issuers (subject to certain exceptions, including an exception for securities of non-U.S. issuers held in accounts maintained by domestic financial institutions). U.S. Holders should consult their own tax advisors regarding the possible reporting requirements with respect to their investments in Shares and the penalties for non-compliance.

Backup Withholding and Information Reporting

Payments made within the U.S., or by a U.S. payor or U.S. middleman, of proceeds arising from the sale or other taxable disposition of the Shares generally may be subject to information reporting and backup withholding tax (currently at the rate of 24%) if a U.S. Holder (a) fails to furnish such U.S. Holder’s correct U.S. taxpayer identification number (generally on IRS Form W-9), (b) furnishes an incorrect U.S. taxpayer identification number, (c) is notified by the IRS that such U.S. Holder has previously failed to properly report items subject to backup withholding tax, or (d) fails to certify, under penalty of perjury, that such U.S. Holder has furnished its correct U.S. taxpayer identification number and that the IRS has not notified such U.S. Holder that it is subject to backup withholding tax. However, certain exempt persons, such as U.S. Holders that are corporations, generally are excluded from these information reporting and backup withholding tax rules. Backup withholding is not an additional tax. Any amounts withheld under the U.S. backup withholding tax rules generally will be allowed as a credit against a U.S. Holder’s U.S. federal income tax liability, if any, or will be refunded, if such U.S. Holder furnishes required information to the IRS in a timely manner.

The discussion of reporting requirements set forth above is not intended to constitute a complete description of all reporting requirements that may apply to a U.S. Holder. A failure to satisfy

 

- 113 -


Table of Contents

certain reporting requirements may result in an extension of the time period during which the IRS can assess a tax and, under certain circumstances, such an extension may apply to assessments of amounts unrelated to any unsatisfied reporting requirement. Each U.S. Holder should consult its own tax advisor regarding the information reporting and backup withholding rules.

THE ABOVE SUMMARY IS NOT INTENDED TO CONSTITUTE A COMPLETE ANALYSIS OF ALL TAX CONSIDERATIONS APPLICABLE TO U.S. HOLDERS WITH RESPECT TO THE DISPOSITION OF THE SHARES PURSUANT TO THE ARRANGEMENT OR PURSUANT TO THE EXERCISE OF DISSENT RIGHTS. U.S. HOLDERS SHOULD CONSULT THEIR OWN TAX ADVISORS AS TO THE TAX CONSIDERATIONS APPLICABLE TO THEM IN LIGHT OF THEIR OWN PARTICULAR CIRCUMSTANCES.

 

- 114 -


Table of Contents

RISK FACTORS

In evaluating whether to approve the Arrangement Resolution, Shareholders should carefully consider the following risk factors. Additional risks and uncertainties, including those currently unknown to or considered immaterial by the Corporation may also adversely affect the Arrangement. The following risk factors are not a definitive list of all risk factors associated with the Arrangement.

Risks Related to Aptose

If the Arrangement is not completed, the Corporation will continue to face the risks that it currently faces with respect to its affairs, business and operations and future prospects. Such risks include those set forth and described in the “Risk Factors” sections of the Corporation’s most recent Annual Report on Form 10-K and Quarterly Reports on Form 10-Qs, and other documents filed with the SEC and the Canadian Securities Administrators, copies of which can be found under the Corporation’s profile on SEDAR+ at www.sedarplus.ca and EDGAR at www.sec.gov/edgar.

Risks Related to the Arrangement

Completion of the Arrangement is subject to a number of conditions that must be satisfied or waived.

The completion of the Arrangement is subject to a number of conditions precedent, some of which are outside of the control of the Corporation, the Parent or the Purchaser, including, without limitation, approval of the Shareholders, receipt of the required Regulatory Approvals, and the granting of the Final Order.

In addition, the completion of the Arrangement by the Parent and the Purchaser is conditional on, among other things, no Material Adverse Effect having occurred and continuing since the date of the Arrangement Agreement. There can be no certainty, nor can the Corporation, the Parent or the Purchaser provide any assurance, that these conditions will be satisfied or, if satisfied, when they will be satisfied. Moreover, a substantial delay in obtaining the required approvals (including the Regulatory Approvals) could result in the Arrangement not being completed. If the Arrangement is not completed for any reason, there are risks that the announcement of the Arrangement and the dedication of substantial resources of the Corporation to the completion of the Arrangement could have a negative impact on the Corporation’s current business relationships and could have a material adverse effect on the Corporation’s current and future operations, financial condition and prospects. In addition, failure to complete the Arrangement for any reason could negatively impact the trading price of the Shares.

The Arrangement Agreement may be terminated in certain circumstances, in which case an alternative transaction may not be available.

Each of the Corporation and the Parent has the right to terminate the Arrangement Agreement in certain circumstances. Accordingly, there is no certainty that the Arrangement Agreement will not be terminated by the Corporation or the Parent before the completion of the Arrangement. Failure to complete the Arrangement could materially negatively impact the trading price of the Shares. If the Arrangement Agreement is terminated and the Board decides to seek an alternative transaction, there is no guarantee that it will be able to find a party willing to pay consideration for the Shares that is equivalent to, or more attractive than, the Consideration payable pursuant to the Arrangement.

If the Arrangement Agreement is terminated in certain circumstances, the Corporation will be required to immediately implement the Alternative CCAA Proceedings. In the event that the Corporation commences Alternative CCAA Proceedings, Shareholders may not be entitled to receive any consideration on their Shares.

 

- 115 -


Table of Contents

The Corporation will incur costs and may have to pay an Expense Fee.

Certain costs relating to the Arrangement, such as certain legal, accounting and financial advisor fees, must be paid by the Corporation even if the Arrangement is not completed. If the Arrangement is not completed for certain reasons, the Corporation may also be required to pay an Expense Fee of C$300,000 to the Parent. See “The Arrangement Agreement – Expense Fee”. If the Corporation is required to pay this Expense Fee under the Arrangement Agreement, the financial condition and ability of the Corporation to fund current operations could be materially adversely affected.

CCAA Plan in the Event Arrangement is not Completed

If the Arrangement Agreement is terminated in certain circumstances, the Corporation will be required to immediately implement the Alternative CCAA Proceedings. In the event that the Corporation commences Alternative CCAA Proceedings, Shareholders may not be entitled to receive any consideration on their Shares.

The Expense Fee may discourage other parties from proposing a significant business transaction with the Corporation.

The Corporation is required to pay an Expense Fee in the event that the Arrangement Agreement is terminated in circumstances related to a possible alternative transaction to the Arrangement. The Expense Fee may discourage other parties from attempting to propose a business transaction, even if such a transaction could provide better value to Shareholders than the Arrangement.

Shareholders will no longer hold an interest in the Corporation following the Arrangement.

Following the Arrangement, Shareholders will no longer hold any of the Shares and Shareholders will forego any future increase in value that might result from future growth and the potential achievement of the Corporation’s long-term plans.

The Corporation’s business relationships may be subject to disruption due to uncertainty associated with the Arrangement.

Parties with which the Corporation currently does business or may do business in the future may experience uncertainty associated with the Arrangement, including with respect to current or future business relationships with the Corporation, the Parent or the Purchaser. Such uncertainty could be materially adverse to the business, financial condition, results of operations or prospects of the Corporation.

While the Arrangement is pending, the Corporation is restricted from taking certain actions.

The Arrangement Agreement restricts the Corporation from taking specified actions without the consent of the Parent until the Arrangement is completed. These restrictions may prevent the Corporation from pursuing attractive business opportunities that may arise prior to the completion of the Arrangement. Such restrictions include those items detailed in the section entitled “The Arrangement Agreement – Covenants – Conduct of Business of the Corporation” and “The Arrangement Agreement – Covenants – Restrictions on Solicitations of Other Offers”.

Certain directors and executive officers of the Corporation may have interests in the Arrangement that may be different from, or in addition to, the interests of Shareholders generally.

Certain directors and officers of the Corporation may have interests in the Arrangement that may be different from, or in addition to, the interests of Shareholders generally, including those

 

- 116 -


Table of Contents

interests discussed under the heading “The Arrangement – Interest of the Corporation’s Directors and Officers in the Arrangement”. In considering the recommendation of the Board to vote in favour of the Arrangement Resolution, Shareholders should consider these interests.

Completion of the Arrangement is subject to the Required Shareholder Approval.

There can be no certainty, nor can the Corporation provide assurance, that the Required Shareholder Approval will be obtained. If such approval is not obtained and the Arrangement is not completed, the market price of the Shares may decline to the extent that the current market price reflects a market assumption that the Arrangement will be completed. If the Arrangement is not completed and the Board decides to seek another arrangement or alternative transaction, there can be no assurance that it will be able to find a party willing to pay an equivalent or greater price for the Shares than the Consideration to be paid pursuant to the Arrangement.

Applicable tax authorities may not agree with the discussion regarding tax matters included in this Proxy Statement.

There can be no assurance that the Canada Revenue Agency, the U.S. tax authorities or other applicable taxing authorities will agree with the disclosure regarding Canadian federal income tax and the U.S. tax consequences of the Arrangement, as applicable, as set forth in this Proxy Statement.

The Corporation expects to be a “passive foreign investment company” or “PFIC”, which may result in adverse U.S. federal income tax consequences for U.S. Shareholders.

The Corporation believes that it was classified as a PFIC during its most recently completed tax year and based on the nature of the Corporation’s business, the projected composition of its gross income and the projected composition and estimated fair market value of its assets, the Corporation expects to be a PFIC for its current tax year. If the Corporation is or was a PFIC for any year during a U.S. Holder’s (as defined above) holding period of Shares, then such U.S. Holder generally will be required to treat any gain realized upon a disposition of the Shares as ordinary income, and to pay an interest charge on a portion of such gain. In certain circumstances, the sum of the tax and the interest charge may exceed the total amount of proceeds realized on the disposition by the U.S. taxpayer. Subject to certain limitations, these tax consequences may be mitigated if a U.S. taxpayer has in place a timely and effective QEF Election (as defined above) or a Mark-to-Market Election (as defined above). This paragraph is qualified in its entirety by the discussion above under the heading “Certain U.S. Federal Income Tax Considerations - Passive Foreign Investment Company Rules”. Each Shareholder who is a U.S. Holder should consult its own tax advisor regarding the tax consequences of the PFIC rules and the Arrangement.

The Corporation will continue to face a number of risks regarding its business and prospects if the Arrangement is not completed.

If the Arrangement is not completed, the Corporation will continue to face the risks that it currently faces with respect to its affairs, business and operations and future prospects. Such risks include those set forth and described in the “Risk Factors” sections of the Corporation’s most recent Annual Report on Form 10-K and Quarterly Reports on Form 10-Qs, and other documents filed with the SEC and the Canadian Securities Administrators, copies of which can be found under the Corporation’s profile on SEDAR+ at www.sedarplus.ca and EDGAR at www.sec.gov/edgar.

 

- 117 -


Table of Contents

PROCEDURES FOR SURRENDER OF SHARES AND RECEIPT OF CONSIDERATION

If the Arrangement is completed, Shareholders will be entitled to receive the Consideration in respect of each Share, which is equal to C$2.41 in cash per Share, subject to applicable withholdings and other source deductions.

From and after the Effective Time, all certificates, DRS statements or book-entry holdings that represented the Shares immediately prior to the Effective Time will cease to represent any rights with respect to such Shares, and will only represent the right to receive the Consideration or, in the case of the Dissenting Shareholders, the right to receive fair value for their Shares.

Enclosed with this Proxy Statement is a form of Letter of Transmittal which, when properly completed and duly executed and returned together with any certificate(s) or DRS statement(s) representing Shares and all other required documents, will enable each registered Shareholder (other than Dissenting Shareholders) to obtain the Consideration that such registered Shareholder is entitled to receive under the Arrangement.

The form of Letter of Transmittal contains complete instructions on how to exchange the certificate(s) or DRS statement(s) representing the Shares for the Consideration under the Arrangement. A registered Shareholder will not receive Consideration under the Arrangement until after the Arrangement is completed and the registered Shareholder has returned their properly completed documents, including the Letter of Transmittal and any certificate(s) or DRS statement(s) representing the Shares to the Depositary.

Only registered Shareholders are required to submit a Letter of Transmittal. A Beneficial Shareholder holding Shares through an Intermediary should contact that Intermediary for instructions and assistance in depositing their Shares and carefully follow any instructions provided by such Intermediary.

Upon the surrender by a registered Shareholder to the Depositary for cancellation of a certificate or DRS statement which immediately prior to the Effective Time represented outstanding Shares together with a duly completed and executed Letter of Transmittal and such additional documents and instruments as the Depositary may reasonably require, the Depositary shall deliver to such registered Shareholder a cheque, wire or other form of immediately available funds representing the Consideration which such registered Shareholder has the right to receive under the Plan of Arrangement for such Shares less any amounts withheld pursuant to the Plan of Arrangement, and any certificate or DRS statement so surrendered shall forthwith be cancelled. Upon receipt of a customary “agent’s message” by the Depositary with respect to book-entry Shares, and such additional documents and instruments as the Depositary may reasonably require, the Depositary shall deliver to the holder of such book-entry Shares, a cheque, wire or other form of immediately available funds representing the Consideration that such holder has the right to receive under the Arrangement for such book-entry Shares, less any amounts withheld pursuant to the Plan of Arrangement, and any book-entry Shares so surrendered shall forthwith be cancelled.

No registered Shareholder shall be entitled to receive any consideration with respect to such Shares other than any cash payment to which such holder is entitled to receive in accordance with the Plan of Arrangement and no such registered Shareholder will be entitled to receive any interest, dividends, premium or other payment in connection therewith.

 

- 118 -


Table of Contents

The method of delivery of certificates or DRS statements representing Shares and all other required documents is at the option and risk of the registered Shareholder depositing their Shares. Any use of mail to transmit certificate(s) or DRS statement(s) representing Shares and the Letter of Transmittal is at each registered Shareholder’s risk and documents so mailed shall be deemed to have been received by Aptose upon actual receipt by the Depositary. Aptose recommends that such certificate(s), DRS statement(s), and other documents be delivered by hand to the Depositary and a receipt therefor be obtained or that registered mail be used (with proper acknowledgment) and appropriate insurance be obtained.

In the event any certificate which immediately prior to the Effective Time represented one or more outstanding Shares that were transferred pursuant to the Plan of Arrangement shall have been lost, stolen or destroyed, upon the making of an affidavit of that fact by the person claiming such certificate to be lost, stolen or destroyed, the Depositary will issue in exchange for such lost, stolen or destroyed certificate, a cheque, wire or other form of immediately available funds for the Consideration that such Shareholder has the right to receive in accordance with the Plan of Arrangement and such Shareholder’s Letter of Transmittal. When authorizing such payment in exchange for any lost, stolen or destroyed certificate, the person to whom such cash is to be delivered shall as a condition precedent to the delivery of such payment, give a bond satisfactory to the Purchaser and the Depositary (each acting reasonably) in such sum as the Purchaser may direct, and shall indemnify the Purchaser, Aptose and the Depositary in a manner satisfactory to the Purchaser, Aptose and the Depositary (each acting reasonably) against any claim that may be made against the Purchaser, Aptose and the Depositary with respect to the certificate alleged to have been lost, stolen or destroyed.

Cancellation of Rights

Until surrendered to the Depositary in accordance with the Plan of Arrangement, each certificate and DRS statement that immediately prior to the Effective Time represented Shares shall be deemed after the Effective Time to represent only the right to receive upon such surrender the Consideration which the holder is entitled to receive in lieu of such certificate or DRS statement, less any amounts withheld in accordance with the Plan of Arrangement. Any such certificate or DRS statement formerly representing Shares not duly surrendered on or before the sixth anniversary of the Effective Date shall cease to represent a claim by or interest of any former holder of Shares of any kind or nature against or in Aptose. On such date, the Consideration to which such former holder was entitled shall be deemed to have been surrendered to the Purchaser or Aptose, as applicable, and shall be paid over by the Depositary to the Purchaser or as directed by the Purchaser.

Any payment made by way of cheque by the Depositary (or Aptose, if applicable) pursuant to the Plan of Arrangement that has not been deposited or has been returned to the Depositary (or Aptose) or that otherwise remains unclaimed, in each case, on the sixth anniversary of the Effective Time, and any right or claim to payment hereunder that remains outstanding on the sixth anniversary of the Effective Time shall cease to represent a right or claim of any kind or nature and the right of the holder to receive the applicable consideration for the Shares pursuant to the Plan of Arrangement shall terminate and be deemed to be surrendered and forfeited to the Purchaser or Aptose, as applicable, for no consideration.

Payment of Consideration by the Purchaser

The Purchaser and the Parent will, prior to the Effective Time, provide or cause to be provided to the Depositary with sufficient cash (to be held in escrow until the Effective Time (the terms and

 

- 119 -


Table of Contents

conditions of such escrow to be satisfactory to Aptose and the Parent, each acting reasonably)) to satisfy the aggregate Consideration payable pursuant to the Plan of Arrangement and, pursuant to a depositary agreement with the Depositary, by wire transfer to be initiated prior to the Effective Time.

Depositary Services

The Depositary will formally be appointed to act as depositary for the Arrangement for the receipt of certificates representing Shares and the Letter of Transmittal and for the purposes of delivering the Consideration payable to Shareholders. The terms and conditions of such appointment will be set out in an agreement to be entered into prior to the Effective Date. The Depositary will receive reasonable and customary compensation for its services in connection with the Arrangement, will be reimbursed for certain out-of-pocket expenses and will be indemnified by the Corporation, the Parent and the Purchaser against certain liabilities and expenses in connection therewith.

 

- 120 -


Table of Contents

DISSENT RIGHTS

The following description of the rights of Shareholders wishing to exercise Dissent Rights is not a comprehensive statement of the procedures to be followed by a Dissenting Shareholder who seeks payment of the fair value of its Shares and is qualified in its entirety by the reference to the full text of Section 190 of the CBCA, which is set forth in Appendix I of this Proxy Statement, and Section 191 of the ABCA, which is set forth in Appendix J of this Proxy Statement, as modified by the Interim Order, a copy of which is attached to this Proxy Statement as Appendix G and the Plan of Arrangement, a copy of which is attached as Appendix C to this Proxy Statement. The statutory procedures dealing with the right of dissent are technical and complex. A Shareholder who intends to exercise Dissent Rights should carefully consider and comply with the provisions of Section 190 of the CBCA or Section 191 of the ABCA, as modified by the Interim Order and the Plan of Arrangement, as applicable and seek legal advice. Failure to comply with the provisions of the CBCA or the ABCA, as so modified by the Interim Order and the Plan of Arrangement, as applicable, and to adhere to the procedures established therein may result in the loss of all rights thereunder.

Dissent Rights of Shareholders to the Continuance

Under the CBCA, a registered Shareholder is entitled, in addition to any other right such holder may have, to dissent to the Continuance Resolution and, upon strict compliance with the CBCA, to be paid the fair value of the Shares held by such Dissenting Shareholder in respect of which such Shareholder dissents, determined as of the close of business on the last Business Day before the day on which the Continuance Resolution is adopted.

Only registered Shareholders may dissent with respect to the Continuance. Persons who are Beneficial Shareholders of Shares registered in the name of an Intermediary who wish to dissent should be aware that they may only do so through the registered owner of such Shares. A registered Shareholder, such as a broker, who holds Shares as nominee for Beneficial Shareholders, some of whom wish to dissent, must exercise Dissent Rights on behalf of a Beneficial Shareholder with respect to all of the Shares held for such Beneficial Shareholder. In such case, the demand for dissent should set forth the number of Shares covered by such objection.

The dissent procedures require that a registered Shareholder who wishes to exercise dissent rights send Aptose a written notice to inform Aptose of his, her or its intention to exercise dissent rights, which notice must be received by Aptose at its registered office located at 66 Wellington Street West, Suite 5300, TD Bank Tower Box 48, Toronto ON M5K 1E6, Attention: Charles-Antoine Soulière, not later than 5:00 p.m. (Eastern time) on the day that is two Business Days immediately preceding the date of the Meeting (as it may be adjourned or postponed from time to time). Failure to strictly comply with the provisions of Section 190 of the CBCA may result in loss of the Dissent Right.

Pursuant to the CBCA, Aptose shall, within 10 days after the Shareholders approve the Continuance Resolution, send to each Dissenting Shareholder that has complied with the requirement of the CBCA, notice that the Continuance Resolution has been approved. Within 20 days of receiving such notice, a Dissenting Shareholder shall send a written notice (the “Continuance Dissent Notice”) containing (a) the Shareholder’s name and address, (b) the number and class of Shares in respect of which the Shareholder dissents, and (c) a demand for payment of the fair value of such Shares. Within 30 days after sending the Continuance Dissent Notice, the Shareholder shall send Aptose or its transfer agent certificates or DRS statements representing the Shares in respect of which the Shareholder

 

- 121 -


Table of Contents

dissents. A Dissenting Shareholder who fails to send its certificates or DRS statement(s) has no right to make a claim for payment.

Not later than seven days after the later of the day on which the Continuance becomes effective or the day the Corporation receives the Continuance Dissent Notice, Aptose shall send to each Dissenting Shareholder who has sent a Continuance Dissent Notice a written offer to pay for the Shares in an amount considered by the directors to be the fair value of the Shares, accompanied by a statement showing how the fair value of the Shares was determined.

Upon the Dissenting Shareholder sending a Continuance Dissent Notice, the Dissenting Shareholder will cease to have any rights as a Shareholder, other than the right to be paid the fair value of such holder’s Shares. Until such time as Aptose makes an offer as set out above, the Dissenting Shareholder may withdraw the Dissenting Shareholder’s Continuance Dissent Notice, or if the Continuance has not yet become effective, Aptose may abandon the Continuance, and in either event the dissent and appraisal proceedings in respect of that Dissenting Shareholder will be discontinued.

If Aptose fails to make an offer, or if the offer is rejected by a Dissenting Shareholder, Aptose may, within 50 days after the Continuance becomes effective, apply to a court of competent jurisdiction to fix a fair value for the Shares of any Dissenting Shareholder. If Aptose fails to make a court application, a Dissenting Shareholder may apply to a court for the same purpose within a further period of 20 days.

A Dissenting Shareholder is not required to give security for costs in respect of an application and, except in special circumstances, will not be required to pay the costs of the application or appraisal. On the application, all Dissenting Shareholders whose Shares have not been purchased by Aptose shall be joined as parties and are bound by the decision of the court. Aptose must notify each affected Dissenting Shareholder of the date, place and consequences of the application and of their right to appear. The court of competent jurisdiction will make an order fixing the fair value of the Shares of all Dissenting Shareholders, giving judgment in that amount against Aptose, and in favour of each Dissenting Shareholder. The court of competent jurisdiction may in its discretion allow a reasonable rate of interest on the amount payable to each Dissenting Shareholder calculated from the date on which the Continuance becomes effective, until the date of payment.

Aptose will not make a payment to a Dissenting Shareholder under Section 190 of the CBCA if there are reasonable grounds for believing that Aptose would after the payment be unable to pay its liabilities as they become due, or that the realizable value of the assets of Aptose would thereby be less than the aggregate of its liabilities. In such event, Aptose shall (a) within seven after the later of the day on which the Continuance becomes effective or the day Aptose received the Continuance Dissent Notice, (b) within 10 days of the pronouncement of an order of the court fixing the fair value of the Shares of all Dissenting Shareholders, or (c) within 10 days of the acceptance by a Dissenting Shareholder of an offer made by Aptose, as applicable, notify each Dissenting Shareholder that it is unable to lawfully pay its Dissenting Shareholders for their Shares. In such an event, a Dissenting Shareholder may, within 30 days after receipt of such notice, withdraw such Dissenting Shareholder’s written objection, in which case Aptose shall be deemed to consent to the withdrawal and such Dissenting Shareholder shall be reinstated with full rights as a Shareholder, failing which such Dissenting Shareholder retains status as a claimant against Aptose, to be paid as soon as Aptose is lawfully entitled to do so or, in a liquidation, to be ranked subordinate to the rights of creditors of Aptose, but in priority to the Shareholders.

 

- 122 -


Table of Contents

Unless otherwise waived, it is a condition to the completion of the Arrangement that holders of not more than 5.0% of the issued and outstanding Shares shall have exercised their Dissent Rights that have not been withdrawn as of the Effective Date with respect to the Continuance Resolution.

Dissent Rights of Shareholders to the Arrangement

Pursuant to the Plan of Arrangement and the Interim Order, registered Shareholders who comply with the procedures set out in Section 191 of the ABCA, as modified by the Plan of Arrangement and the Interim Order, are entitled to dissent in respect of the Arrangement Resolution. Set out below is a summary of the provisions of Section 191 of the ABCA, as modified by the Plan of Arrangement and the Interim Order, relating to a Shareholder’s Dissent Rights.

A Court hearing the application for the Final Order has the discretion to alter the Dissent Rights described herein based on the evidence presented at such hearing. Subject to certain tests as described below, pursuant to the Interim Order, Dissenting Shareholders are entitled, in addition to any other right such Dissenting Shareholder may have, to dissent and to be paid by the Purchaser the fair value of the Shares held by such Dissenting Shareholder in respect of which such Dissenting Shareholder dissents, determined as of the close of business on the last Business Day before the day on which the Arrangement Resolution was adopted. A Dissenting Shareholder may dissent only with respect to all of the Shares held by such Dissenting Shareholder or on behalf of any one Beneficial Shareholder and registered in the Dissenting Shareholder’s name. Only registered Shareholders may dissent. Persons who are Beneficial Shareholders of Shares registered in the name of an Intermediary who wish to dissent should be aware that they may only do so through the registered owner of such Shares. A registered Shareholder, such as a broker, who holds Shares as nominee for Beneficial Shareholders, some of whom wish to dissent, must exercise their Dissent Right on behalf of a Beneficial Shareholder with respect to all of the Shares held for such Beneficial Shareholder. In such case, the demand for dissent should set forth the number of Shares covered by it.

Dissenting Shareholders must provide a written objection to the Arrangement Resolution to Aptose at its registered office located at 66 Wellington Street West, Suite 5300, TD Bank Tower Box 48, Toronto ON M5K 1E6, Attention: Charles-Antoine Soulière, not later than 5:00 p.m. (Eastern time) on the day that is two Business Days immediately preceding the date of the Meeting (as it may be adjourned or postponed from time to time). No Shareholder who has voted in favour of the Arrangement Resolution shall be entitled to dissent with respect to the Arrangement.

The Purchaser or a Dissenting Shareholder may apply to the Court, by way of an origination application, after the approval of the Arrangement Resolution, to fix the fair value of the Dissenting Shareholder’s Shares. If such an application is made to the Court by either the Purchaser or a Dissenting Shareholder, the Purchaser must, unless the Court orders otherwise, send to each Dissenting Shareholder a written offer to pay the Dissenting Shareholder an amount, considered by the Purchaser, to be the fair value of the Shares held by such Dissenting Shareholders. The offer, unless the Court orders otherwise, must be sent to each Dissenting Shareholder at least ten days before the date on which the application is returnable, if the Purchaser is the applicant, or within ten days after the Purchaser is served a copy of the origination application, if a Dissenting Shareholder is the applicant. Every offer will be made on the same terms to each Dissenting Shareholder of Shares and contain or be accompanied with a statement showing how the fair value was determined.

A Dissenting Shareholder may make an agreement with the Purchaser for the purchase of such holder’s Shares in the amount of the offer made by the Purchaser, or otherwise, at any time before the Court pronounces an order fixing the fair value of the Shares.

 

- 123 -


Table of Contents

A Dissenting Shareholder will not be required to give security for costs in respect of an application and, except in special circumstances, will not be required to pay the costs of the application or appraisal. On the application, the Court will make an order fixing the fair value of the Shares of all Dissenting Shareholders who are parties to the application, giving judgment in that amount against the Purchaser and in favour of each of those Dissenting Shareholders, and fixing the time within which the Purchaser must pay the amount payable to each Dissenting Shareholder calculated from the date on which the Dissenting Shareholder ceases to have any rights as a Shareholder, until the date of payment.

On the Arrangement becoming effective, or upon the making of an agreement between the Purchaser and the Dissenting Shareholder as to the payment to be made to the Dissenting Shareholder, or upon the pronouncement of a Court order, whichever first occurs, the Dissenting Shareholder will cease to have any rights as a Shareholder other than the right to be paid the fair value of such holder’s Shares in the amount agreed to or in the amount of the judgment, as the case may be. Until one of these events occurs, the Dissenting Shareholder may withdraw the Dissenting Shareholder’s dissent, or if the Arrangement has not yet become effective, the Corporation may rescind the Arrangement Resolution, and in either event, the dissent and appraisal proceedings in respect of that Dissenting Shareholder will be discontinued.

The Purchaser shall not make a payment to a Dissenting Shareholder under Section 191 of the ABCA if there are reasonable grounds for believing that it is or would after the payment be unable to pay its liabilities as they become due, or that the realizable value of its assets would thereby be less than the aggregate of its liabilities. In such event, it shall notify each Dissenting Shareholder that it is unable lawfully to pay Dissenting Shareholders for their Shares, in which case the Dissenting Shareholder may, by written notice to the Corporation within 30 days after receipt of such notice, withdraw such holder’s written objection, in which case the holder shall be deemed to have participated in the Arrangement as a Shareholder. If the Dissenting Shareholder does not withdraw such holder’s written objection, such Dissenting Shareholder retains status as a claimant against the Purchaser to be paid as soon as the Purchaser is lawfully entitled to do so or, in a liquidation, to be ranked subordinate to the rights of creditors of the Purchaser but in priority to its shareholders.

All Shares held by Dissenting Shareholders who exercise their Dissent Rights will, if the holders do not otherwise withdraw such holder’s written objection, be deemed to be transferred to the Purchaser under the Arrangement, and cancelled in exchange for the fair value thereof or will, if such Dissenting Shareholders ultimately are not so entitled to be paid the fair value thereof, be treated as if the holder had participated in the Arrangement on the same basis as a non dissenting holder of Shares and such Shareholder’s Shares will be deemed to be exchanged for the Consideration on the same basis as all other Shareholders.

The above summary does not purport to provide a comprehensive statement of the procedures to be followed by Dissenting Shareholders who seek payment of the fair value of their Shares. Section 191 of the ABCA, other than as amended by the Plan of Arrangement and the Interim Order, requires adherence to the procedures established therein and failure to do so may result in the loss of all rights thereunder. Accordingly, Dissenting Shareholders who might desire to exercise the right to dissent and appraisal should carefully consider and comply with the provisions of Section 191 of the ABCA, Appendix J, as modified by the Interim Order, a copy of which is attached to this Proxy Statement as Appendix G and the Plan of Arrangement, a copy of which is attached as Appendix C to this Proxy Statement, respectively, and consult their own legal advisor.

 

- 124 -


Table of Contents

Unless otherwise waived, it is a condition to the completion of the Arrangement that holders of not more than 5.0% of the issued and outstanding Shares shall have exercised their Dissent Rights that have not been withdrawn as of the Effective Date with respect to the Arrangement Resolution.

 

- 125 -


Table of Contents

PROPOSAL NO. 1 – CONTINUANCE RESOLUTION

The Corporation is asking its Shareholders to approve the Continuance Resolution, a copy of which is attached as Appendix A to this Proxy Statement.

Vote Required

Pursuant to the CBCA, in order for the Continuance Resolution to become effective, the Continuance Resolution must be passed by an affirmative vote of not less than 6623% of the votes cast on the Continuance Resolution by the Shareholders, virtually present or represented by proxy at the Meeting, each being entitled to one vote per Share.

The failure to vote and broker non-votes, if any, will have no effect on the outcome of this proposal. Broker non-votes are shares held by a broker or other nominee that are virtually present or represented at a meeting, but with respect to which the broker or other nominee is not instructed by the beneficial owner of such shares to vote on the particular proposal and the broker does not have discretionary voting power on such proposal.

If you sign and return a proxy and do not indicate how you wish to vote on the Continuance Resolution, your Shares will be voted in favour of the proposal.

Unless you have specified in the enclosed form of proxy that the votes attaching to the Shares represented by the proxy are to be voted against the Continuance Resolution on any ballot that may be called for, the management representatives designated in the enclosed form of proxy intend to vote the Shares in respect of which they are appointed proxy FOR the Continuance Resolution.

Board Recommendation

The Board unanimously recommends a vote “FOR” the Continuance Resolution.

PROPOSAL NO. 2 – ARRANGEMENT RESOLUTION

The Corporation is asking its Shareholders to approve the Arrangement Resolution, a copy of which is attached as Appendix D to this Proxy Statement. For a summary and detailed information regarding this proposal, see the information about the Arrangement Agreement and the Arrangement throughout this Proxy Statement, including the information in the sections entitled “The Arrangement” and “The Arrangement Agreement”. Copies of the Arrangement Agreement and the Plan of Arrangement are attached as Appendix B and Appendix C, respectively, to this Proxy Statement. We urge you to read the full text of the Arrangement Agreement and Plan of Arrangement.

Vote Required

Pursuant to the ABCA and the Interim Order, in order for the Arrangement Resolution to become effective, the Arrangement Resolution must be passed by (1) an affirmative vote of not less than 6623% of the votes cast on the Arrangement Resolution by the Shareholders, virtually present or represented by proxy at the Meeting, each being entitled to one vote per Share and (2) an affirmative vote of a majority of the votes cast by the Shareholders virtually present or represented by proxy at the Meeting, each being entitled to one vote per Share, after excluding the votes of those Persons whose votes are required to be excluded under MI 61-101.

 

- 126 -


Table of Contents

To the knowledge of the Corporation, the only holder of Shares that qualifies as an “interested party” or “related party” of an “interested party” is the Parent. Accordingly, any Shares held, directly or indirectly, by the Parent will be excluded from the vote of the Minority Shareholders. As of the date hereof, to the knowledge of the Corporation, the Parent beneficially owns or exercises control or direction over, directly or indirectly, an aggregate of 508,710 Shares, representing in the aggregate approximately 19.93% of the outstanding Shares, on an undiluted basis. As such, to the knowledge of the Corporation, after reasonable inquiry, of the 2,552,429 Shares issued and outstanding as of the Record Date, 2,043,719 Shares can be voted in respect of the Minority Approval Vote.

Pursuant to the terms of the Arrangement Agreement, in certain circumstances where the Corporation fails to complete the Arrangement, the Corporation will be required to commence without delay the Alternative CCAA Proceedings.

The failure to vote and broker non-votes, if any, will have no effect on the outcome of this proposal. Broker non-votes are shares held by a broker or other nominee that are virtually present or represented at a meeting, but with respect to which the broker or other nominee is not instructed by the beneficial owner of such shares to vote on the particular proposal and the broker does not have discretionary voting power on such proposal.

If you sign and return a proxy and do not indicate how you wish to vote on the Arrangement Resolution, your Shares will be voted in favour of the proposal.

Unless you have specified in the enclosed form of proxy that the votes attaching to the Shares represented by the proxy are to be voted against the Arrangement Resolution on any ballot that may be called for, the management representatives designated in the enclosed form of proxy intend to vote the Shares in respect of which they are appointed proxy FOR the Arrangement Resolution.

Board Recommendation

The Board unanimously recommends a vote “FOR” the Arrangement Resolution.

 

- 127 -


Table of Contents

INTEREST OF CERTAIN PERSONS IN MATTERS TO BE ACTED UPON

Other than as disclosed in this Proxy Statement, none of the directors or executive officers of the Corporation, none of the persons who have been directors or executive officers of the Corporation at any time since January 1, 2024, and none of the associates or affiliates of any of the foregoing has any material interest, direct or indirect, by way of beneficial ownership of securities or otherwise, in any matter scheduled to be acted upon at the Meeting.

DELINQUENT SECTION 16(A) REPORTS

Section 16(a) of the Exchange Act requires our directors and executive officers and all persons who beneficially own more than 10 percent of our outstanding Shares to file with the SEC initial reports of changes in ownership of our Shares. To our knowledge, based on a review of the copies of such reports and amendments to such reports furnished to us with respect to the year ended December 31, 2024, and based on written representations by our directors and executive officers, all required Section 16(a) reports under the Exchange Act for our directors, executive officers, and beneficial owners of greater than 10 percent of our Shares were filed on a timely basis during the year ended December 31, 2024.

HOUSEHOLDING OF PROXY MATERIALS

Some banks, brokers and other nominee record holders may be participating in the practice of “householding” proxy statements and annual reports. This means that only one copy of our Notice of Internet Availability of Proxy Materials, proxy materials or annual report to Shareholders may have been sent to multiple Shareholders in each household unless otherwise instructed by such Shareholders. We will deliver promptly a separate copy of these documents to any Shareholder upon written or oral request to our Senior Vice President, Chief Financial Officer, Chief Business Officer and Corporate Secretary at Aptose Biosciences Inc., Suite 120, 12770 High Bluff Drive, San Diego, California, telephone: 858-926-2730. Any Shareholder who wants to receive separate copies of our Notice of Internet Availability of Proxy Materials, proxy materials or annual report to Shareholders in the future, or any Shareholders who is receiving multiple copies and would like to receive only one copy per household, should contact the Shareholder’s bank, broker, or other nominee record holder, or the Shareholder may contact us at the above address and phone number.

DIRECTORS AND OFFICERS’ LIABILITY

We purchase and maintain liability insurance for the benefit of directors and officers to cover liability incurred by such person in such capacities. The policy provides for coverage in the amount of $15,000,000. The annual premium payable by the Corporation for directors’ and officers’ liability insurance for the year ended December 31, 2024 was approximately $581,150.

ADDITIONAL INFORMATION

Additional information relating to us, including our most current Annual Report on Form 10-K (together with documents incorporated therein by reference), our consolidated financial statements for the year ended December 31, 2024, the report of the independent registered public accounting firm thereon, management’s discussion and analysis of our financial condition and results of operations for the year ended December 31, 2024, our financial statements for the three and nine months ended September 30, 2025 and management’s discussion and analysis of our financial condition and results for the three and nine months ended September 30, 2025 can be found by accessing the SEC’s EDGAR filing database at www.sec.gov and on SEDAR+ at www.sedarplus.ca.

 

- 128 -


Table of Contents

You may obtain any of the documents incorporated by reference from the SEC’s EDGAR filing database described above. Copies of those documents are available upon written request to the Senior Vice President, Chief Financial Officer, Chief Business Officer and Corporate Secretary at Aptose Biosciences Inc., Suite 120, 12770 High Bluff Drive, San Diego, California, free of charge to our securityholders. Our financial information is provided in our consolidated financial statements for the year ended December 31, 2024 and management’s discussion and analysis of our financial condition and results of operations for the year ended December 31, 2024.

If you would like to request documents, please do so by ●, 2026 to receive them before the Meeting. If you request any incorporated documents, the Corporation undertakes to mail them to you by first-class mail, or another equally prompt means, within one business day of receipt of your request.

You should rely only on the information contained in this Proxy Statement, including the appendices attached hereto or the information incorporated by reference herein, to vote your Shares at the Meeting. The Corporation has not authorized anyone to provide you with information that differs from that contained in this Proxy Statement. Therefore, if anyone does give you information of this sort, you should not rely on it. This Proxy Statement is dated ●, 2026. You should not assume that the information contained in this Proxy Statement is accurate as of any date other than that date, and the mailing of this Proxy Statements to Shareholders will not create any implication to the contrary.

THIS PROXY STATEMENT DOES NOT CONSTITUTE THE SOLICITATION OF A PROXY IN ANY JURISDICTION TO OR FROM ANY PERSON TO WHOM OR FROM WHOM IT IS UNLAWFUL TO MAKE SUCH PROXY SOLICITATION IN THAT JURISDICTION. YOU SHOULD RELY ONLY ON THE INFORMATION CONTAINED OR INCORPORATED BY REFERENCE INTO THIS PROXY STATEMENT TO VOTE YOUR SHARES AT THE MEETING.

 

- 129 -


Table of Contents

GLOSSARY OF TERMS

Capitalized terms used but not specifically defined in this “Glossary of Terms” are defined in the Proxy Statement.

1% Exemption” has the meaning specified under “Principal Legal Matters - Collateral Benefit”.

A&R Facility” has the meaning specified under “Important Information Regarding the Corporation - Amended and Restated Loan Agreement”.

A&R Loan Agreement” has the meaning specified under “Important Information Regarding the Corporation - Amended and Restated Loan Agreement”.

ABCA” means the Business Corporations Act (Alberta).

ASC” means the Alberta Securities Commission.

Acquisition Proposal” means, other than the transactions contemplated by the Arrangement Agreement and other than any transaction between the Corporation, on the one hand, and one or more of its wholly-owned Subsidiaries, on the other hand, any offer, proposal, indication of interest or inquiry (written or oral) from any Person or group of Persons other than the Parent or the Purchaser (or any affiliate of the Parent or the Purchaser) after the date of the Arrangement Agreement relating to (a) any direct or indirect sale, disposition, alliance or joint venture (or any lease, license, long-term supply agreement or other arrangement having the same economic effect as a sale), in a single transaction or a series of transactions, of, or relating to, assets (including voting or equity securities of, or securities convertible into or exercisable or exchangeable for voting or equity securities of, Subsidiaries of the Corporation) representing a material portion of the Corporation Assets (based on the consolidated financial statements of the Corporation most recently filed on SEDAR+ prior to such inquiry, proposal, offer or indication of interest) or 20% or more of the voting or equity securities of the Corporation (including securities convertible into or exercisable or exchangeable for voting or equity securities), (b) any direct or indirect take-over bid, tender offer, exchange offer, treasury issuance, acquisition, exchange, transfer or other transaction, in a single transaction or a series of transactions, that, if consummated, would result in such Person or group of Persons beneficially owning, or exercising control or direction over, 20% or more of any class of voting or equity securities (including securities convertible into or exercisable or exchangeable for such voting or equity securities) of the Corporation then outstanding (assuming, if applicable, the conversion, exchange or exercise of such securities convertible into or exchangeable or exercisable for such voting or equity securities), or (c) any arrangement, merger, amalgamation, consolidation, security exchange, business combination, reorganization, recapitalization, liquidation, dissolution, winding up or exclusive license, in a single transaction or series of transactions involving the Corporation or any of its Subsidiaries, or (d) other similar transaction or series of transactions involving the Corporation or any of its Subsidiaries pursuant to which any Person or group of Persons would acquire beneficial ownership of 20% or more of any class of voting or equity securities of the Corporation or of the surviving entity or the resulting direct or indirect parent of the Corporation or the surviving entity (assuming, if applicable, the conversion, exchange or exercise of such securities convertible into or exchangeable or exercisable for such voting or equity securities).

affiliate” has the meaning specified in NI 45-106 as in effect on the date of the Arrangement Agreement.

 

- 130 -


Table of Contents

Allowable Capital Loss” has the meaning specified under “Certain Canadian Federal Income Tax Considerations - Holders Resident in Canada - Taxation of Capital Gains and Losses”.

Alternative CCAA Proceedings” means an application for the CCAA Order under the CCAA, as provided under the Arrangement Agreement.

AML” has the meaning specified under “Important Information Regarding the Corporation Loan Agreement”.

Armistice Warrants” has the meaning specified under “The Arrangement – Arrangement Steps”.

Arrangement” means an arrangement under Section 193 of the ABCA in accordance with the terms and subject to the conditions set out in the Plan of Arrangement, subject to any amendments or variations to the Plan of Arrangement made in accordance with the terms of the Arrangement Agreement or made at the direction of the Court in the Final Order with the prior written consent of the Corporation and the Purchaser, each acting reasonably.

Arrangement Agreement” means the arrangement agreement among the Parent, the Purchaser and the Corporation (including the Schedules thereto) as it may be amended, modified or supplemented from time to time in accordance with its terms.

Arrangement Dissenting Non-Resident Holder” has the meaning specified under “Certain Canadian Federal Income Tax ConsiderationsHolders Resident in Canada – Non-Resident Shareholders dissenting to the Arrangement”.

Arrangement Dissenting Resident Holder” has the meaning specified under “Certain Canadian Federal Income Tax ConsiderationsHolders Resident in Canada Resident Holders dissenting to the Arrangement”.

Arrangement Resolution” means the special resolution approving the Plan of Arrangement to be considered at the Meeting, substantially in the form of Appendix D to the accompanying Proxy Statement.

Articles of Arrangement” means the articles of arrangement of the Corporation in respect of the Arrangement, required by the ABCA to be filed with the Registrar after the Final Order is made, which shall include the Plan of Arrangement and otherwise be in a form and content satisfactory to the Corporation and the Purchaser, each acting reasonably.

Articles of Continuance” means the articles of continuance of the Corporation giving effect to the Continuance to be filed pursuant to the Arrangement Agreement.

associate” has the meaning specified in the Securities Act (Ontario) as in effect on the date of the Arrangement Agreement.

Authorization” means with respect to any Person, any certificate, consent, order, permit, approval, waiver, license, qualification, registration or similar authorization of any Governmental Entity having jurisdiction over such Person.

Black Scholes Amount” means in respect of each Armistice Warrant, the value of such warrant as of the Effective Date using the “Black Scholes” valuation model calculated in accordance with the terms of the applicable Armistice Warrant.

 

- 131 -


Table of Contents

Board” means the board of directors of the Corporation as constituted from time to time.

Board Recommendation” has the meaning specified under “The Arrangement – Background to the Arrangement”.

Breaching Party” has the meaning specified under “The Arrangement Agreement - Notice and Cure Provisions”.

Business Day” means any day of the year, other than a Saturday, Sunday or any day on which major banks are closed for business in Toronto, Ontario.

Business System” means all of the information technology assets, systems and services that are used by the Corporation or any of its Subsidiaries in the operation of the business of the Corporation or any of its Subsidiaries, including all computers, devices, computer hardware, operating system, firmware, middleware, server, workstation, router, hub, switch, data communications line, hosting infrastructure, subscribed data service, peripheral equipment or all other information technology equipment or element, software, database engine or processed data, technology infrastructure or other computer system or associated documentation.

CBCA” means the Canada Business Corporations Act.

CCAA” means the Companies’ Creditors Arrangement Act, R.S.C. 1985, c C-36, as amended, including the regulations promulgated thereunder.

CCAA Order” means an initial order and an amended and restated initial order under the CCAA.

CCAA Sale Transaction” has the meaning specified under “The Arrangement Agreement - Alternative CCAA Proceedings”.

Certificate of Arrangement” means the certificate of arrangement to be issued by the Registrar pursuant to Subsection 193(11) of the ABCA in respect of the Articles of Arrangement.

CFC” has the meaning specified under “Certain U.S. Federal Income Tax Considerations - Controlled Foreign Corporation Rules”.

Change in Recommendation” has the meaning specified under “The Arrangement Agreement – Termination”.

change of control” has the meaning specified under “The Arrangement Interest of the Corporation’s Directors and Officers in the Arrangement - Existing Arrangements with the Corporation’s Executive Officers”.

Code” means the United States Internal Revenue Code of 1986, as amended.

Collective Agreement” means any collective agreement, collective bargaining agreement or related document that is binding on the Corporation or any of its Subsidiaries, including any arbitration decision, letter or memorandum of understanding or agreement, letter of intent or other written communication with bargaining agents which covers or would pertain to the employment of any Employee and imposes any obligations upon the Corporation and/or any of its Subsidiaries.

 

- 132 -


Table of Contents

Consideration” means C$2.41 in cash per Share, without interest.

Continuance” means the continuance of the Corporation from a corporation incorporated under the CBCA to a corporation continued under the ABCA pursuant to Section 187 of the CBCA and Section 188 of the ABCA, such continuance to be effective on the filing of the Articles of Continuance by the Corporation and the issuance of a certificate of continuance by the Registrar.

Continuance Dissent Notice” has the meaning specified under “Dissent Rights - Dissent Rights of Shareholders to the Continuance”.

Continuance Dissenting Non-Resident Holder” has the meaning specified under “Certain Canadian Federal Income Tax Considerations - Holders Not Resident in Canada - Non-Resident Shareholders dissenting to the Continuance”.

Continuance Dissenting Resident Holder” has the meaning specified under “Certain Canadian Federal Income Tax Considerations - Holders Resident in Canada - Resident Holders dissenting to the Continuance”.

Continuance Resolution” means the special resolution of the Shareholders approving the Continuance to be considered at the Meeting.

Contract” means any written or oral agreement, commitment, engagement, contract, franchise, license, lease, sublease, obligation, note, bond, mortgage, indenture, deferred or conditioned sale agreement, general sales agent agreement, undertaking or joint venture, in each case, together with any amendment, modification or supplement thereto, to which the Corporation or any of its Subsidiaries is a party or by which the Corporation or any of its Subsidiaries is bound or affected or to which any of their respective properties or assets is subject.

Conversion Shares” has the meaning specified under “Important Information Regarding the Corporation Debt Conversion Agreement”.

Corporation” means Aptose Biosciences Inc., a corporation existing under the CBCA.

Corporation Assets” means all of the assets (tangible, corporeal, intangible and incorporeal), properties (real, immovable, personal or movable), rights, interests, Contracts or Authorizations (whether contractual or otherwise) owned, leased, licensed or otherwise used or held for use by the Corporation or any of its Subsidiaries, including the Leased Real Properties, equipment, fixtures, furniture, furnishings, office equipment, Corporation Intellectual Property, Business Systems and Corporation Data, supplies, materials and other assets.

Corporation Data” means any and all information and data, including any Personal Information, collected, processed or otherwise controlled or held by, or in the possession of, the Corporation or any of its Subsidiaries regarding the Corporation or its Subsidiaries’ current, former or prospective partners, customers, suppliers, processors, service providers, vendors, Employees, consultants, agents, independent contractors, temporary workers or any other Person.

Corporation Intellectual Property” means, collectively, the Owned Intellectual Property and the Licensed Intellectual Property.

Court” means the Court of King’s Bench of Alberta, or other court as applicable.

 

- 133 -


Table of Contents

CVRs” means contingent value rights.

Debt Conversion and Interest Payment Agreement” means the debt conversion and interest payment agreement between the Corporation and the Parent dated March 18, 2025.

Depositary” means Computershare Investor Services Inc., in its capacity as depositary for the Arrangement, or such other Person as the Corporation and the Purchaser mutually agree to engage as depositary for the Arrangement.

DIP Order” has the meaning specified under “The Arrangement Agreement - Alternative CCAA Proceedings”.

Director” means the Director appointed pursuant to Section 260 of the CBCA.

Dissent Rights” means the rights of dissent exercisable by Shareholders in respect of: (i) the Continuance Resolution, as provided by section 191 of the CBCA, and (ii) the Arrangement Resolution, as provided by the Plan of Arrangement.

DRS” means the direct registration system maintained by the Corporation’s transfer agent.

Drug Regulatory Agencies” means the FDA, the European Medicines Agency, the United Kingdom Medicines and Healthcare products Regulatory Agency and Health Canada and any corresponding drug, biologic, natural health product, controlled drug substance, narcotic, and medical device regulatory agencies within the world having jurisdiction over the Corporation and its business, including those that govern or implement health products and related activities (including personal health information), including development, regulatory and commercial activities.

EDGAR” means the Electronic Data Gathering, Analysis, and Retrieval system maintained for purposes of filings made under the Securities Act of 1933 (United States), as amended, the U.S. Exchange Act and other statutes.

Effective Date” means the date shown on the Certificate of Arrangement.

Effective Time” has the meaning specified in the Plan of Arrangement.

Employee Plan means any plan, arrangement, agreement, program, policy, practice or undertaking, whether written or oral, funded or unfunded, insured, self-insured or uninsured, registered or unregistered, that provides any employee benefit, fringe benefit, pension, retirement, deferred compensation, savings, profit-sharing, stock option, stock purchase, equity, bonus, incentive, commission, change of control, retention, termination, vacation pay, severance pay, supplemental unemployment benefit, health, welfare, medical, dental, disability, life insurance, employee assistance, and any similar plans, arrangements, Contracts, programs, policies, practices or undertakings, whether or not subject to Employee Retirement Income Security Act of 1974, as amended (ERISA), in each case: (a) for the benefit of present or former Employees, officers, directors, consultants, service providers or independent contractors of the Corporation or any of its Subsidiaries (or, in each case, any of their respective spouses, dependents, survivors or beneficiaries); (b) that is maintained, sponsored, contributed to or funded by or on behalf of the Corporation or any of its Subsidiaries; or (c) under which the Corporation or any of its Subsidiaries have, or could reasonably be expected to have, any liability or contingent liability.

 

- 134 -


Table of Contents

Employees” means all employees of the Corporation and its Subsidiaries, as the case may be, including part time and full-time employees, in each case, whether active or inactive, unionized or non-unionized.

ESPP” means the 2021 employee stock purchase plan of the Corporation.

Excluded Shares” means the Shares owned or beneficially controlled by the Parent, the Purchaser or any of their respective affiliates and associates.

Expense Fee” has the meaning specified under “Expense Fee”.

Facility” has the meaning specified under “Important Information Regarding the CorporationLoan Agreement”.

Facility Agreement” means the loan agreement between the Corporation and the Parent dated August 27, 2024.

Facility Agreements” means, collectively, the (i) Facility Agreement and the (ii) New Facility Agreement.

Fairness Opinion” means the opinion of Locust Walk Securities, LLC to the effect that, as of the date of such opinion, and based upon and subject to the assumptions, limitations and qualifications set forth therein, the Consideration to be received by the Shareholders (other than the Parent and any of its affiliates) under the Arrangement is fair, from a financial point of view, to such Shareholders.

FDA” means the United States Food and Drug Administration, or any successor entity.

Final Order” means the final order of the Court in a form acceptable to the Corporation and the Purchaser, each acting reasonably, approving the Arrangement, as such order may be amended by the Court (with the consent of both the Corporation and the Purchaser, each acting reasonably) at any time prior to the Effective Time or, if appealed, then, unless such appeal is withdrawn or denied, as affirmed or as amended (provided that any such amendment is acceptable to both the Corporation and the Purchaser, each acting reasonably) on appeal.

Foreign Tax Credit Regulations” has the meaning specified under “Certain U.S. Federal Income Tax Considerations - Foreign Tax Credits and Limitations”.

Formal Valuation” means the formal valuation of the Shares prepared by Locust Walk.

Governmental Entity” means any: (i) international, multinational, federal, provincial, state, territorial, municipal, local or other governmental or public department, regulatory authority, central bank, court, commission, commissioner, board, bureau, ministry, agency or instrumentality, domestic or foreign, and includes the Securities Authorities, (ii) any subdivision or authority of any of the foregoing, (iii) any quasi-governmental, self-regulatory organization or private body exercising any regulatory, expropriation or taxing authority under or for the account of its members or any of the above, including the TSX, SEC, the Canadian Investment Regulatory Organization (CIRO) and any other regulatory body, or (iv) any arbitrator exercising jurisdiction over the affairs of the applicable person, asset, obligation or other matter.

GST” means the goods and services tax and/or harmonized sales tax levied under the Excise Tax Act (Canada) and any similar tax imposed by any province of Canada.

 

- 135 -


Table of Contents

Hanmi Nominee” has the meaning specified under “Important Information Regarding the CorporationInvestor’s Rights Agreement”.

Hanmi Private Placement has the meaning specified under “Important Information Regarding the Corporation – Prior Stock Purchases”.

Hanmi Warrants has the meaning specified under “Important Information Regarding the Corporation – Prior Stock Purchases”.

Holder” has the meaning specified under “Certain Canadian Federal Income Tax Considerations”.

Incentive Compensation Plans” means the Legacy Option Plan, the Stock Incentive Plan and the ESPP.

Incentive Securities” means, collectively, the Options and the RSUs.

Indebtedness Amount” has the meaning specified under “Important Information Regarding the CorporationDebt Conversion Agreement”.

Institutional Review Board” means the entity defined in 21 C.F.R. § 50.3(i), or any other substantially equivalent entity in Canada.

Intellectual Property” means all intellectual property, in any jurisdiction throughout the world, whether or not registrable, including all: (a) patents, applications for patents and reissues, divisionals, continuations, renewals, re-examinations, extensions and continuations-in-part of patents or patent applications, (b) proprietary and non public business information, including inventions (whether patentable or not), invention disclosures, improvements, discoveries, trade secrets, confidential information, know-how, methods, models, formulas, algorithms, processes, designs, technology, technical data, schematics, formulae and customer lists, and documentation relating to any of the foregoing, (c) copyrights, copyright registrations and applications for copyright registration, (d) integrated circuit, topographies, integrated circuit topography registrations and applications, mask works, mask work registrations and applications, (e) designs, design registrations, design registration applications, industrial designs, industrial design registrations and industrial design applications, (f) trade names, business names, corporate names, domain names, social media accounts and user names, social media identifiers and identities, website names and world wide web addresses, common law trade-marks, trade-mark registrations, trade mark applications, trade dress and logos, and the goodwill associated with any of the foregoing, (g) all intellectual property rights in and to software and technology, and (h) any other intellectual property and industrial property rights throughout the world, however denominated, together with all licenses of and to any of the foregoing.

Interim Order” means the interim order of the Court in a form acceptable to the Corporation and the Purchaser, each acting reasonably, providing for, among other things, the calling and holding of the Meeting, as such order may be amended by the Court with the consent of the Corporation and the Purchaser, each acting reasonably.

Interest Payments” has the meaning specified under “Important Information Regarding the CorporationDebt Conversion Agreement”.

Investor Rights Agreement” has the meaning specified under “Important Information Regarding the CorporationInvestor’s Rights Agreement”.

IRS” means the United States Internal Revenue Service.

 

- 136 -


Table of Contents

Korea’s Foreign Exchange Transactions Act Filing” means the successful filing of the Arrangement Agreement under the Foreign Exchange Transactions Act (Korea).

Laws” means, with respect to any Person, any and all applicable laws, including all statutes, codes, ordinances, decrees, rules, regulations, municipal by-laws, judicial or arbitral or administrative or ministerial or departmental or regulatory judgments, orders, decisions or rulings of (or issued by) any Governmental Entity that is binding on or affecting such Person, and to the extent they have the force of law, all policies or guidelines of any Governmental Entity.

Lender” has the meaning specified under “Important Information Regarding the CorporationLoan Facility”.

Legacy Option Plan” means the Corporation’s share option plan.

Licensed Intellectual Property” means all Intellectual Property (a) which is not Owned Intellectual Property, and (b) in which the Corporation or a Subsidiary has a right, interest, benefit, license or permission to access, use, practice or otherwise enjoy or exploit, including pursuant to a Contract, covenant not to sue, custom or practice, Order or applicable Law.

Lien” means any mortgage, charge, pledge, hypothec, security interest, international interest, prior claim, encroachments, option, right of first refusal or first offer, occupancy right, covenant, assignment, lien (statutory or otherwise), defect of title, or restriction or adverse right or claim, or other third-party interest or encumbrance of any kind, in each case, whether contingent or absolute.

Loan” has the meaning specified under “Important Information Regarding the CorporationLoan Facility”.

Loan Agreement” has the meaning specified under “Important Information Regarding the CorporationLoan Agreement”.

Mark-to-Market Election” has the meaning specified under “Certain U.S. Federal Income Tax Considerations - Passive Foreign Investment Company Rules”.

Matching Period” has the meaning specified under “The Arrangement Agreement - Restrictions on Solicitations of Other Offers”.

Material Adverse Effect” means any fact, change, event, occurrence, effect, state of facts and/or circumstance that, individually or in the aggregate, is or would reasonably be expected to be material and adverse to the business, operations, results of operations, assets, properties, condition (financial or otherwise) or liabilities (contingent or otherwise) of the Corporation and its Subsidiaries, taken as a whole, except any such fact, change, event, occurrence, effect, state of facts or circumstance resulting from or arising in connection with:

 

  (a)

any change or development generally affecting the pharmaceutical industries in which the Corporation and/or its Subsidiaries operate;

 

  (b)

any changes, events or occurrences in general economic, business, regulatory, political, financial or currency exchange conditions in Canada or the United States, including changes in (i) financial markets, credit markets or capital markets, (ii) interest rates and credit ratings, (iii) inflation and (iv) currency exchange rates;

 

  (c)

any hurricane, flood, tornado, earthquake or other natural disaster, epidemic, pandemic or disease outbreak or any material worsening of such conditions existing as of the date of the Arrangement Agreement;

 

- 137 -


Table of Contents
  (d)

any act of sabotage, espionage, including any commencement or escalation of a war (whether or not declared), armed hostilities or acts of crime or terrorism;

 

  (e)

any change in Law, generally acceptable accounting principles, including U.S. GAAP, or changes in regulatory accounting or tax requirements, or in the interpretation, application or non-application of the foregoing by any Governmental Entity;

 

  (f)

any action taken (or omitted to be taken) by the Corporation or any of its Subsidiaries that is required to be taken (or prohibited to be taken) pursuant to the Arrangement Agreement or with the express prior written consent or at the written direction of the Purchaser;

 

  (g)

any change in the market price or trading volume of the Shares (it being understood that the causes underlying such change in market price or trading volume may, to the extent not otherwise excluded from the definition of Material Adverse Effect, be taken into account in determining whether a Material Adverse Effect has occurred);

 

  (h)

any Proceeding or threatened Proceeding relating to the Arrangement Agreement or the Arrangement (it being understood that the causes underlying such Proceeding may, to the extent not otherwise excluded from the definition of Material Adverse Effect, be taken into account in determining whether a Material Adverse Effect has occurred);

 

  (i)

the announcement of the Arrangement Agreement or the Arrangement or the pendency or consummation of the Arrangement or the transactions contemplated hereby; or

 

  (j)

the payment of accounts payable and accrued liabilities in the amounts funded by the Parent pursuant to the Facility Agreements,

 

  (k)

but, in the case of clauses (a) through to and including (e) above, only to the extent that such matter does not have a materially disproportionate effect on the Corporation and its Subsidiaries, taken as a whole, relative to other companies and entities operating in the pharmaceutical industry in which the Corporation and/or its Subsidiaries operate, and references in certain sections of the Arrangement Agreement to dollar amounts are not intended to be, and shall not be deemed to be, illustrative or interpretative for purposes of determining whether a Material Adverse Effect has occurred.

Material Contract” means any Contract:

 

  (a)

under which the Corporation or its Subsidiaries have made payments in excess of $500,000 during the fiscal year ended December 31, 2024, or is obligated to make payment in excess of $100,000 in any 12-month period;

 

  (b)

pursuant to which the Corporation or any of its Subsidiaries receives sales, advertising, agency, franchise, partner channel, reseller or representative services in excess of $100,000 in any 12-month period;

 

  (c)

providing for the purchase, sale or exchange of, or option to purchase, sell or exchange (including any put, call or similar right), any property or asset where the purchase or sale price or agreed value of such property or asset exceeds $100,000;

 

- 138 -


Table of Contents
  (d)

relating to (i) any indebtedness for borrowed money in excess of a principal amount of $100,000 in any 12-month period or over the life of the Contract (currently outstanding or which may become outstanding) of the Corporation or any of its Subsidiaries or (ii) the guarantee of any liabilities or obligations of a Person other than the Corporation or any of its Subsidiaries, in each case excluding guarantees or intercompany liabilities or obligations between two or more Persons each of whom is a Subsidiary of the Corporation or between the Corporation and one or more Persons each of whom is a Subsidiary of the Corporation;

 

  (e)

restricting in any material respect the incurrence of indebtedness by the Corporation or any of its Subsidiaries (including by requiring the granting of an equal and rateable Lien) or the incurrence of any Liens on any properties or assets of the Corporation or any of its Subsidiaries, or restricting the payment of dividends by the Corporation;

 

  (f)

that limits or restricts in any material respect (i) the manner or the location in which the Corporation or any of its Subsidiaries may engage in any line of business, (ii) any business practice of the Corporation or any of its Subsidiaries; (iii) any acquisition or disposition of any products or assets, or the delivery of any services by the Corporation or any of its Subsidiaries, or (iv) the scope of Persons to whom the Corporation or any of its Subsidiaries may sell products or deliver services;

 

  (g)

that contains any “most favored nation”, “exclusivity”, “minimum purchase” or similar provisions, or grants a third party a right of first offer or refusal in respect of material assets of the Corporation or any of its Subsidiaries;

 

  (h)

with a Governmental Entity;

 

  (i)

relating to the development, sale, purchase or license of (or otherwise relating to transfer of) any material Intellectual Property or exclusive right in respect thereto;

 

  (j)

involving the settlement of any lawsuit (i) with respect to which there is any unpaid amount in excess of $10,000; (ii) with respect to which there are conditions precedent to the settlement thereof have not been satisfied, or (iii) that imposes material ongoing obligations after the date of the Arrangement Agreement on the Corporation and its Subsidiaries, taken as a whole;

 

  (k)

that obligates the Corporation or any of its Subsidiaries to make any capital expenditure in excess of $50,000;

 

  (l)

providing for any termination, severance, or change in control payments, or any retention payments in excess of $50,000;

 

  (m)

with Employees or consultants, agents or contractors providing for annual base compensation in excess of $100,000;

 

  (n)

that is a shareholders agreement or a similar type of Contract or that is otherwise relating to any joint venture, partnership or alliance;

 

  (o)

that is a Collective Agreement;

 

- 139 -


Table of Contents
  (p)

that is still in force and which has been filed by the Corporation with the Securities Authorities;

 

  (q)

that if terminated or modified in a prejudicial manner or if it ceased to be in effect, would reasonably be expected to have a Material Adverse Effect; or

 

  (r)

that is otherwise material to the Corporation and its Subsidiaries, taken as a whole;

and includes each of the Contracts listed in Section (25)(a) of the Corporation Disclosure Letter, provided that, in each of the foregoing cases, if a Contract has been amended, modified, supplemented or renewed, any reference to the Contract shall refer to the Contract as so amended, modified, supplemented or renewed.

Maturity Date” has the meaning specified under “Important Information Regarding the Corporation Loan Facility”.

Meeting” means the special meeting of the Shareholders, including any adjournment or postponement of such special meeting in accordance with the terms of the Arrangement Agreement, to be called and held in accordance with the Interim Order to consider the Arrangement Resolution and the Continuance Resolution and for any other purpose as may be set out in the Proxy Statement and agreed to in writing by the Purchaser.

MI 61-101” means Multilateral Instrument 61-101Protection of Minority Security Holders in Special Transactions.

Minimum Price” has the meaning specified under “Important Information Regarding the CorporationDebt Conversion Agreement”.

Minority Shareholders” means Shareholders whose votes are required to be excluded from voting on the Arrangement Resolution for the purpose of MI 61-101.

New Facility Agreement” means the facility agreement among the Corporation, Aptose Biosciences U.S. Inc., NuChem Pharmaceuticals Inc. and the Parent dated June 18, 2025.

NI 45-106” means National Instrument 45-106Prospectus Exemptions.

Non-Resident Holder” has the meaning specified under “Certain Canadian Federal Income Tax ConsiderationsHolders Not Resident in Canada”.

Offering” has the meaning specified “Important Information Regarding the CorporationPrior Public Offerings”.

officer” has the meaning specified in the Securities Act (Ontario).

Options” means the stock options of the Corporation granted pursuant to (i) the Stock Incentive Plan and (ii) the Legacy Option Plan.

Ordinary Course” means, with respect to an action (or omission to take any action) taken by a Party or any of its Subsidiaries, that such action or omission is consistent in nature and in scope with the past practices of such Party or Subsidiary and taken in the ordinary course of the normal day-to-day operations of the business of such Party or such Subsidiary and, in the case of the Corporation, as determined only with reference to the period following April 2025.

 

- 140 -


Table of Contents

Outside Date” means March 15, 2026.

Owned Intellectual Property” means all Intellectual Property owned or purported to be owned, in whole or in part, by the Corporation or a Subsidiary. For purposes of the foregoing, “owned” includes ownership of a beneficial right pursuant to which an employee or other third party is obligated (whether under contract, fiduciary obligations, statute or otherwise) to assign Intellectual Property to the Corporation or a Subsidiary.

Parent” means Hanmi Pharmaceutical Co. Ltd., a corporation governed by the laws of the Republic of Korea.

Parties” means the Corporation, the Parent and the Purchaser and “Party” means any one of them.

Permitted Liens” means, in respect of the Corporation or any of its Subsidiaries, any one or more of the following:

 

  (a)

Liens for Taxes, assessments and other governmental charges or levies not yet due or for which instalments have been paid based on reasonable estimates pending final assessments, or if due, the validity of which is being contested diligently and in good faith by appropriate proceedings by that Person and in respect of which reasonable reserves under U.S. GAAP are maintained;

 

  (b)

undetermined or inchoate liens, rights of distress and charges incidental to current operations which have not at such time been filed or exercised, or which relate to obligations not yet due and payable, or the validity of which is being contested diligently and in good faith by appropriate proceedings by that Person;

 

  (c)

zoning, land use and building restrictions, by-laws, regulations and ordinances of Governmental Entities, licenses, easements, rights-of-way and rights in the nature of easements (including, without limiting the generality of the foregoing, license, restrictions, easements, servitudes, rights-of-way and rights in the nature of easements for railways, sidewalks, public ways, sewers, drains, gas, steam and water mains or electric light and power, or telephone and telegraph conduits, poles, wires and cables) which do not materially impair the use of the affected land for the purpose for which it is used by that Person;

 

  (d)

title defects, encroachments or irregularities or other matters relating to title which are of a minor nature and which in the aggregate do not materially impair the use of the affected property for the purpose for which it is used by that Person;

 

  (e)

the right reserved to or vested in any Governmental Entity by the terms of any lease, license, franchise, grant or permit acquired by that Person or by any statutory provision to terminate any such lease, license, franchise, grant or permit, or to require annual or other payments as a condition to the continuance thereof;

 

  (f)

Liens constituting “Permitted Encumbrances” under the Facility Agreements;

 

  (g)

rights of first offer or refusal pursuant to shareholders’ agreements made between any of the Corporation’s Subsidiaries and any other Person that is a shareholder of the Corporation’s Subsidiaries; and

 

- 141 -


Table of Contents
  (h)

such other imperfections or irregularities of title or Lien that, in each case, do not materially and adversely impair the use of the properties or assets subject thereto or otherwise materially adversely impair the business operations of such properties or assets.

Person” includes any individual, partnership, association, body corporate, organization, trust, estate, trustee, executor, administrator, legal representative, government (including Governmental Entity), syndicate or other entity, whether or not having legal status.

Personal Information” means (i) all information identifying, or that alone or in combination with other information identifies, or allows for the identification of, an individual; and (ii) any information that is defined as “personal information”, “personal data” “personally identifiable information,” “individually identifiable health information,” “personal health information”, “protected health information,” “personal information” or words of similar import under applicable Law.

PFIC” has the meaning specified under “Certain U.S. Federal Income Tax Considerations”.

PFIC Asset Test” has the meaning specified under “Certain U.S. Federal Income Tax ConsiderationsPassive Foreign Investment Company Rules”.

PFIC Income Test” has the meaning specified under “Certain U.S. Federal Income Tax ConsiderationsPassive Foreign Investment Company Rules

PFIC Shares” has the meaning specified under “Certain U.S. Federal Income Tax ConsiderationsPassive Foreign Investment Company Rules”.

Pharmaceutical Product” means, in respect of a Party, any pharmaceutical or medicinal compound (including any biologic) or product developed, or currently being researched or developed, by or on behalf of that Party or its Subsidiaries.

Plan of Arrangement” means the plan of arrangement, substantially in the form of Appendix C, subject to any amendments or variations to such plan made in accordance with the Arrangement Agreement and the Plan of Arrangement or made at the direction of the Court in the Final Order with the prior written consent of the Corporation and the Purchaser, each acting reasonably.

Prior Valuation” has the meaning specified under “Background to the Arrangement”.

Proceeding” means any suit, claim, action, charge, litigation, arbitration, proceeding (including any civil, criminal, administrative, investigative or appellate proceeding), hearing, audit, examination, enquiry, investigation or other proceeding commenced, brought, conducted or heard by or before, any Governmental Entity.

Proposed Amendments” has the meaning specified under “Certain Canadian Federal Income Tax Considerations”.

Proxy Statement” means the proxy statement on Schedule 14A prepared by the Corporation in connection with the Meeting.

Purchaser” means HS North America Ltd., a corporation incorporated under the ABCA.

 

- 142 -


Table of Contents

QEF Election” has the meaning specified under “Certain U.S. Federal Income Tax ConsiderationsPassive Foreign Investment Company Rules”.

Registrar” means the Registrar of Corporations for the Province of Alberta duly appointed under the ABCA.

Regulatory Approvals” means any consent, waiver, permit, exemption, review, order, decision or approval of, or any registration and filing with, any Governmental Entity, or the expiry, waiver or termination of any waiting period imposed by Law or a Governmental Entity, in each case in connection with the Arrangement, and including Korea’s Foreign Exchange Transactions Act Filing.

Representatives” means, with respect to any Person, any officer, director, employee, representative (including any financial, legal or other advisor) or agent of such Person or of any of its Subsidiaries.

Required Shareholder Approval” means the approval of the Arrangement Resolution by: (1) an affirmative vote of not less than 6623% of the votes cast on the Arrangement Resolution by Shareholders, virtually present or represented by proxy at the Meeting, each being entitled to one vote per Share; and (2) an affirmative vote of a majority of the votes cast at the Meeting, each being entitled to one vote per Share, after excluding the votes of those Persons whose votes are required to be excluded under MI 61-101.

Resident Holder” has the meaning specified under “Certain Canadian Federal Income Tax ConsiderationsHolders Resident in Canada”.

Retention Bonus Program” means, collectively, the Corporation’s current cash retention bonus program for the benefit of certain Employees and unpaid and outstanding bonuses payable to certain Employees for the year ended December 31, 2024.

RSUs” means the restricted share units of the Corporation granted pursuant to the Stock Incentive Plan.

Rule 144” has the meaning specified under “Important Information Regarding the CorporationInvestor’s Rights Agreement”.

SEC” means the United States Securities and Exchange Commission.

Securities Authority” means the ASC and any other applicable securities commissions or securities regulatory authority of a province or territory of Canada, the SEC and the TSX.

Securities Laws” means the Securities Act (Ontario), together with all other applicable securities Laws, rules and regulations and published policies thereunder or under the securities Laws of any other province or territory of Canada and the rules and policies of the TSX and the U.S. Exchange Act, the U.S. Securities Act and all other state and federal securities Laws, rules, regulations and policies published thereunder, in each case as now in effect and as they may be promulgated or amended from time to time and, where applicable, applicable securities Laws of other jurisdictions.

Securityholders” means, collectively, the Shareholders and the holders of Incentive Securities and Warrants.

 

- 143 -


Table of Contents

SEDAR+” means the System for Electronic Data Analysis and Retrieval+ maintained on behalf of the Securities Authorities.

Shareholders” means the registered or beneficial holders of the Shares, as the context requires.

Shares” means the common shares in the share capital of the Corporation.

SISP Order” has the meaning specified under “The Arrangement Agreement – Alternative CCAA Proceedings”.

Stock Incentive Plan” means the Corporation’s 2021 stock incentive plan, as amended (and as further amended from time to time).

Subsidiary” has the meaning specified in NI 45-106 as in effect on the date of the Arrangement Agreement, and for the purposes of the Arrangement Agreement, “control” shall also include the possession, directly or indirectly, of the power to direct or cause the direction of the policies, management and affairs of any Person, whether through ownership of voting securities, by Contract or otherwise, including with respect to any general partner of another Person with the power to direct the policies, management and affairs of such Person and shall include, for greater certainty, with respect to the Corporation, Aptose Biosciences U.S. Inc. (Delaware) and NuChem Pharmaceuticals Inc. (Ontario).

Subsidiary PFIC” has the meaning specified under “Certain U.S. Federal Income Tax ConsiderationsPassive Foreign Investment Company Rules”.

Superior Proposal” means any unsolicited bona fide written Acquisition Proposal (substituting for the purposes of this definition “not less than all of the voting or equity securities of the Corporation” for “20%” where used therein and “all or substantially all of the Corporation Assets (on a consolidated basis)” for “a material portion of the assets of the Corporation or any Subsidiary” where used therein) from a Person or group of Persons “acting jointly or in concert” (within the meaning of National Instrument 62-104Take-Over Bids and Issuer Bids) made after the date of the Arrangement Agreement that (a) complies with applicable Laws and did not result from or involve a breach of Article 5 of the Arrangement Agreement, (b) is reasonably capable of being completed without undue delay, taking into account, among other, all financial, legal (including with respect to shareholder approval requirements), regulatory and other aspects of such proposal and the Person or group of Persons making such proposal and their respective affiliates, (c) is made by a Person or group of Persons who has demonstrated to the satisfaction of the Board, acting in good faith (after receipt of advice from its financial advisers and its outside legal counsel), that it has (i) adequate cash on hand and/or (ii) fully committed financing from a bank or other recognized and reputable financial institution, fund or organization that makes debt or equity investments or financing as part of its usual activities, and that is not subject to any condition or contingency other than closing conditions substantially similar to those contained in Article 6 of the Arrangement Agreement, required to complete such Acquisition Proposal at the time and on the basis set out therein, (d) is not subject to any due diligence or access condition, and I that the Board determines in its good faith judgment, after receipt of advice from its financial advisers and its outside legal counsel and after taking into account all the terms and conditions of the Acquisition Proposal, including among other all legal (including with respect to shareholder approval requirements), financial, regulatory and other aspects of such Acquisition Proposal and the Person or group of Persons making such Acquisition Proposal and their

 

- 144 -


Table of Contents

respective affiliates, would, if consummated in accordance with its terms, but without assuming away the risk of non-completion, result in a transaction which is (i) in the best interests of the Corporation, and (ii) more favourable, from a financial point of view, to the Shareholders than the Arrangement (including any amendments to the terms and conditions of the Arrangement proposed by the Purchaser pursuant to Section 5.4(2) of the Arrangement Agreement).

Support and Voting Agreement” means each support and voting agreement entered into between the Purchaser and a Shareholder pursuant to which each such shareholder has agreed to, among other things, vote for the Continuance Resolution and the Arrangement Resolution.

Supporting Shareholders” means all of the directors and officers of the Corporation who own Shares.

Tax” or, collectively, “Taxes” includes any and all taxes, duties, fees, premiums, assessments, imposts, levies and other charges of any kind whatsoever imposed by any Governmental Entity, including all interest, penalties, fines, additions to tax or other additional amounts imposed by any Governmental Entity in respect thereof, and including those levied on, or measured by, or referred to as, income, gross receipts, profits, capital, transfer, land transfer, sales, provincial sales, goods and services (including GST), harmonized sales, use, value-added, excise, escheat, unclaimed property, stamp, withholding, business, franchising, property, development, occupancy, employer health, payroll, employment, health, social services, education and social security taxes, all surtaxes, all customs duties and import and export taxes, countervail and anti-dumping, all license, franchise and registration fees and all employment insurance, health insurance and Canada, Québec and other government pension plan premiums or contributions and any amount of the type previously described as a result of being a “transferee” (within the meaning of section 160 of the Tax Act or any other Laws) or successor of another taxpayer or entity or a member of a related, non-arm’s length, affiliated or combined group, and other obligations of the same or of a similar nature to any of the foregoing, which a Party, or any of its subsidiaries, as applicable, is required to pay, withhold, remit or collect.

Tax Act” means the Income Tax Act (Canada), and the regulations promulgated thereunder, as amended from time to time.

Tax Return” or, collectively “Tax Returns” includes all returns, reports, designations, declarations, elections, notices, filings, forms, statements, information returns, and other documents (whether in tangible, electronic or other form) and including any amendments, claims for refunds, schedules, attachments, supplements, appendices and exhibits thereto, made, prepared, filed or required by a Governmental Entity to be made, prepared or filed by Law in respect of Taxes.

Taxable Capital Gain” has the meaning specified under “Certain Canadian Federal Income Tax Considerations - Holders Resident in Canada Taxation of Capital Gains and Losses”.

Terminating Party” has the meaning specified under “The Arrangement Agreement Notice and Cure Provisions”.

Termination Notice” has the meaning specified under “The Arrangement Agreement Notice and Cure Provisions”.

Transaction Committee” means the Transaction Committee consisting of independent members of the Board formed in connection with the Arrangement and the other transactions contemplated by the Arrangement Agreement.

 

- 145 -


Table of Contents

TSX” means the Toronto Stock Exchange.

TUS” has the meaning specified under “Important Information Regarding the Corporation Loan Agreement”.

Underwriting Agreement” has the meaning specified under “Important Information Regarding the CorporationPrior Public Offerings”.

United States” or “U.S.” means the United States of America, its territories and possessions, any State of the United States and the District of Columbia.

U.S. Exchange Act” means the United States Securities Exchange Act of 1934, as amended.

U.S. GAAP” means generally accepted accounting principles in the United States.

U.S. Holder” has the meaning specified under “Certain U.S. Federal Income Tax Considerations U.S. Holders”.

U.S. Securities Act” means the United States Securities Act of 1933, as amended.

Vesting Order” has the meaning specified under “The Arrangement Agreement – Alternative CCAA Proceedings”.

Warrants” means the Share purchase warrants of the Corporation.

Willful Breach” means with respect to any representation, warranty, agreement or covenant in the Arrangement Agreement, a material breach of the Arrangement Agreement that is a consequence of an act or omission by the Breaching Party with the actual knowledge that the taking of such act or failure to act, as applicable, could, or could be reasonably expected to, cause a material breach of the Arrangement Agreement.

 

- 146 -


Table of Contents

DIRECTORS’ APPROVAL

The contents and sending of this Proxy Statement have been approved by our directors.

(signed) William G. Rice, Ph.D.

Chairman, President and Chief Executive Officer

●, 2026

 

- 147 -


Table of Contents

CONSENT OF LOCUST WALK SECURITIES

We refer to the formal valuation and fairness opinion dated November 18, 2025 attached as Appendix E to this preliminary proxy statement dated January 14, 2026 (the “Proxy Statement”), and to the prior valuation dated July 21, 2025 attached as Appendix F to this Proxy Statement (collectively, the “Locust Walk Securities Opinions”), which we prepared for the transaction committee of the board of directors of Aptose Biosciences Inc. The formal valuation dated July 21, 2025 is superseded in its entirety by the formal valuation and fairness opinion dated November 18, 2025.

We hereby consent to the filing of the Locust Walk Securities Opinions with the securities regulatory authorities, and the inclusion of the Locust Walk Securities Opinion in the Proxy Statement.

 

LOCUST WALK SECURITIES, LLC

/s/ Bimal Shah

Name: Bimal Shah

Title: Managing Director

 

- 148 -


Table of Contents

APPENDIX A– CONTINUANCE RESOLUTION

BE IT RESOLVED AS A SPECIAL RESOLUTION OF THE SHAREHOLDERS OF APTOSE BIOSCIENCES INC. (the “Corporation”) THAT:

 

  (1)

the continuance of the Corporation into the provincial jurisdiction of Alberta pursuant to the Business Corporations Act (Alberta) (the “ABCA”), all as more particularly described in the proxy statement of the Corporation dated , 2026 (the “Proxy Statement”), is hereby authorized and approved;

 

  (2)

the Corporation is hereby authorized to apply to Industry Canada for authorization to continue the Corporation out of the federal jurisdiction of Canada and into the provincial jurisdiction of Alberta in accordance with Section 188 of the Canada Business Corporations Act (the “CBCA”);

 

  (3)

the Corporation is hereby authorized to apply to the Registrar of Corporations for the Province of Alberta for a Certificate of Continuance continuing the Corporation under the ABCA as if it had been incorporated thereunder and to file with the Registrar of Corporations for the Province of Alberta, Articles of Continuance and such other documents as may be requested in the form or forms prescribed by the ABCA;

 

  (4)

upon the Continuance of the Corporation under the ABCA, the Corporation is hereby authorized to make application to Industry Canada for a Certificate of Discontinuance under the CBCA;

 

  (5)

effective upon the issuance of a Certificate of Continuance by the Registrar of Corporations for the Province of Alberta, the Articles of Continuance in the form attached as Schedule “A” hereto, be and are hereby adopted and confirmed in substitution for the Articles of the Corporation and all amendments thereto;

 

  (6)

effective upon the issuance of a Certificate of Continuance by the Registrar of Corporations for the Province of Alberta, and without affecting the validity of any act of the Corporation under its existing by-laws (the “Existing Bylaws”), the Existing Bylaws are hereby repealed and replaced with the new Bylaw No. 1 of the Corporation, which complies with the requirements of the ABCA, the full text of which is set forth in Schedule “B” hereto, which bylaws (the “New Bylaws”), together with such changes or amendments thereto as any director or officer of the Corporation determines appropriate, the conclusive evidence of such determination being the execution of the New Bylaws by a director or officer of the Corporation;

 

  (7)

notwithstanding that this resolution has been passed, the directors of the Corporation are hereby authorized and empowered without further notice to or approval of the shareholders of the Corporation to abandon the application for Continuance of the Corporation out of the federal jurisdiction of Canada without further approval, ratification or confirmation by the shareholders of the Corporation; and

 

  (8)

any one director or officer of the Corporation is hereby authorized and directed for and on behalf of the Corporation to execute or cause to be executed, under the corporate seal of the Corporation or otherwise, and to deliver or cause to be delivered, all such other documents and instruments and to perform or cause to be performed all such other acts and things as in such person’s opinion may be necessary or desirable to give full effect to the foregoing resolutions and the matters authorized thereby, such determination to be conclusively evidenced by the execution and delivery of such document, agreement or instrument or the doing of any such act or thing.

 

A-1


Table of Contents

SCHEDULE “A”

 

 

LOGO

 

Articles of Continuance

Business Corporations Act

 

Section 188

This information is collected in accordance with the Business Corporations Act. It is required to convert an extra-provincial corporation to an Alberta corporation for the purpose of issuance of a certificate of continuance. Collection is authorized under s. 33(a) of the Freedom of Information and Protection of Privacy Act. Questions about the collection can be directed to Service Alberta Contact Centre staff at cr@gov.ab.ca or 780-427-7013 (toll-free 310-0000 within Alberta).

 

1. Name of Corporation

 

 

APTOSE BIOSCIENCES INC.

2. The classes of shares, and any maximum number of shares that the corporation is authorized to issue:

 

SEE SCHEDULE RE AUTHORIZED SHARES

3. Restrictions on share transfers (if there are no restrictions, enter ‘‘NONE”):

 

 

NONE

4. Number, or minimum and maximum number of directors:

 

 

Minimum 3 - Maximum 11

5.Ifthe corporation is restricted FROM carrying on a certain business or restricted TO carrying on a certain business, specify the restrictions (if there are no restrictions, enter ‘‘NONE”):

 

 

NONE

6. Other rules or provisions (if there are no restrictions, enter ‘‘NONE”):

 

 

SEE SCHEDULE RE OTHER PROVISIONS

7. If a change of name is effected, indicate previous name:

 

 

N/A

8. Current Extra-Provincial Registration (if applicable):

 

Corporation’s Name on Alberta Extra-Provincial Registration

   Alberta Corporate Access Number
   

N/A

    

 

A-1


Table of Contents

9. Current Jurisdiction Information

 

Name (if different from the corporation’s name as stated above)

   Registration Number in Current Jurisdiction
   
     665030-9

Jurisdiction

   Date of Formation in Current Jurisdiction (yyyy-mm-dd)
   

Canada

   2006-11-01

10. Authorized Representative/Authorized Signing Authority for the Corporation

 

      
 

 

    

 

 

Last Name, First Name, Middle Name (optional)

     Relationship to Corporation
 

 

    

 

 

Telephone Number(optional)

     Email Address (optional)
 

 

    

 

 

Date of submission (yyyy-mm-dd)

     Signature

 

A-2


Table of Contents

SCHEDULE RE OTHER PROVISIONS

 

1.

The actual number of directors within the minimum and maximum number set out in paragraph 5 may be determined from time to time by resolution of the directors.

 

2.

The directors may appoint one or more additional directors who shall hold office for a term expiring not later than the close of the next annual meeting of shareholders, but the total number of directors so appointed may not exceed one third of the number of directors elected at the previous annual meeting of shareholders.

 

3.

Meetings of shareholders may be held at any of the following places in the United States: San Diego, California, New York, New York, Los Angeles, California, San Francisco, California, Seattle, Washington, Portland, Oregon, Atlanta, Georgia, Boston, Massachusetts, Chicago, Illinois, Philadelphia, Pennsylvania, Dallas, Texas, Phoenix, Arizona, Detroit, Michigan, Houston, Texas, San Antonio, Texas and Washington, District of Columbia; in Europe: London, England, Paris, France, Zug, Switzerland; Zurich, Switzerland; Basel, Switzerland, or in any place in Canada that the directors may determine from time to time.

 

A-3


Table of Contents

SCHEDULE “B”

BY-LAW NO. 1

A by-law relating generally to

the transaction of the business

and affairs of

APTOSE BIOSCIENCES INC.

(the “Corporation”)

ARTICLE 1

DIRECTORS

 

1.01

Calling of and notice of meetings.

Meetings of the board will be held on such day and at such time and place as the chair of the board or any two directors may determine. Notice of meetings of the board will be given to each director not less than 48 hours before the time when the meeting is to be held. Each newly elected board may without notice hold its first meeting for the purposes of organization and the appointment of officers immediately following the meeting of shareholders at which such board was elected.

 

1.02

Quorum

A majority of the directors in office constitutes a quorum at any meeting of directors.

 

1.03

Votes to govern

At all meetings of the board every question will be decided by a majority of the votes cast on the question; and in case of an equality of votes the chair of the meeting will not be entitled to a second or casting vote.

 

1.04

Interest of directors and officers generally in contracts.

No director or officer will be disqualified by such individual’s office from contracting with the Corporation nor will any contract or transaction entered into by or on behalf of the Corporation with any director or officer or in which any director or officer is in any way interested be liable to be voided nor will any director or officer so contracting or being so interested be liable to account to the Corporation for any profit realized by any such contract or transaction by reason of such director or officer holding that office or of the fiduciary relationship thereby established provided that, in each case, the director or officer has complied with the provisions of the Business Corporations Act (Alberta).

 

1.05

Meetings by telephonic or electronic means

A meeting of the directors may be held by means of a telephonic, electronic or other communication facility that permits all participants to communicate adequately with each other during the meeting.

 

A-4


Table of Contents

ARTICLE 2

SHAREHOLDERS’ MEETINGS

 

2.01

Notice of meetings

Notice of the time and place of a meeting of shareholders must be sent to each shareholder entitled to vote at the meeting, to each director and to the auditor of the Corporation not less than 7 days and not more than 60 days before the time when the meeting is to be held.

 

2.02

Quorum

At any meeting of shareholders a quorum will be persons present in person or by means of a telephonic, electronic or other communication facility that permits all participants to communicate adequately with each other during the meeting and each entitled to vote at the meeting and, in the aggregate, holding or representing by proxy not less thana majority of the votes entitled to be cast at the meeting.

 

2.03

Meetings by telephonic or electronic means

A meeting of the shareholders may be held by means of a telephonic, electronic or other communication facility that permits all participants to communicate adequately with each other during the meeting.

 

2.04

Postponement or cancellation of meetings

A meeting of shareholders may be postponed or cancelled by the board at any time prior to the date of the meeting.

 

2.05

Procedures at meetings

The board may determine the procedures to be followed at any meeting of shareholders including, without limitation, the rules of order. Subject to the foregoing, the chair of a meeting may determine the procedures of the meeting in all respects.

ARTICLE 3

INDEMNIFICATION

 

3.01

Indemnification of directors and officers

The Corporation will indemnify any director or officer of the Corporation, any former director or officer of the Corporation or any individual who acts or acted at the Corporation’s request as a director or officer, or in a similar capacity, of another entity, and such individual’s heirs and legal representatives to the extent permitted by the Business Corporations Act (Alberta).

 

A-5


Table of Contents
3.02

Indemnity of others

Except as otherwise required by the Business Corporations Act (Alberta) and subject to paragraph 3.01, the Corporation may from time to time indemnify and save harmless any person who was or is a party or is threatened to be made a party to any threatened, pending or completed action, suit or proceeding, whether civil, criminal, administrative or investigative (other than an action by or in the right of the Corporation) by reason of the fact that such individual is or was an employee or agent of the Corporation, or is or was serving at the request of the Corporation as an employee, agent of or participant in another entity, against expenses (including legal fees), judgments, fines and any amount actually and reasonably incurred by such individual in connection with such action, suit or proceeding if such individual acted honestly and in good faith with a view to the best interests of the Corporation or, as the case may be, to the best interests of the other entity for which such individual served at the Corporation’s request and, with respect to any criminal or administrative action or proceeding that is enforced by a monetary penalty, had reasonable grounds for believing that such individual’s conduct was lawful. The termination of any action, suit or proceeding by judgment, order, settlement or conviction will not, of itself, create a presumption that the person did not act honestly and in good faith with a view to the best interests of the Corporation or other entity and, with respect to any criminal or administrative action or proceeding that is enforced by a monetary penalty, had no reasonable grounds for believing that such individual’s conduct was lawful.

 

3.03

Right of indemnity not exclusive

The provisions for indemnification contained in the by-laws of the Corporation will not be deemed exclusive of any other rights to which any person seeking indemnification may be entitled under any agreement, vote of shareholders or directors or otherwise, both as to action in such individual’s official capacity and as to action in another capacity, and will continue as to a person who has ceased to be a director, officer, employee or agent and will inure to the benefit of that person’s heirs and legal representatives.

 

3.04

No liability of directors or officers for certain matters

To the extent permitted by law, no director or officer for the time being of the Corporation will be liable for the acts, receipts, neglects or defaults of any other director or officer or employee or for joining in any receipt or act for conformity or for any loss, damage or expense happening to the Corporation through the insufficiency or deficiency of title to any property acquired by the Corporation or for or on behalf of the Corporation or for the insufficiency or deficiency of any security in or upon which any of the moneys of or belonging to the Corporation will be placed out or invested or for any loss or damage arising from the bankruptcy, insolvency or tortious act of any person, firm or body corporate with whom or which any moneys, securities or other assets belonging to the Corporation will be lodged or deposited or for any loss, conversion, misapplication or misappropriation of or any damage resulting from any dealings with any moneys, securities or other assets belonging to the Corporation or for any other loss, damage or misfortune whatever which may happen in the execution of the duties of such individual’s respective office or trust or in relation thereto unless the same will happen by or through such individual’s failure to act honestly and in good faith with a view to the best interests of the Corporation and in connection therewith to

 

A-6


Table of Contents

exercise the care, diligence and skill that a reasonably prudent person would exercise in comparable circumstances. If any director or officer of the Corporation is employed by or performs services for the Corporation otherwise than as a director or officer or is a member of a firm or a shareholder, director or officer of a body corporate which is employed by or performs services for the Corporation, the fact that the person is a director or officer of the Corporation will not disentitle such director or officer or such firm or body corporate, as the case may be, from receiving proper remuneration for such services.

ARTICLE 4

BANKING ARRANGEMENTS, CONTRACTS, ETC.

 

4.01

Banking arrangements

The banking business of the Corporation, or any part thereof, will be transacted with such banks, trust companies or other financial institutions as the board may designate, appoint or authorize from time to time and all such banking business, or any part thereof, will be transacted on the Corporation’s behalf by one or more officers or other persons as the board may designate, direct or authorize from time to time.

 

4.02

Execution of instruments

(1) Contracts, documents or instruments in writing requiring execution by the Corporation will be signed by any one officer or director of the Corporation (whether under the corporate seal of the Corporation, if any, or otherwise) and all contracts, documents or instruments in writing so signed will be binding upon the Corporation without any further authorization or formality. The board is authorized from time to time by resolution:

 

  (a)

to appoint any officer or any other person on behalf of the Corporation to sign (whether under the corporate seal of the Corporation, if any, or otherwise) and deliver either contracts, documents or instruments in writing generally or to sign (whether under the corporate seal of the Corporation, if any, or otherwise) and deliver specific contracts, documents or instruments in writing, and

 

  (b)

to delegate to any two officers of the Corporation the powers to designate, direct or authorize from time to time in writing one or more officers or other persons on the Corporation’s behalf to sign (whether under the corporate seal of the Corporation, if any, or otherwise) and deliver contracts, documents or instruments in writing of such type and on such terms and conditions as such two officers see fit.

Contracts, documents or instruments in writing may be signed electronically. The term “contracts, documents or instruments in writing” as used in this by-law includes without limitation deeds, mortgages, charges, conveyances, powers of attorney, transfers and assignments of property of all kinds (including specifically but without limitation transfers and assignments of shares, warrants, bonds, debentures or other securities), proxies for shares or other securities and all paper writings.

 

A-7


Table of Contents

ARTICLE 5

MISCELLANEOUS

 

5.01

Invalidity of any provisions of this by-law

The invalidity or unenforceability of any provision of this by-law will not affect the validity or enforceability of the remaining provisions of this by-law.

 

5.02

Omissions and errors

The accidental omission to give any notice to any shareholder, director, officer or auditor or the non-receipt of any notice by any shareholder, director, officer or auditor or any error in any notice not affecting its substance will not invalidate any action taken at any meeting to which the notice related or otherwise founded on the notice.

ARTICLE 6

INTERPRETATION

 

6.01

Interpretation

In this by-law and all other by-laws of the Corporation words importing the singular number only include the plural and vice versa; words importing persons include individuals, corporations, limited and unlimited liability companies, general and limited partnerships, associations, trusts, unincorporated organizations, joint ventures and governmental authorities; “board” means the board of directors of the Corporation; “Business Corporations Act (Alberta)” means the Business Corporations Act (Alberta), Revised Statutes of Alberta 2000, Chapter B-9 as from time to time amended, re-enacted or replaced; terms that are not otherwise defined in this by-law have the meanings attributed to them in the Business Corporations Act (Alberta); and “meeting of shareholders” means an annual meeting of shareholders or a special meeting of shareholders.

ARTICLE 7

REPEAL

 

7.01

Repeal

All previous by-laws of the Corporation are repealed as of the coming into force of this by-law provided that such repeal will not affect the previous operation of any by-law so repealed or affect the validity of any act done or right, privilege, obligation or liability acquired or incurred under or the validity of any contract or agreement made pursuant to any such by-law prior to its repeal. All officers and persons acting under any by-law so repealed will continue to act as if appointed by the directors under the provisions of this by-law or the Business Corporations Act (Alberta) until their successors are appointed.

Made on the_____ day of ___________, 202___.

 

APTOSE BIOSCIENCES INC.

By:

 

 

 

Name:

 

Title:

 

A-8


Table of Contents

APPENDIX B – ARRANGEMENT AGREEMENT

 

 

 

APTOSE BIOSCIENCES INC.

and

HS NORTH AMERICA LTD.

and

HANMI PHARMACEUTICAL CO. LTD.

 

 

ARRANGEMENT AGREEMENT

NOVEMBER 18, 2025

 

 

 

B-1


Table of Contents

TABLE OF CONTENTS

 

ARTICLE 1 INTERPRETATION

     1  

Section 1.1

   Defined Terms.      1  

Section 1.2

   Certain Rules of Interpretation.      20  

ARTICLE 2 THE ARRANGEMENT

     21  

Section 2.1

   Arrangement.      21  

Section 2.2

   Interim Order.      21  

Section 2.3

   Meeting.      22  

Section 2.4

   Circular.      24  

Section 2.5

   Final Order.      26  

Section 2.6

   Court Proceedings.      26  

Section 2.7

   Treatment of Incentive Securities and Warrants.      27  

Section 2.8

   Employees.      29  

Section 2.9

   Articles of Arrangement and Effective Time.      30  

Section 2.10

   Payment of Consideration.      30  

Section 2.11

   Adjustment of Consideration.      31  

Section 2.12

   Withholding Rights.      31  

Section 2.13

   Efforts      31  

Section 2.14

   Parent Guarantee      31  

ARTICLE 3 REPRESENTATIONS AND WARRANTIES

     32  

Section 3.1

   Representations and Warranties of the Corporation.      32  

Section 3.2

   Representations and Warranties of the Parent and the Purchaser.      32  

ARTICLE 4 COVENANTS

     33  

Section 4.1

   Conduct of Business of the Corporation.      33  

Section 4.2

   Covenants of the Corporation Relating to the Arrangement.      39  

Section 4.3

   Covenants of the Parent and the Purchaser Relating to the Arrangement.      41  

Section 4.4

   Regulatory Approvals.      42  

Section 4.5

   Access to Information; Confidentiality.      43  

Section 4.6

   Tax Matters.      44  

Section 4.7

   Public Communications.      44  

Section 4.8

   Notice and Cure Provisions.      44  

Section 4.9

   Insurance and Indemnification.      45  

Section 4.10

   TSX Delisting.      46  

Section 4.11

   Transaction Litigation      46  

Section 4.12

   CrystalGenomics Release      47  

Section 4.13

   Support and Voting Agreements      47  

Section 4.14

   Tax Cooperation      47  

ARTICLE  5 ADDITIONAL COVENANTS REGARDING NON-SOLICITATION

     48  

Section 5.1

   Non-Solicitation.      48  

Section 5.2

   Notification of Acquisition Proposals.      49  

Section 5.3

   Responding to an Acquisition Proposal.      50  

Section 5.4

   Right to Match.      50  

ARTICLE 6 CONDITIONS

     53  

Section 6.1

   Mutual Conditions Precedent.      53  


Table of Contents

Section 6.2

   Additional Conditions Precedent to the Obligations of the Purchaser.      54  

Section 6.3

   Additional Conditions Precedent to the Obligations of the Corporation.      55  

Section 6.4

   Satisfaction of Conditions.      56  

ARTICLE 7 TERM AND TERMINATION

     56  

Section 7.1

   Term.      56  

Section 7.2

   Termination.      56  

Section 7.3

   Effect of Termination/Survival.      59  

ARTICLE 8 GENERAL PROVISIONS

     59  

Section 8.1

   Amendments.      59  

Section 8.2

   Expenses Fees.      59  

Section 8.3

   CCAA Proceedings      60  

Section 8.4

   Acknowledgement      61  

Section 8.5

   Expenses.      62  

Section 8.6

   Notices.      62  

Section 8.7

   Time of the Essence.      63  

Section 8.8

   Further Assurances.      63  

Section 8.9

   Specific Performance.      63  

Section 8.10

   Third Party Beneficiaries.      64  

Section 8.11

   Waiver.      64  

Section 8.12

   Entire Agreement.      64  

Section 8.13

   Successors and Assigns.      64  

Section 8.14

   Severability.      65  

Section 8.15

   Governing Law.      65  

Section 8.16

   Rules of Construction.      65  

Section 8.17

   No Liability.      65  

Section 8.18

   Counterparts.      65  
SCHEDULES

 

Schedule A

   Plan of Arrangement      A-1  

Schedule B

   Arrangement Resolution      B-1  

Schedule C

   Representations and Warranties of the Corporation      C-1  

Schedule D

   Representations And Warranties Of The Parent And The Purchaser      D-1  

Schedule E

   Form Of Support And Voting Agreement      E-1  

 

- ii -


Table of Contents

ARRANGEMENT AGREEMENT

THIS AGREEMENT is made as of November 18, 2025,

BETWEEN:

Aptose Biosciences Inc., a corporation existing under the laws of Canada

- and -

HS North America Ltd., a corporation incorporated under the laws of Alberta

- and

Hanmi Pharmaceutical Co. Ltd., a corporation existing under the laws of the Republic of Korea

NOW THEREFORE, in consideration of the covenants and agreements herein contained, the Parties agree as follows:

ARTICLE 1

INTERPRETATION

Section 1.1 Defined Terms.

As used in this Agreement, the following terms have the following meanings:

ABCA” means the Business Corporations Act (Alberta).

ASC” means the Alberta Securities Commission.

Acquisition Proposal” means, other than the transactions contemplated by this Agreement and other than any transaction between the Corporation, on the one hand, and one or more of its wholly-owned Subsidiaries, on the other hand, any offer, proposal, indication of interest or inquiry (written or oral) from any Person or group of Persons other than the Parent or the Purchaser (or any affiliate of the Parent or the Purchaser) after the date of this Agreement relating to (a) any direct or indirect sale, disposition, alliance or joint venture (or any lease, license, long-term supply agreement or other arrangement having the same economic effect as a sale), in a single transaction or a series of transactions, of, or relating to, assets (including voting or equity securities of, or securities convertible into or exercisable or exchangeable for voting or equity securities of, Subsidiaries of the Corporation) representing a material portion of the Corporation Assets (based on the consolidated financial statements of the Corporation most recently filed on SEDAR+ prior to such inquiry, proposal, offer or indication of interest) or 20% or more of the voting or equity securities of the Corporation (including securities convertible into or exercisable or exchangeable for voting or equity securities), (b) any direct or indirect take-over bid, tender offer, exchange offer, treasury issuance, acquisition, exchange, transfer or other transaction, in a single transaction or a series of transactions, that, if consummated, would result in such Person or group of Persons beneficially owning, or exercising control or direction over, 20% or more of any class of voting or equity

 

-1


Table of Contents

securities (including securities convertible into or exercisable or exchangeable for such voting or equity securities) of the Corporation then outstanding (assuming, if applicable, the conversion, exchange or exercise of such securities convertible into or exchangeable or exercisable for such voting or equity securities), or (c) any arrangement, merger, amalgamation, consolidation, security exchange, business combination, reorganization, recapitalization, liquidation, dissolution, winding up or exclusive license, in a single transaction or series of transactions involving the Corporation or any of its Subsidiaries, or (d) other similar transaction or series of transactions involving the Corporation or any of its Subsidiaries pursuant to which any Person or group of Persons would acquire beneficial ownership of 20% or more of any class of voting or equity securities of the Corporation or of the surviving entity or the resulting direct or indirect parent of the Corporation or the surviving entity (assuming, if applicable, the conversion, exchange or exercise of such securities convertible into or exchangeable or exercisable for such voting or equity securities).

affiliate” has the meaning specified in NI 45-106 as in effect on the date of this Agreement.

Agreement means this arrangement agreement among the Parent, the Purchaser and the Corporation (including the Schedules hereto) as it may be amended, modified or supplemented from time to time in accordance with its terms.

“Anti-Spam Laws” means, collectively, (a) An Act to promote the efficiency and adaptability of the Canadian economy by regulating certain activities that discourage reliance on electronic means of carrying out commercial activities, and to amend the Canadian Radio-Television and Telecommunications Commission Act (Canada), the Competition Act, the Personal Information Protection and Electronic Documents Act (Canada) and the Telecommunications Act, S.C. 2010, c. 23, and (b) similar Laws in other jurisdictions applicable to the Corporation and its Subsidiaries.

Armistice Warrants” has the meaning specified in Section 2.7(2)(c).

Arm’s Length” has the meaning that it has for purposes of the Tax Act.

Arrangement” means an arrangement under Section 193 of the ABCA in accordance with the terms and subject to the conditions set out in the Plan of Arrangement, subject to any amendments or variations to the Plan of Arrangement made in accordance with the terms of this Agreement or made at the direction of the Court in the Final Order with the prior written consent of the Corporation and the Purchaser, each acting reasonably.

Arrangement Resolution” means the special resolution approving the Plan of Arrangement to be considered at the Meeting, substantially in the form of Schedule B.

Articles of Arrangement” means the articles of arrangement of the Corporation in respect of the Arrangement, required by the ABCA to be filed with the Registrar after the Final Order is made, which shall include the Plan of Arrangement and otherwise be in a form and content satisfactory to the Corporation and the Purchaser, each acting reasonably.

Articles of Continuance” means the articles of continuance of the Corporation giving effect to the Continuance to be filed pursuant to this Agreement.

 

-2


Table of Contents

associate” has the meaning specified in the Securities Act (Ontario) as in effect on the date of this Agreement.

Authorization” means with respect to any Person, any certificate, consent, order, permit, approval, waiver, license, qualification, registration or similar authorization of any Governmental Entity having jurisdiction over such Person.

Black Scholes Amount” means in respect of each Armistice Warrant, the value of such warrant as of the Effective Date using the “Black Scholes” valuation model calculated in accordance with the terms of the applicable Armistice Warrant.

Board” means the board of directors of the Corporation as constituted from time to time.

Board Recommendation” has the meaning specified in Section 2.4(2).

Books and Records” means the books and records of the Corporation and its Subsidiaries including, to the extent existing, financial, corporate, operations and sales books, records, books of account, sales, purchase and billing records, lists of suppliers and customers, business reports, reports of customer contacts, employee documents and files, human resources materials and all other documents, files, records, and other data and information, financial or otherwise, including all data, information and databases stored on computer-related or other electronic media, and all Tax forms, Tax elections and Tax Returns.

Breaching Party” has the meaning specified in Section 4.8(3).

Business Day” means any day of the year, other than a Saturday, Sunday or any day on which major banks are closed for business in Toronto, Ontario.

Business System” means all of the information technology assets, systems and services that are used by the Corporation or any of its Subsidiaries in the operation of the business of the Corporation or any of its Subsidiaries, including all computers, devices, computer hardware, operating system, firmware, middleware, server, workstation, router, hub, switch, data communications line, hosting infrastructure, subscribed data service, peripheral equipment or all other information technology equipment or element, software, database engine or processed data, technology infrastructure or other computer system or associated documentation.

CBCA” means the Canada Business Corporations Act.

CCAA” means the Companies’ Creditors Arrangement Act, R.S.C. 1985, c C- 36, as amended, including the regulations promulgated thereunder.

CCAA Order” has the meaning specified in Section 4.5.

CCAA Sale Transaction” has the meaning specified in Section 4.5.

CCAA Proceedings” has the meaning specified in Section 4.5.

Certificate of Arrangement” means the certificate of arrangement to be issued by the Registrar pursuant to Subsection 193(11) of the ABCA in respect of the Articles of Arrangement.

CG” has the meaning specified in Section 4.12

 

-3


Table of Contents

Change in Recommendation” has the meaning specified in Section 7.2(1)(d)(ii).

Circular” means the notice of the Meeting and accompanying management information circular prepared under Canadian Law, including all schedules, appendices and exhibits thereto, to be sent to each Shareholder and other Persons as required by the Interim Order and Law in connection with the Meeting, as amended, modified or supplemented from time to time in accordance with the terms of this Agreement and unless the context requires otherwise, the term “Circular” includes the Proxy Statement.

Closing” has the meaning specified in Section 2.9(2).

COBRA” has the meaning specified in paragraph 40(b) of Schedule C hereto.

Code” means the Internal Revenue Code of 1986, as amended.

Collective Agreement” means any collective agreement, collective bargaining agreement or related document that is binding on the Corporation or any of its Subsidiaries, including any arbitration decision, letter or memorandum of understanding or agreement, letter of intent or other written communication with bargaining agents which covers or would pertain to the employment of any Employee and imposes any obligations upon the Corporation and/or any of its Subsidiaries.

Commercial Electronic Message” means an electronic message, the content, the hyperlink or the contact details of which could reasonably be interpreted as encouraging the participation in commercial activity.

Consideration” means CAD$2.41 in cash per Share, without interest.

Constating Documents” means articles of incorporation, amalgamation, arrangement or continuation, as applicable, by-laws or other constating documents and all amendments thereto.

Continuance” means the continuance of the Corporation from a corporation incorporated under the CBCA to a corporation continued under the ABCA pursuant to Section 187 of the CBCA and Section 188 of the ABCA, such continuance to be effective on the filing of the Articles of Continuance by the Corporation and the issuance of a certificate of continuance by the Registrar.

Continuance Resolution” means the special resolution of the Shareholders approving the Continuance to be considered at the Meeting.

Contract” means any written or oral agreement, commitment, engagement, contract, franchise, license, lease, sublease, obligation, note, bond, mortgage, indenture, deferred or conditioned sale agreement, general sales agent agreement, undertaking or joint venture, in each case, together with any amendment, modification or supplement thereto, to which the Corporation or any of its Subsidiaries is a party or by which the Corporation or any of its Subsidiaries is bound or affected or to which any of their respective properties or assets is subject.

Corporation” means Aptose Biosciences Inc., a corporation existing under the CBCA.

Corporation Assets” means all of the assets (tangible, corporeal, intangible and incorporeal), properties (real, immovable, personal or movable), rights, interests, Contracts or Authorizations (whether contractual or otherwise) owned, leased, licensed or otherwise used

 

-4


Table of Contents

or held for use by the Corporation or any of its Subsidiaries, including the Leased Real Properties, equipment, fixtures, furniture, furnishings, office equipment, Corporation Intellectual Property, Business Systems and Corporation Data, supplies, materials and other assets.

Corporation CCAA Trigger Event” has the meaning specified in Section 8.3(1).

Corporation Data” means any and all information and data, including any Personal Information, collected, processed or otherwise controlled or held by, or in the possession of, the Corporation or any of its Subsidiaries regarding the Corporation or its Subsidiaries’ current, former or prospective partners, customers, suppliers, processors, service providers, vendors, Employees, consultants, agents, independent contractors, temporary workers or any other Person.

Corporation Disclosure Letter” means the disclosure letter dated as of the date of this Agreement and delivered by the Corporation to the Purchaser concurrently with the execution of this Agreement.

Corporation Expense Fee” has the meaning specified in Section 8.2(1).

Corporation Expense Fee Event” has the meaning specified in Section 8.2(1).

Corporation Filings” means (a) all documents publicly filed under the profile of the Corporation on SEDAR+ (or its predecessor SEDAR) and (b) all forms, documents and reports filed by the Corporation with, or furnished by the Corporation to, the SEC, in each case, since December 31, 2022.

Corporation Intellectual Property” means, collectively, the Owned Intellectual Property and the Licensed Intellectual Property.

Corporation Related Parties” has the meaning specified in Section 8.4(2).

Court” means the Court of King’s Bench of Alberta, or other court as applicable.

Data Breach” means any (a) loss, theft of, or unauthorized or unlawful access to Personal Information or Corporation Data that is or was collected, used or held for use on information technology systems operated or used by Corporation or any of its Subsidiaries, including the Business Systems, (b) event that requires a data breach notice to any Person or Governmental Entity under Data Security and Privacy Requirements or any Contract to which the Corporation or any of its Subsidiaries is a party; (c) phishing, ransomware or denial of service attacks; or (d) other act or omission that compromises the security, integrity, or confidentiality of Personal Information or Corporation Data.

Data Room” means the material contained in the virtual data room established by the Corporation as at 4:00 p.m. (Eastern time) on November 17, 2025, the index of documents of which is appended to the Corporation Disclosure Letter.

Data Security and Privacy Requirements” means any and all (a) applicable Laws relating to privacy, the Processing of Personal Information, the security of Personal Information, data breach disclosure and notification, (b) all Contracts between the Corporation or any of its Subsidiaries and any Person that are applicable to the Processing of Personal Information, (c) formalized internal information security policies, (d) Privacy Policies, and (e) Anti-Spam Laws.

 

-5


Table of Contents

Depositary” means Computershare Investor Services Inc., in its capacity as depositary for the Arrangement, or such other Person as the Corporation and the Purchaser mutually agree to engage as depositary for the Arrangement.

Debt Conversion and Interest Payment Agreement” means the debt conversion and interest payment agreement between the Corporation and the Parent dated August 27, 2024.

DIP Order” has the meaning specified in Section 4.5.

Dissent Rights” means the rights of dissent exercisable by Shareholders in respect of: (i) the Continuance Resolution, as provided by section 191 of the CBCA; and (ii) the Arrangement Resolution, as provided by the Plan of Arrangement.

Drug Regulatory Agencies” means the FDA, the European Medicines Agency, the United Kingdom Medicines and Healthcare products Regulatory Agency and Health Canada and any corresponding drug, biologic, natural health product, controlled drug substance, narcotic, and medical device regulatory agencies within the world having jurisdiction over the Corporation and its business, including those that govern or implement health products and related activities (including personal health information), including development, regulatory and commercial activities.

EDGAR” means the Electronic Data Gathering, Analysis, and Retrieval system maintained for purposes of filings made under the Securities Act of 1933 (United States), as amended, the U.S. Exchange Act and other statutes.

Effective Date” means the date shown on the Certificate of Arrangement.

Effective Time” has the meaning specified in the Plan of Arrangement.

Electronic Address” means “electronic address” as defined in Anti-Spam Laws.

Employee Obligations” means the obligations of the Corporation to pay any amount to its officers, directors, employees or consultants, other than salary, employee savings plan contributions and vacation pay in the ordinary course and in each case in amounts consistent with historic practices, pursuant to all employment, consulting services and change of control agreements, termination, severance and retention plans or policies for severance, termination or bonus payments and any payments or compensation pursuant to any other incentive plans, resolutions of the Board or otherwise in accordance with applicable Laws.

Employee Plan means any plan, arrangement, agreement, program, policy, practice or undertaking, whether written or oral, funded or unfunded, insured, self-insured or uninsured, registered or unregistered, that provides any employee benefit, fringe benefit, pension, retirement, deferred compensation, savings, profit-sharing, stock option, stock purchase, equity, bonus, incentive, commission, change of control, retention, termination, vacation pay, severance pay, supplemental unemployment benefit, health, welfare, medical, dental, disability, life insurance, employee assistance, and any similar plans, arrangements, Contracts, programs, policies, practices or undertakings, whether or not subject to ERISA, in each case: (a) for the benefit of present or former Employees, officers, directors, consultants, service providers or independent contractors of the Corporation or any of its Subsidiaries (or, in each case, any of their respective spouses, dependents, survivors or beneficiaries); (b) that is maintained, sponsored, contributed to or funded by or on behalf of the Corporation or any

 

-6


Table of Contents

of its Subsidiaries; or (c) under which the Corporation or any of its Subsidiaries have, or could reasonably be expected to have, any liability or contingent liability.

Employees” means all employees of the Corporation and its Subsidiaries, as the case may be, including part time and full-time employees, in each case, whether active or inactive, unionized or non-unionized.

Environmental Laws” means any federal, state, provincial, territorial, municipal or local law, statute, ordinance, rule, regulation, order, decree, judgment, injunction, permit, license, authorization or other binding requirement, or common law, relating to health, safety or the regulation, protection, cleanup or restoration of the environment or natural resources, including those relating to the distribution, processing, generation, treatment, control, storage, disposal, transportation, other handling or release or threatened release of Hazardous Materials.

ERISA” means the Employee Retirement Income Security Act of 1974, as amended.

ERISA Affiliate” means, with respect to any Person, any corporation, trade or business which, together with such Person, is a member of a controlled group of corporations or a group of trades or businesses under common control with the meaning of Section 414 of the Code.

ESPP” means the 2021 employee stock purchase plan of the Corporation.

Excluded Shares” means the Shares owned or beneficially controlled by the Parent, the Purchaser or any of their respective affiliates and associates.

Facility Agreements” means, collectively, the (i) loan agreement between the Corporation and the Parent dated August 27, 2024 and (ii) New Facility Agreement.

Fairness Opinion” means the opinion of Locust Walk Securities, LLC to the effect that, as of the date of such opinion, and based upon and subject to the assumptions, limitations and qualifications set forth therein, the Consideration to be received by the Shareholders (other than the holders of the Excluded Shares as well as the Shares owned or beneficially controlled by any other Person required to be excluded pursuant to the requirements of MI 61-101 for the purpose of the Required Shareholder Approval under Part 8 of MI 61-101) under the Arrangement is fair, from a financial point of view, to such holders.

FDA” means the United States Food and Drug Administration, or any successor entity.

Final Order” means the final order of the Court in a form acceptable to the Corporation and the Purchaser, each acting reasonably, approving the Arrangement, as such order may be amended by the Court (with the consent of both the Corporation and the Purchaser, each acting reasonably) at any time prior to the Effective Time or, if appealed, then, unless such appeal is withdrawn or denied, as affirmed or as amended (provided that any such amendment is acceptable to both the Corporation and the Purchaser, each acting reasonably) on appeal.

Financial Statements” has the meaning specified in paragraph (10)(a) of Schedule C hereto.

 

-7


Table of Contents

Formal Valuation” means the formal valuation of the Shares prepared by Locust Walk Securities, LLC in accordance with the requirements of MI 61-101.

Good Clinical Practices” means applicable Drug Regulatory Agency standards (including principles, guidance and policies) for the design, conduct, performance, monitoring, auditing, recording, analysis, and reporting of clinical trials, including as applicable, the standards, guidance and policies of the International Council for Harmonisation of Technical Requirements for Pharmaceuticals for Human Use (ICH) and the FDA’s standards for the design, conduct, performance, monitoring, auditing, recording, analysis, and reporting of clinical trials contained in 21 C.F.R. Parts 50, 54, 56, 312, 314, 812 and 814, as applicable.

Good Laboratory Practices” means applicable Drug Regulatory Agency standards, principles, guidance, policies and systems for conducting non-clinical laboratory studies, including the organizational process and conditions under which non-clinical laboratory studies are planned, performed, monitored, recorded and archived, including as applicable, the standards, guidance and policies of the FDA’s standards for conducting non-clinical laboratory studies contained in 21 C.F.R. Part 58.

Good Manufacturing Practices” means applicable Drug Regulatory Agency principles, policies and guidelines of good manufacturing practice in respect of medicinal products for human use and investigational medicinal products for human use, including those for ensuring that products are consistently produced and controlled according to said quality standards.

Governmental Entity” means any: (i) international, multinational, federal, provincial, state, territorial, municipal, local or other governmental or public department, regulatory authority, central bank, court, commission, commissioner, board, bureau, ministry, agency or instrumentality, domestic or foreign, and includes the Securities Authorities, (ii) any subdivision or authority of any of the foregoing, (iii) any quasi-governmental, self-regulatory organization or private body exercising any regulatory, expropriation or taxing authority under or for the account of its members or any of the above, including the TSX, SEC, the Canadian Investment Regulatory Organization (CIRO) and any other regulatory body, or (iv) any arbitrator exercising jurisdiction over the affairs of the applicable person, asset, obligation or other matter.

GST” means the goods and services tax and/or harmonized sales tax levied under the Excise Tax Act (Canada) and any similar tax imposed by any province of Canada.

Hazardous Materials” means any material, substance (including, without limitation, pollutants, contaminants, hazardous or toxic substances or wastes) or condition that is regulated by or may give rise to liability under any Environmental Laws.

Healthcare Laws” means, to the extent related to the business of the Corporation or any of its Subsidiaries, as of the date of this Agreement, all applicable Laws relating to research, development, manufacture, market approval, pricing, reimbursement, procurement and commercialization (including promotion/marketing) of healthcare products (including drug, controlled drug substances, narcotics, natural health, biological products and medical devices) and related privacy Laws (including related to personal health information) including the Canadian Food and Drugs Act, the United States Federal Food, Drug and Cosmetic Act, the United Kingdom Medicines and Medical Devices Act, 2021, the European Regulation

 

-8


Table of Contents

(EU) No 2019/6, Regulation (EC) No 726/2004 and Directive 2001/83/EC, and related Laws, regulations, policies and guidance in all applicable jurisdictions.

Incentive Compensation Plans” means the Legacy Option Plan, the Stock Incentive Plan and the ESPP.

Incentive Securities” means, collectively, the Options and the RSUs.

Institutional Review Board” means the entity defined in 21 C.F.R. § 50.3(i), or any other substantially equivalent entity in Canada.

Intellectual Property” means all intellectual property, in any jurisdiction throughout the world, whether or not registrable, including all: (a) patents, applications for patents and reissues, divisionals, continuations, renewals, re-examinations, extensions and continuations-in-part of patents or patent applications, (b) proprietary and non public business information, including inventions (whether patentable or not), invention disclosures, improvements, discoveries, trade secrets, confidential information, know-how, methods, models, formulas, algorithms, processes, designs, technology, technical data, schematics, formulae and customer lists, and documentation relating to any of the foregoing, (c) copyrights, copyright registrations and applications for copyright registration, (d) integrated circuit, topographies, integrated circuit topography registrations and applications, mask works, mask work registrations and applications, (e) designs, design registrations, design registration applications, industrial designs, industrial design registrations and industrial design applications, (f) trade names, business names, corporate names, domain names, social media accounts and user names, social media identifiers and identities, website names and world wide web addresses, common law trade-marks, trade-mark registrations, trade mark applications, trade dress and logos, and the goodwill associated with any of the foregoing, (g) all intellectual property rights in and to software and technology, and (h) any other intellectual property and industrial property rights throughout the world, however denominated, together with all licenses of and to any of the foregoing.

Intellectual Property Authorities” means the UK Intellectual Property Office, the European Patent Office, the United States Patent and Trademark Office, the Canadian Intellectual Property Office and other applicable Governmental Entities responsible for reviewing, examining, prosecuting and issuing patents in jurisdictions for which patent protection has been sought for Corporation Intellectual Property.

Interim Order” means the interim order of the Court in a form acceptable to the Corporation and the Purchaser, each acting reasonably, providing for, among other things, the calling and holding of the Meeting, as such order may be amended by the Court with the consent of the Corporation and the Purchaser, each acting reasonably.

Investor Rights Agreement” means the investor rights agreement between the Corporation and the Parent dated September 26, 2023 with respect to certain shareholder rights, as amended or supplemented from time to time.

IP Licenses” has the meaning specified in Paragraph (31) of Schedule C.

Korea’s Foreign Exchange Transactions Act Filing” means the successful filing of this Agreement under the Foreign Exchange Transactions Act (Korea).

 

-9


Table of Contents

Laws” means, with respect to any Person, any and all applicable laws, including all statutes, codes, ordinances, decrees, rules, regulations, municipal by-laws, judicial or arbitral or administrative or ministerial or departmental or regulatory judgments, orders, decisions or rulings of (or issued by) any Governmental Entity that is binding on or affecting such Person, and to the extent they have the force of law, all policies or guidelines of any Governmental Entity.

Leased Real Property means any real property leased, subleased, licensed or otherwise used or occupied by the Corporation or any of its Subsidiaries.

Legacy Option Plan” means the Corporation’s share option plan.

Licensed Intellectual Property” means all Intellectual Property (a) which is not Owned Intellectual Property, and (b) in which the Corporation or a Subsidiary has a right, interest, benefit, license or permission to access, use, practice or otherwise enjoy or exploit, including pursuant to a Contract, covenant not to sue, custom or practice, Order or applicable Law.

Lien” means any mortgage, charge, pledge, hypothec, security interest, international interest, prior claim, encroachments, option, right of first refusal or first offer, occupancy right, covenant, assignment, lien (statutory or otherwise), defect of title, or restriction or adverse right or claim, or other third-party interest or encumbrance of any kind, in each case, whether contingent or absolute.

Matching Period” has the meaning specified in Section 5.4(1)(e).

Material Adverse Effect” means any fact, change, event, occurrence, effect, state of facts and/or circumstance that, individually or in the aggregate, is or would reasonably be expected to be material and adverse to the business, operations, results of operations, assets, properties, condition (financial or otherwise) or liabilities (contingent or otherwise) of the Corporation and its Subsidiaries, taken as a whole, except any such fact, change, event, occurrence, effect, state of facts or circumstance resulting from or arising in connection with:

 

  (a)

any change or development generally affecting the pharmaceutical industries in which the Corporation and/or its Subsidiaries operate;

 

  (b)

any changes, events or occurrences in general economic, business, regulatory, political, financial or currency exchange conditions in Canada or the United States, including changes in (i) financial markets, credit markets or capital markets, (ii) interest rates and credit ratings, (iii) inflation and (iv) currency exchange rates;

 

  (c)

any hurricane, flood, tornado, earthquake or other natural disaster, epidemic, pandemic or disease outbreak or any material worsening of such conditions existing as of the date of this Agreement;

 

  (d)

any act of sabotage, espionage, including any commencement or escalation of a war (whether or not declared), armed hostilities or acts of crime or terrorism;

 

  (e)

any change in Law, generally acceptable accounting principles, including U.S. GAAP, or changes in regulatory accounting or tax requirements, or in the interpretation, application or non-application of the foregoing by any Governmental Entity;

 

-10


Table of Contents
  (f)

any action taken (or omitted to be taken) by the Corporation or any of its Subsidiaries that is required to be taken (or prohibited to be taken) pursuant to this Agreement or with the express prior written consent or at the written direction of the Purchaser;

 

  (g)

any change in the market price or trading volume of the Shares (it being understood that the causes underlying such change in market price or trading volume may, to the extent not otherwise excluded from the definition of Material Adverse Effect, be taken into account in determining whether a Material Adverse Effect has occurred);

 

  (h)

any Proceeding or threatened Proceeding relating to this Agreement or the Arrangement (it being understood that the causes underlying such Proceeding may, to the extent not otherwise excluded from the definition of Material Adverse Effect, be taken into account in determining whether a Material Adverse Effect has occurred);

 

  (i)

the announcement of this Agreement or the Arrangement or the pendency or consummation of the Arrangement or the transactions contemplated hereby; or

 

  (j)

the payment of accounts payable and accrued liabilities in the amounts funded by the Parent pursuant to the Facility Agreements,

but, in the case of clauses (a) through to and including (e) above, only to the extent that such matter does not have a materially disproportionate effect on the Corporation and its Subsidiaries, taken as a whole, relative to other companies and entities operating in the pharmaceutical industry in which the Corporation and/or its Subsidiaries operate, and references in certain sections of this Agreement to dollar amounts are not intended to be, and shall not be deemed to be, illustrative or interpretative for purposes of determining whether a Material Adverse Effect has occurred.

Material Contract” means any Contract:

 

  (a)

under which the Corporation or its Subsidiaries have made payments in excess of $100,000 during the fiscal year ended December 31, 2024, or is obligated to make payment in excess of $100,000 in any twelve (12) – month period;

 

  (b)

pursuant to which the Corporation or any of its Subsidiaries receives sales, advertising, agency, franchise, partner channel, reseller or representative services in excess of $100,000 in any twelve (12) – month period;

 

  (c)

providing for the purchase, sale or exchange of, or option to purchase, sell or exchange (including any put, call or similar right), any property or asset where the purchase or sale price or agreed value of such property or asset exceeds $100,000;

 

  (d)

relating to (i) any indebtedness for borrowed money in excess of a principal amount of $100,000 in any twelve (12) – month period or over the life of the Contract (currently outstanding or which may become outstanding) of the Corporation or any of its Subsidiaries or (ii) the guarantee of any liabilities or obligations of a Person other than the Corporation or any of its Subsidiaries, in each case excluding guarantees or intercompany liabilities or obligations between two or more Persons each of whom is a Subsidiary of the Corporation or between the Corporation and one or more Persons each of whom is a Subsidiary of the Corporation;

 

-11


Table of Contents
  (e)

restricting in any material respect the incurrence of indebtedness by the Corporation or any of its Subsidiaries (including by requiring the granting of an equal and rateable Lien) or the incurrence of any Liens on any properties or assets of the Corporation or any of its Subsidiaries, or restricting the payment of dividends by the Corporation;

 

  (f)

that limits or restricts in any material respect (i) the manner or the location in which the Corporation or any of its Subsidiaries may engage in any line of business, (ii) any business practice of the Corporation or any of its Subsidiaries; (iii) any acquisition or disposition of any products or assets, or the delivery of any services by the Corporation or any of its Subsidiaries, or (iv) the scope of Persons to whom the Corporation or any of its Subsidiaries may sell products or deliver services;

 

  (g)

that contains any “most favored nation”, “exclusivity”, “minimum purchase” or similar provisions, or grants a third party a right of first offer or refusal in respect of material assets of the Corporation or any of its Subsidiaries;

 

  (h)

with a Governmental Entity;

 

  (i)

relating to the development, sale, purchase or license of (or otherwise relating to transfer of) any material Intellectual Property or exclusive right in respect thereto;

 

  (j)

involving the settlement of any lawsuit (i) with respect to which there is any unpaid amount in excess of $10,000; (ii) with respect to which there are conditions precedent to the settlement thereof have not been satisfied, or (iii) that imposes material ongoing obligations after the date hereof on the Corporation and its Subsidiaries, taken as a whole;

 

  (k)

that obligates the Corporation or any of its Subsidiaries to make any capital expenditure in excess of $50,000;

 

  (l)

providing for any termination, severance, or change in control payments, or any retention payments in excess of $50,000;

 

  (m)

with Employees or consultants, agents or contractors providing for annual base compensation in excess of $100,000;

 

  (n)

that is a shareholders agreement or a similar type of Contract or that is otherwise relating to any joint venture, partnership or alliance;

 

  (o)

that is a Collective Agreement;

 

  (p)

that is still in force and which has been filed by the Corporation with the Securities Authorities;

 

  (q)

that if terminated or modified in a prejudicial manner or if it ceased to be in effect, would reasonably be expected to have a Material Adverse Effect; or

 

  (r)

that is otherwise material to the Corporation and its Subsidiaries, taken as a whole;

 

-12


Table of Contents

and includes each of the Contracts listed in Section (25)(a) of the Corporation Disclosure Letter, provided that, in each of the foregoing cases, if a Contract has been amended, modified, supplemented or renewed, any reference to the Contract shall refer to the Contract as so amended, modified, supplemented or renewed.

Meeting” means the special meeting of the Shareholders, including any adjournment or postponement of such special meeting in accordance with the terms of this Agreement, to be called and held in accordance with the Interim Order to consider the Arrangement Resolution and the Continuance Resolution and for any other purpose as may be set out in the Circular and agreed to in writing by the Purchaser.

MI 61-101” means Multilateral Instrument 61-101Protection of Minority Security Holders in Special Transactions.

Misrepresentation” has the meaning specified in the Securities Act (Ontario).

Money Laundering Laws” has the meaning specified in Paragraph (47) of Schedule C.

NASDAQ” means The Nasdaq Stock Market.

New Facility Agreement” means the facility agreement among the Corporation, Aptose Biosciences U.S. Inc., NuChem Pharmaceuticals Inc. and the Parent dated June 18, 2025.

NI 45-106” means National Instrument 45-106 - Prospectus Exemptions.

NI 51-102” means National Instrument 51-102 - Continuous Disclosure Obligations.

officer” has the meaning specified in the Securities Act (Ontario).

OHSA has the meaning specified in paragraph 38(i) of Schedule C hereto.

Options” means the stock options of the Corporation granted pursuant to (i) the Stock Incentive Plan and (ii) the Legacy Option Plan.

Order” means all judicial, arbitral, administrative, ministerial, departmental or regulatory judgments, injunctions, orders, decisions, rulings, determinations, awards, decrees, stipulations or similar actions taken or entered by or with, or applied by, any Governmental Entity (in each case, whether temporary, preliminary or permanent).

Ordinary Course” means, with respect to an action (or omission to take any action) taken by a Party or any of its Subsidiaries, that such action or omission is consistent in nature and in scope with the past practices of such Party or Subsidiary and taken in the ordinary course of the normal day-to-day operations of the business of such Party or such Subsidiary and, in the case of the Corporation, as determined only with reference to the period following April 2025.

Outside Date” means March 15, 2026.

Outside Meeting Date” has the meaning specified in Section 2.3(1).

Owned Intellectual Property” means all Intellectual Property owned or purported to be owned, in whole or in part, by the Corporation or a Subsidiary. For purposes of the foregoing,

 

-13


Table of Contents

“owned” includes ownership of a beneficial right pursuant to which an employee or other third party is obligated (whether under contract, fiduciary obligations, statute or otherwise) to assign Intellectual Property to the Corporation or a Subsidiary.

Owned Registered Intellectual Property” has the meaning specified in Section (31)(a) of Schedule C.

Parent” means Hanmi Pharmaceutical Co. Ltd., a corporation governed by the laws of the Republic of Korea.

Parties” means the Corporation, the Parent and the Purchaser and “Party” means any one of them.

Permitted Liens” means, in respect of the Corporation or any of its Subsidiaries, any one or more of the following:

 

  (a)

Liens for Taxes, assessments and other governmental charges or levies not yet due or for which instalments have been paid based on reasonable estimates pending final assessments, or if due, the validity of which is being contested diligently and in good faith by appropriate proceedings by that Person and in respect of which reasonable reserves under U.S. GAAP are maintained;

 

  (b)

undetermined or inchoate liens, rights of distress and charges incidental to current operations which have not at such time been filed or exercised, or which relate to obligations not yet due and payable, or the validity of which is being contested diligently and in good faith by appropriate proceedings by that Person;

 

  (c)

zoning, land use and building restrictions, by-laws, regulations and ordinances of Governmental Entities, licenses, easements, rights-of-way and rights in the nature of easements (including, without limiting the generality of the foregoing, license, restrictions, easements, servitudes, rights-of-way and rights in the nature of easements for railways, sidewalks, public ways, sewers, drains, gas, steam and water mains or electric light and power, or telephone and telegraph conduits, poles, wires and cables) which do not materially impair the use of the affected land for the purpose for which it is used by that Person;

 

  (d)

title defects, encroachments or irregularities or other matters relating to title which are of a minor nature and which in the aggregate do not materially impair the use of the affected property for the purpose for which it is used by that Person;

 

  (e)

the right reserved to or vested in any Governmental Entity by the terms of any lease, license, franchise, grant or permit acquired by that Person or by any statutory provision to terminate any such lease, license, franchise, grant or permit, or to require annual or other payments as a condition to the continuance thereof;

 

  (f)

Liens constituting “Permitted Encumbrances” under the Facility Agreements;

 

  (g)

rights of first offer or refusal pursuant to shareholders’ agreements made between any of the Corporation’s Subsidiaries and any other Person that is a shareholder of the Corporation’s Subsidiaries; and

 

-14


Table of Contents
  (h)

such other imperfections or irregularities of title or Lien that, in each case, do not materially and adversely impair the use of the properties or assets subject thereto or otherwise materially adversely impair the business operations of such properties or assets.

Person” includes any individual, partnership, association, body corporate, organization, trust, estate, trustee, executor, administrator, legal representative, government (including Governmental Entity), syndicate or other entity, whether or not having legal status.

Personal Information” means (i) all information identifying, or that alone or in combination with other information identifies, or allows for the identification of, an individual; and (ii) any information that is defined as “personal information”, “personal data” “personally identifiable information,” “individually identifiable health information,” “personal health information”, “protected health information,” “personal information” or words of similar import under applicable Law.

Pharmaceutical Product” means, in respect of a Party, any pharmaceutical or medicinal compound (including any biologic) or product developed, or currently being researched or developed, by or on behalf of that Party or its Subsidiaries.

Plan of Arrangement” means the plan of arrangement, substantially in the form of Schedule A, subject to any amendments or variations to such plan made in accordance with this Agreement and the Plan of Arrangement or made at the direction of the Court in the Final Order with the prior written consent of the Corporation and the Purchaser, each acting reasonably.

PPACA” has the meaning specified in paragraph 40(b) of Schedule C hereto.

Privacy Policy” means any written external or internal statement (including any website or mobile application privacy policies or notices) relating to the Processing of Personal Information (including the collection, use, disclosure, sale, lease or transfer (including cross-border transfer) of Personal Information) by the Corporation or any of its Subsidiaries, including any policy relating to the privacy of Personal Information of any current, former or prospective partners, customers, members of loyalty programs, suppliers, Employees, consultants, agents, independent contractors or any user of any website or service operated by or on behalf of the Corporation or any of its Subsidiaries.

Proceeding” means any suit, claim, action, charge, litigation, arbitration, proceeding (including any civil, criminal, administrative, investigative or appellate proceeding), hearing, audit, examination, enquiry, investigation or other proceeding commenced, brought, conducted or heard by or before, any Governmental Entity.

Processing” means any operation or set of operations that is performed upon data, including Personal Information, whether or not by automatic means, such as collection, recording, organization, structuring, transfer, storage, adaptation or alteration, retrieval, consultation, use, disclosure by transmission, dissemination or otherwise making available, alignment or combination, restriction, erasure or destruction, or instruction, training or other learning relating to such data or combination of data, including Personal Information.

Proxy Statement” means the proxy statement on Schedule 14A prepared by the Corporation in connection with the Meeting.

 

-15


Table of Contents

Purchaser” means HS North America Ltd., a corporation incorporated under the ABCA.

Purchaser Related Party” means the Purchaser, the Parent and any of their respective affiliates and any of their respective former, current or future directors, officers, employees, affiliates, partners, general or limited partners, shareholders, stockholders, equity holders, controlling persons, managers, members or agents.

Real Property Lease” means any lease, sublease, license, occupancy agreement, or other agreement pursuant to which the Corporation or any of its Subsidiaries is vested with rights to use or occupy the Leased Real Properties, as amended, modified or supplemented or renewed.

Registered Intellectual Property” means all Intellectual Property that is the subject of a registration (or an application for registration), including domain names and social media accounts and identifiers.

Registrar” means the Registrar of Corporations for the Province of Alberta duly appointed under the ABCA.

Regulatory Approvals” means any consent, waiver, permit, exemption, review, order, decision or approval of, or any registration and filing with, any Governmental Entity, or the expiry, waiver or termination of any waiting period imposed by Law or a Governmental Entity, in each case in connection with the Arrangement, and including Korea’s Foreign Exchange Transactions Act Filing.

Release” means any sudden, intermittent or gradual release, spill, leak, pumping, pouring, emission, emptying, discharge, injection, escape, leaching, disposal, dumping, deposit, spraying, burial, abandonment, seepage, placement or introduction of a Hazardous Materials, whether accidental or intentional, into or through the environment, or any other action, event, occurrence or circumstance that constitutes a “Release” pursuant to any applicable Environmental Law.

Representatives” means, with respect to any Person, any officer, director, employee, representative (including any financial, legal or other advisor) or agent of such Person or of any of its Subsidiaries.

Required Shareholder Approval” has the meaning specified in Section 2.2(2).

Resolutions” means, together, the Continuance Resolution and the Arrangement Resolution.

Retention Bonus Program” means, collectively, the Corporation’s current cash retention bonus program for the benefit of certain Employees and unpaid and outstanding bonuses payable to certain Employees for the year ending December 31, 2024.

RSUs” means the restricted share units of the Corporation granted pursuant to the Stock Incentive Plan.

Sanctions” has the meaning given to it in Paragraph (44) of Schedule C hereto.

 

-16


Table of Contents

SEC” means the United States Securities and Exchange Commission.

Securities Authority” means the ASC and any other applicable securities commissions or securities regulatory authority of a province or territory of Canada, the SEC and the TSX.

Securities Laws” means the Securities Act (Ontario), together with all other applicable securities Laws, rules and regulations and published policies thereunder or under the securities Laws of any other province or territory of Canada and the rules and policies of the TSX and the U.S. Exchange Act, the U.S. Securities Act and all other state and federal securities Laws, rules, regulations and policies published thereunder, in each case as now in effect and as they may be promulgated or amended from time to time and, where applicable, applicable securities Laws of other jurisdictions.

Securityholders” means, collectively, the Shareholders and the holders of Incentive Securities and Warrants.

SEDAR+” means the System for Electronic Data Analysis and Retrieval+ maintained on behalf of the Securities Authorities.

Senior Management” means the members of the executive leadership team of the Corporation.

Shareholders” means the registered or beneficial holders of the Shares, as the context requires.

Shares” means the common shares in the share capital of the Corporation.

SISP” means a Sale and Investment Solicitation Process in respect of the Corporation Assets.

SISP Order” has the meaning specified in Section 4.5.

Stock Incentive Plan” means the Corporation’s 2021 stock incentive plan, as amended (and as further amended from time to time).

Subsidiary” has the meaning specified in NI 45-106 as in effect on the date of this Agreement, and for the purposes of this Agreement, “control” shall also include the possession, directly or indirectly, of the power to direct or cause the direction of the policies, management and affairs of any Person, whether through ownership of voting securities, by Contract or otherwise, including with respect to any general partner of another Person with the power to direct the policies, management and affairs of such Person and shall include, for greater certainty, with respect to the Corporation, Aptose Biosciences U.S. Inc. (Delaware) and NuChem Pharmaceuticals Inc. (Ontario).

Superior Proposal” means any unsolicited bona fide written Acquisition Proposal (substituting for the purposes of this definition “not less than all of the voting or equity securities of the Corporation” for “20%” where used therein and “all or substantially all of the Corporation Assets (on a consolidated basis)” for “a material portion of the assets of the

 

-17


Table of Contents

Corporation or any Subsidiary” where used therein) from a Person or group of Persons “acting jointly or in concert” (within the meaning of National Instrument 62-104Take-Over Bids and Issuer Bids) made after the date of this Agreement that (a) complies with applicable Laws and did not result from or involve a breach of Article 5, (b) is reasonably capable of being completed without undue delay, taking into account, among other, all financial, legal (including with respect to shareholder approval requirements), regulatory and other aspects of such proposal and the Person or group of Persons making such proposal and their respective affiliates, (c) is made by a Person or group of Persons who has demonstrated to the satisfaction of the Board, acting in good faith (after receipt of advice from its financial advisers and its outside legal counsel), that it has (i) adequate cash on hand and/or (ii) fully committed financing from a bank or other recognized and reputable financial institution, fund or organization that makes debt or equity investments or financing as part of its usual activities, and that is not subject to any condition or contingency other than closing conditions substantially similar to those contained in Article 6, required to complete such Acquisition Proposal at the time and on the basis set out therein, (d) is not subject to any due diligence or access condition, and I that the Board determines in its good faith judgment, after receipt of advice from its financial advisers and its outside legal counsel and after taking into account all the terms and conditions of the Acquisition Proposal, including among other all legal (including with respect to shareholder approval requirements), financial, regulatory and other aspects of such Acquisition Proposal and the Person or group of Persons making such Acquisition Proposal and their respective affiliates, would, if consummated in accordance with its terms, but without assuming away the risk of non-completion, result in a transaction which is (i) in the best interests of the Corporation, and (ii) more favourable, from a financial point of view, to the Shareholders than the Arrangement (including any amendments to the terms and conditions of the Arrangement proposed by the Purchaser pursuant to Section 5.4(2)).

Superior Proposal Notice” has the meaning specified in Section 5.4(1)(c).

Support and Voting Agreement” means each support and voting agreement entered into between the Purchaser and a Shareholder, substantially in the form of Schedule E hereto, pursuant to which each such shareholder has agreed to, among other things, vote for the Continuance Resolution and the Arrangement Resolution.

Supporting Shareholders” means all of the directors and officers of the Corporation who own Shares.

Tax” or, collectively, “Taxes” includes any and all taxes, duties, fees, premiums, assessments, imposts, levies and other charges of any kind whatsoever imposed by any Governmental Entity, including all interest, penalties, fines, additions to tax or other additional amounts imposed by any Governmental Entity in respect thereof, and including those levied on, or measured by, or referred to as, income, gross receipts, profits, capital, transfer, land transfer, sales, provincial sales, goods and services (including GST), harmonized sales, use, value-added, excise, escheat, unclaimed property, stamp, withholding, business, franchising, property, development, occupancy, employer health, payroll, employment, health, social services, education and social security taxes, all surtaxes, all customs duties and import and export taxes, countervail and anti-dumping, all license, franchise and registration fees and all employment insurance, health insurance and Canada, Québec and other government pension plan premiums or contributions and any amount of the type previously described as a result of being a “transferee” (within the meaning of section 160 of the Tax Act or any other Laws) or successor of another taxpayer or entity or a member of a related, non-arm’s length,

 

-18


Table of Contents

affiliated or combined group, and other obligations of the same or of a similar nature to any of the foregoing, which a Party, or any of its subsidiaries, as applicable, is required to pay, withhold, remit or collect.

Tax Act” means the Income Tax Act (Canada), and the regulations promulgated thereunder, as amended from time to time.

Tax Return” or, collectively “Tax Returns” includes all returns, reports, designations, declarations, elections, notices, filings, forms, statements, information returns, and other documents (whether in tangible, electronic or other form) and including any amendments, claims for refunds, schedules, attachments, supplements, appendices and exhibits thereto, made, prepared, filed or required by a Governmental Entity to be made, prepared or filed by Law in respect of Taxes.

Terminating Party” has the meaning specified in Section 4.8(3).

Termination Notice” has the meaning specified in Section 4.8(3).

Third Party Beneficiaries” has the meaning specified in Section 8.10(1).

Transaction Costs” means all costs and expenses incurred by the Corporation in connection with the Arrangement, including Employee Obligations and all legal, accounting, audit, financial advisory, printing, director and officer run-off insurance and other administrative and professional fees, costs and expenses incurred by the Corporation in connection with the Arrangement but excluding, if applicable, the costs of any proxy solicitation and/or information agents engaged to solicit proxies in favour of the Resolutions.

TSX” means the Toronto Stock Exchange.

Transaction Committee” means the special committee consisting of independent members of the Board formed in connection with the Arrangement and the other transactions contemplated by this Agreement.

Transaction Litigation” means any Proceeding asserted or commenced by, on behalf of or in the name of, a third party against or otherwise involving the Corporation, the Board, any committee thereof and/or any of the Corporation’s directors or officers relating directly or indirectly to the Arrangement, this Agreement or any of the other transactions contemplated hereby (including any such Proceeding based on allegations that the Corporation’s entry into this Agreement or the terms and conditions of the Arrangement, this Agreement or any of the other transactions contemplated hereby constituted a breach of the fiduciary duties of any member of the Board or any officer of the Corporation).

United States” or “U.S.” means the United States of America, its territories and possession, any State of the United State and the District of Columbia.

U.S. GAAP” means generally accepted accounting principles in the United States.

U.S. Exchange Act” means the United States Securities Exchange Act of 1934, as amended.

U.S. Securities Act” means the United States Securities Act of 1933, as amended.

 

-19


Table of Contents

Vesting Order” has the meaning specified in Section 4.5.

Warrants” means the Share purchase warrants of the Corporation.

Willful Breach” means with respect to any representation, warranty, agreement or covenant in this Agreement, a material breach of this Agreement that is a consequence of an act or omission by the Breaching Party with the actual knowledge that the taking of such act or failure to act, as applicable, could, or could be reasonably expected to, cause a material breach of this Agreement.

Section 1.2 Certain Rules of Interpretation.

In this Agreement, unless otherwise specified:

 

(1)

Headings, etc. The provision of a Table of Contents, the division of this Agreement into Articles and Sections and the insertion of headings are for convenient reference only and do not affect the construction or interpretation of this Agreement.

 

(2)

Currency. All references to U.S. dollars or to US$ are references to United States dollars. All references to dollars or to $ are references to Canadian dollars. In the event that any amounts are required to be converted from a foreign currency to Canadian dollars or vice versa, such amounts shall be converted using the most recent closing exchange rate of The Bank of Canada available before the relevant calculation date. For greater certainty, the Consideration is expressed in Canadian dollars and is not subject to any currency conversion pursuant to the foregoing.

 

(3)

Gender and Number. Any reference to gender includes all genders. Words importing the singular number only include the plural and vice versa.

 

(4)

Certain Phrases and References, etc. The words “including”, “includes” and “include” mean “including (or includes or include) without limitation,” and “the aggregate of”, “the total of”, “the sum of”, or a phrase of similar meaning means “the aggregate (or total or sum), without duplication, of.” Unless stated otherwise, “Article”, “Section”, and “Schedule” followed by a number or letter mean and refer to the specified Article or Section of or Schedule to this Agreement. The term “Agreement” and any reference in this Agreement to this Agreement or any other agreement or document includes, and is a reference to, this Agreement or such other agreement or document as it may have been, or may from time to time be, amended, restated, replaced, supplemented or novated and includes all schedules to it. The term “made available” means copies of the subject materials were included in the Data Room.

 

(5)

Capitalized Terms. All capitalized terms used in any Schedule or in the Corporation Disclosure Letter have the meanings ascribed to them in this Agreement.

 

(6)

Knowledge. Where any representation or warranty is expressly qualified by reference to the knowledge of the Corporation or its Subsidiaries, it is deemed to refer to the actual knowledge of William G. Rice, Chief Executive Officer and Fletcher Payne, Chief Financial Officer and Chief Business Officer, in their respective capacity as officers of the Corporation and not in their personal capacity, after due and diligent inquiry.

 

-20


Table of Contents
(7)

Accounting Terms. Except as otherwise specifically provided for in this Agreement, all accounting terms are to be interpreted in accordance with U.S. GAAP and all determinations of an accounting nature in respect of the Corporation required to be made shall be made in a manner consistent with U.S. GAAP.

 

(8)

Statutes. Any reference to a Law refers to such Law and all rules and regulations made under it, as it or they may have been or may from time to time be amended, consolidated, replaced or re-enacted, unless stated otherwise.

 

(9)

Computation of Time. If any action may be taken within, or any right or obligation is to expire at the end of, a period of days under this Agreement, then the first day of the period is not counted, but the day of its expiry is counted. Whenever payments are to be made or an action is to be taken on a day which is not a Business Day, such payment will be made or such action will be taken on or not later than the next succeeding Business Day.

 

(10)

Time References. References to time are to local time, Toronto, Ontario.

 

(11)

Subsidiaries. To the extent any covenants or agreements relate, directly or indirectly, to a Subsidiary of the Corporation, each such provision shall be construed as a covenant by the Corporation to cause (to the fullest extent to which it is legally capable) such Subsidiary to perform the required action.

 

(12)

Consent. If any provision requires approval or consent of a Party and such approval or consent is not delivered within the specified time limit, the Party whose consent or approval is required shall be conclusively deemed to have withheld its approval or consent.

 

(13)

Schedules. The schedules attached to this Agreement form an integral part of this Agreement for all purposes of it.

ARTICLE 2

THE ARRANGEMENT

Section 2.1 Arrangement.

The Corporation and the Purchaser agree that the Arrangement will be implemented in accordance with and subject to the terms and conditions of this Agreement and the Plan of Arrangement.

Section 2.2 Interim Order.

As soon as reasonably practicable after the date of this Agreement, but in any event in sufficient time to permit the Meeting to be convened in accordance with Section 2.3, the Corporation shall apply in a manner reasonably acceptable to the Purchaser pursuant to Section 193 of the ABCA and, in cooperation with the Purchaser, prepare, file and diligently pursue an application for the Interim Order, which must provide, among other things:

 

(1)

for the class of Persons to whom notice is to be provided in respect of the Arrangement and the Meeting and for the manner in which such notice is to be provided;

 

(2)

that the required level of approval (the “Required Shareholder Approval”) for the Arrangement Resolution shall be (i) at least 66 2/3% of the votes cast on the

 

-21


Table of Contents
 

Arrangement Resolution by the Shareholders present in person or virtually or represented by proxy at the Meeting, each Shareholder being entitled to one vote per Share and (ii) “minority approval” (as defined in MI 61-101), of Shareholders present in person or virtually or represented by proxy at the Meeting, each such Shareholder being entitled to one vote per Share;

 

(3)

that, in all other respects, the terms, restrictions and conditions of the Corporation’s Constating Documents, including quorum requirements and all other matters, shall apply in respect of the Meeting;

 

(4)

for the grant of the applicable Dissent Rights to those Shareholders who are registered Shareholders as contemplated in the Plan of Arrangement;

 

(5)

for the notice requirements with respect to the presentation of the application to the Court for the Final Order;

 

(6)

that the Meeting may be adjourned or postponed from time to time by the Corporation in accordance with the terms of this Agreement or as otherwise agreed to by the Parties without the need for additional approval of the Court;

 

(7)

confirmation of the record date for the purposes of determining the Shareholders entitled to receive notice of and to vote at the Meeting in accordance with the Interim Order;

 

(8)

that the record date for Shareholders entitled to notice of and to vote at the Meeting will not change in respect of any adjournment(s) of the Meeting, unless required by Securities Laws; and

 

(9)

for such other matters as the Purchaser or the Corporation may reasonably require, subject to obtaining the prior consent of the other, such consent not to be unreasonably conditioned, withheld or delayed.

Section 2.3 Meeting.

Subject to the terms of this Agreement and the Interim Order, the Corporation shall:

 

(1)

use all commercially reasonable efforts to convene and conduct the Meeting in accordance with the Interim Order, the Corporation’s Constating Documents and Law as soon as reasonably practicable (but in any event no later than January 16, 2026 (the “Outside Meeting Date”)), and, in this regard, the Corporation shall abridge, as necessary, any time periods that may be abridged under Securities Laws, for the purpose of considering the Resolutions and for any other proper purpose as may be set out in the Circular and agreed to by the Purchaser, and not adjourn, postpone or cancel (or propose the adjournment, postponement or cancellation of) the Meeting without the prior written consent of the Purchaser, except:

 

  (a)

in the case of an adjournment, as required for quorum purposes;

 

  (b)

as required or permitted under Section 4.8(4) or Section 5.4(5); or

 

  (c)

as required by Law or by a Governmental Entity.

 

-22


Table of Contents
(2)

subject to the terms of this Agreement, use commercially reasonable efforts to solicit proxies in favour of the approval of the Arrangement Resolution and the Continuance Resolution and against any resolution submitted by any Shareholder that is inconsistent with the Arrangement Resolution or the Continuance Resolution and the completion of any of the transactions contemplated by this Agreement, including, if so requested by the Purchaser, acting reasonably, using proxy solicitation services firms reasonably acceptable to the Corporation and at the expense of the Purchaser and cooperating with any Persons engaged by the Purchaser to solicit proxies in favour of the approval of the Arrangement Resolution and the Continuance Resolution and against any resolution submitted by any Shareholder that is inconsistent with the Arrangement Resolution or the Continuance Resolution;

 

(3)

provide the Purchaser with copies of or access to information regarding the Meeting generated by the Corporation’s transfer agent or any dealer or proxy solicitation services firm, as requested from time to time by the Purchaser, and instruct any dealer or proxy solicitation services firm retained by the Corporation to report to the Purchaser and its Representatives and legal counsel concurrently with their reports to the Corporation;

 

(4)

consult with the Purchaser in fixing the date of the Meeting and the record date for the Meeting, give notice to the Purchaser of the Meeting and allow the Purchaser’s Representatives and outside legal counsel to attend the Meeting;

 

(5)

promptly advise the Purchaser, at such times as the Purchaser may reasonably request and at least on a daily basis on each of the last ten (10) Business Days prior to the date of the Meeting, as to the aggregate tally of the proxies (for greater certainty, specifying votes “for” and votes “against”, each of the Arrangement Resolution and the Continuance Resolution) received by the Corporation in respect of each of the Arrangement Resolution and the Continuance Resolution;

 

(6)

promptly advise the Purchaser of any communication (written or oral) received from, or claims brought by (or, to the knowledge of the Corporation, threatened to be brought by), any Person in opposition to the Arrangement and/or any purported exercise or withdrawal of Dissent Rights by Shareholders and, subject to Law, cooperate and provide the Purchaser with (a) an opportunity to review and comment upon in advance any written communications to be sent by or on behalf of the Corporation to any such Person, (b) a copy of any such written communication and (c) the opportunity to participate in any discussions, negotiations or Proceedings with or including any such Persons;

 

(7)

not settle, compromise or make any payment with respect to, or agree to settle, compromise or make any payment with respect to, any exercise or purported exercise of Dissent Rights without the prior written consent of the Purchaser;

 

(8)

not waive any failure by any holder of Shares to timely deliver a notice of exercise of Dissent Rights, make any payment or settlement offer, or agree to any payment or settlement prior to the Effective Time with respect to Dissent Rights without the prior written consent of Purchaser;

 

-23


Table of Contents
(9)

not, without the Purchaser’s consent, change the record date for Shareholders entitled to vote at the Meeting in connection with any adjournment or postponement of the Meeting unless required by Law; and

 

(10)

at the request of the Purchaser from time to time, acting reasonably, provide the Purchaser, as soon as reasonably practicable, with a list of (a) the registered Shareholders, together with their addresses and respective holdings of Shares, all as shown on the records of the Corporation and its registrar and transfer agent, (b) the names, addresses and holdings of all Persons having rights issued by the Corporation to acquire Shares (including holders of Incentive Securities and Warrants), and (c) participants and book-based nominee registrants such as CDS & Co., CEDE & Co. and DTC, and non-objecting beneficial owners of Shares, together with their addresses and respective holdings of Shares, all as can be reasonably obtained by the Corporation using the procedure set forth under Securities Laws. The Corporation shall from time to time require that its registrar and transfer agent furnish the Purchaser with such additional information, including updated or additional lists of Shareholders, and lists of securities positions and other assistance as the Purchaser may reasonably request in order to be able to communicate with respect to the Arrangement with the Shareholders and with such other Persons as are entitled to vote on the Resolutions.

Section 2.4 Circular.

 

(1)

The Corporation shall, as promptly as reasonably practicable after the date of this Agreement, prepare and complete, in consultation with the Purchaser, a preliminary Proxy Statement on Schedule 14A, which preliminary Proxy Statement shall be prepared in compliance with Regulation 14A under the U.S. Exchange Act and shall include all additional disclosure required by the Interim Order or Canadian Law to be included in the Circular, together with any other documents required by Law in connection with the Meeting and the Arrangement. The Corporation shall file such preliminary Proxy Statement with the SEC and on SEDAR+ in connection with the Meeting and the transactions contemplated by this Agreement. As promptly as reasonably practicable after obtaining the Interim Order and after the earliest of (i) the Corporation learning that the preliminary Proxy Statement will not be reviewed by the SEC, (ii) the SEC not informing the Corporation, on or prior to tenth business day after filing the preliminary Proxy Statement, that it will be reviewing the preliminary Proxy Statement or (iii) the Corporation being informed by the SEC staff that it has no further comments thereon, the Corporation shall cause a definitive Proxy Statement to be filed with the SEC and the final Circular to be filed on SEDAR+, and to send to each Shareholder and other Person as required by the Interim Order and Law, the Proxy Statement and Circular, along with such other documents as may be required, in each case so as to permit the Meeting to be held as soon as reasonably practicable and, in any event, on or before the Outside Meeting Date.

 

(2)

The Corporation shall ensure that the Proxy Statement and Circular each complies in all material respects with the Interim Order and Law, does not contain any Misrepresentation (other than in respect to any written information with respect to the Purchaser or the Parent that is furnished in writing by or on behalf of the Purchaser or the Parent for inclusion in the Proxy Statement and Circular) and provides the

 

-24


Table of Contents
 

Shareholders with sufficient information to permit them to form a reasoned judgement concerning the matters to be placed before the Meeting. Without limiting the generality of the foregoing, the Circular must include: (a) a summary and a copy of the Fairness Opinion and a summary of the Formal Valuation, (b) a statement that the Transaction Committee has received the Fairness Opinion and the Formal Valuation and has, after receiving advice from its financial adviser and outside legal counsel, unanimously recommended that the Board approve the Arrangement and that the Shareholders (other than the holders of the Excluded Shares) vote in favour of the Resolutions, (c) a statement that the Board has received the Fairness Opinion and the Formal Valuation and has, after receiving advice from its financial adviser and outside legal counsel and the unanimous recommendation of the Transaction Committee, unanimously determined that the Resolutions are in the best interests of the Corporation and are fair to the Shareholders (other than the holders of the Excluded Shares) and that the Board unanimously recommends that the Shareholders (other than the holders of the Excluded Shares) vote in favour of the Resolutions (the “Board Recommendation”), and (d) a statement that the Supporting Shareholder, and any other Shareholder that has entered into a Support and Voting Agreement following the date hereof and prior to the date of the Meeting, has entered into a Support and Voting Agreement pursuant to which such Shareholder has agreed to vote all of their Shares in favour of each of the Continuance Resolution and the Arrangement Resolution.

 

(3)

The Corporation shall give the Purchaser and its outside legal counsel a reasonable opportunity to review and comment on drafts of the Circular and other related documents, and shall give reasonable consideration to any comments made by the Purchaser and its outside legal counsel, and agrees that all information relating to the Purchaser that is furnished in writing by or on behalf of the Purchaser for inclusion in the Circular or other related documents must be in a form and content satisfactory to the Purchaser, acting reasonably. The Corporation shall provide the Purchaser with a final copy of the Circular prior to its mailing to the Shareholders.

 

(4)

The Purchaser shall provide in writing to the Corporation all necessary information concerning the Purchaser that is required by Law to be included by the Corporation in the Circular or other related documents to the Corporation in writing and shall ensure that such information does not contain any Misrepresentation.

 

(5)

Each Party shall promptly notify the other Party if it becomes aware that the Circular contains a Misrepresentation, or otherwise requires an amendment or supplement. The Parties shall cooperate in the preparation of any such amendment or supplement as required or appropriate, and the Corporation shall promptly mail, file or otherwise publicly disseminate any such amendment or supplement to the Shareholders and, if required by the Court or by Law, file the same with the Securities Authorities or any other Governmental Entity as required.

 

(6)

The Corporation shall promptly notify the Purchaser upon the receipt of any correspondence with respect to the Circular or the Arrangement, whether written or oral, from any Securities Authority or the staff of a Securities Authority with respect to the Circular or the Arrangement or any request from any Securities Authority or the staff of a Securities Authority for information related to the Circular or the Arrangement or

 

-25


Table of Contents
 

amendments or supplements to the Circular, and shall promptly provide the Purchaser with copies of all correspondence between the Corporation and its Representatives, on the one hand, and the Securities Authority or the staff of the Securities Authority, on the other hand. The Corporation shall use its commercially reasonable efforts to respond as promptly as reasonably practicable to any correspondence with respect to the Circular or the Arrangement from any Securities Authority or the staff of a Securities Authority with respect to the Circular or the Arrangement, and the Corporation shall consult with the Purchaser and its legal counsel prior to submitting to the Securities Authority or the staff of the Securities Authority any response to any such correspondence. In connection with the filing of the Circular or the dissemination thereof to the Shareholders, or submitting to any Securities Authority or the staff of a Securities Authority any response to any correspondence of any Securities Authority or the staff of the Securities Authority with respect thereto, the Corporation shall provide the Purchaser and its legal counsel a reasonable opportunity to review and comment on such document, responses and/or proposed disclosures and the Corporation will incorporate any reasonable comments of the Purchaser and/or its legal counsel prior to such filing, dissemination or submission.

Section 2.5 Final Order.

If the Interim Order is obtained and the Arrangement Resolution is passed at the Meeting as provided for in the Interim Order, the Corporation shall take all steps necessary or desirable to submit the Arrangement to the Court and diligently pursue an application for the Final Order pursuant to Section 193 of the ABCA, as soon as reasonably practicable, but in any event not later than five (5) Business Days after the Arrangement Resolution is passed at the Meeting as provided for in the Interim Order.

Section 2.6 Court Proceedings.

In connection with all Proceedings relating to obtaining the Interim Order and the Final Order, the Corporation shall, subject to the terms of this Agreement:

 

(1)

diligently pursue, and cooperate with the Purchaser in diligently pursuing, the Interim Order and the Final Order;

 

(2)

provide the Purchaser and its outside legal counsel with a reasonable opportunity to review and comment upon drafts of all material to be filed with, or submitted to, the Court, the ASC or any Governmental Entity in connection with the Arrangement, including drafts of the motion for Interim Order and Final Order, affidavits, Interim Order and Final Order, and give reasonable and due consideration to all such comments of the Purchaser and its outside legal counsel, provided that all information relating to the Purchaser and their respective affiliates included in such materials shall be in a form and substance satisfactory to the Purchaser, acting reasonably;

 

(3)

provide to the Purchaser and its outside legal counsel, on a timely basis, copies of any notice of appearance, evidence or other documents served on the Corporation or its outside legal counsel in respect of the application for the Interim Order or the Final Order or any appeal from them, and any notice, written or oral, indicating the intention of any Person to appeal, or oppose the granting of, the Interim Order or the Final Order;

 

-26


Table of Contents
(4)

ensure that all material filed with the Court in connection with the Arrangement is consistent in all material respects with the terms of this Agreement and the Plan of Arrangement;

 

(5)

not file any material with the Court in connection with the Arrangement or serve any such material, or agree to modify or amend any material so filed or served, except as contemplated by this Agreement or with the Purchaser’s prior written consent, such consent not to be unreasonably withheld or delayed, provided that the Purchaser is not required to agree or consent to any increase in or variation in the form of the Consideration or other modification or amendment to such filed or served materials that expands or increases the Purchaser’s obligations, or diminishes or limits the Purchaser’s rights, set forth in any such filed or served materials or under this Agreement, the Arrangement or the Support and Voting Agreements;

 

(6)

oppose any proposal from any Person that the Final Order contain any provision inconsistent with this Agreement;

 

(7)

not object to legal counsel to the Purchaser making such submissions on the application for the Interim Order and the application for the Final Order as such counsel considers appropriate, acting reasonably; provided that such submissions are consistent with this Agreement and the Plan of Arrangement, and further provided that the Purchaser’s legal counsel advises the Corporation’s legal counsel of the nature of such submissions at least the day before the hearing; and

 

(8)

if the Corporation is required by the terms of the Final Order or by Law to return to Court with respect to the Final Order, only do so after notice to, and in consultation and cooperation with, the Purchaser.

Section 2.7 Treatment of Incentive Securities and Warrants.

 

(1)

The Board has approved the vesting of all outstanding Incentive Securities effective immediately before the Effective Time conditional upon the subsequent consummation of the Arrangement in order that all such outstanding Incentive Securities shall be fully vested and exercisable by the holder thereof immediately before the Effective Time in accordance with the terms thereof, and otherwise shall be surrendered in accordance with the terms of this Agreement.

 

(2)

In accordance with and subject to the Plan of Arrangement and notwithstanding anything contrary in the Incentive Compensation Plans, Warrant certificate or any applicable grant letter, employment Contract or any resolution or determination of the Board (or any committee thereof), at the Effective Time, the Incentive Securities and Warrants identified below shall be treated as follows:

 

  (a)

each Option held by an Option holder will cease to represent an option or other right to acquire Shares and shall be deemed surrendered and exchanged for an amount in cash, payable by the Corporation, equal to the Consideration less the applicable exercise price in respect of such Option (for greater certainty, where such amount is zero or negative, neither the Corporation nor the Purchaser shall be obligated to pay the holder of such Option any amount in respect of such Option), less any applicable withholding pursuant to Section 2.12;

 

-27


Table of Contents
  (b)

each RSU held by a RSU holder will cease to represent a share unit of the Corporation and shall be deemed surrendered to the Corporation and exchanged for an amount in cash, payable by the Corporation, equal to the Consideration, less any applicable withholding pursuant to Section 2.12;

 

  (c)

each Warrant held by a Warrant holder other than Warrants held by Armistice Capital Master Fund Ltd. (the “Armistice Warrants”) will cease to represent a common share purchase warrant of the Corporation and shall be deemed surrendered and exchanged for an amount in cash, payable by the Corporation, equal to the Consideration less the exercise price per Share of such share purchase warrant (for greater certainty, where such amount is zero or negative, neither the Corporation nor the Purchaser shall be obligated to pay the holder of such warrant any amount in respect of such warrant), less any applicable withholding pursuant to Section 2.12; and

 

  (d)

each Armistice Warrant will case to represent a common share purchase warrant of the Corporation, and shall be deemed to be surrendered and exchanged for an amount in cash, payable by the Corporation, equal to the Black Scholes Amount, less any applicable withholding pursuant to Section 2.12.

Following such payments or actions, all Incentive Securities and Warrants outstanding on the Effective Date, whether vested or unvested, shall be deemed exercised, surrendered and cancelled in accordance with the Plan of Arrangement and (i) each holder of Options, RSUs or Warrants shall cease to be a holder of such Options, RSUs or Warrants, (ii) such holder’s name shall be removed from each applicable register, (iii) the Incentive Compensation Plans and all agreements relating to the Options, RSUs and Warrants shall be terminated and shall be of no further force and effect, and (iv) such holder shall thereafter have only the right to receive the consideration to which they are entitled pursuant to Section 2.7(2)(a), Section 2.7(2)(b) and Section 2.7(2)(c) at the time and in the manner specified in Section 2.7(2)(a), Section 2.7(2)(b) and Section 2.7(2)(c).

 

(3)

The Corporation will take all actions (including obtaining any necessary determinations and/or resolutions of the Board or a committee thereof, as the case may be, including in order to amend the terms of the ESPP) that may be necessary or required under the ESPP in order to, subject to the Arrangement becoming effective: (a) suspend the ESPP so that no new participants may be enrolled therein and so that participants in the current ESPP shall not be entitled to make further contributions to the ESPP after the date of this Agreement; and (b) deliver or cause to be delivered, as soon as reasonably practicable after the date of this Agreement, to the participants in the ESPP the monies accumulated on their behalf under the ESPP.

 

(4)

The Parties acknowledge that no deduction will be claimed by the Corporation or any Person not dealing at arm’s length with the Corporation in respect of any payment made in respect of Incentive Securities and/or Warrants pursuant to the Plan of Arrangement to a holder of Incentive Securities and/or Warrants who is a resident of Canada or who is employed in Canada (both within the meaning of the Tax Act) in computing the Corporation’s, or such Person’s, taxable income under the Tax Act or any other applicable provincial or territorial tax legislation if and to the extent that the claiming of such deduction would cause such holder to not be entitled to claim a deduction pursuant to paragraph 110(1)(d) of the Tax Act (or any equivalent provisions of any applicable

 

-28


Table of Contents
 

provincial or territorial tax legislation) otherwise available to such holder in respect of the payment received in consideration for the surrender by the holder of such Incentive Securities and/or Warrants, and the Corporation shall, to the extent that such Incentive Securities and/or Warrants, as the case may be, are subject to section 7 of the Tax Act, and to the extent that such Incentive Securities and/or Warrants are not in respect of “non-qualified securities” for purposes of paragraph 110(1)(e) of the Tax Act: (a) where applicable, make an election pursuant to subsection 110(1.1) of the Tax Act (and any provisions of any applicable provincial or territorial tax legislation) in respect of the cash payments made in exchange for the surrender of Incentive Securities and/or Warrants, and (b) provide evidence in writing of such election to holders of Incentive Securities and/or Warrants in the form(s) prescribed in respect of the Tax Act and any other applicable provincial or territorial tax legislation.

 

(5)

Amounts payable by or on behalf of the Corporation or its Subsidiaries pursuant to this Section 2.7 shall be paid to the applicable recipient through the payroll or equity plan management system of the Corporation and its Subsidiaries, as applicable, less applicable withholdings and other deductions for or on account of any Taxes, if any, as soon as possible after Closing. The Purchaser shall cause the Corporation or its Subsidiaries, as applicable, to timely remit the amounts so withheld or deducted, and pay any other payroll Taxes payable in respect of the payments contemplated under this Section 2.7, to the appropriate Governmental Entity.

 

(6)

The Parties shall use commercially reasonable efforts to execute and deliver, or cause to be executed and delivered, such documents and to do, or cause to be done, all commercially reasonable acts as may be required or necessary for the purposes of giving effect to the transactions described in this Section 2.7.

Section 2.8 Employees.

From and after the Effective Time, the Parent and the Purchaser shall cause the Corporation to honour and comply in all material respects with all of the obligations of the Corporation under employment Contracts with Employees and for a period of twelve (12) months following the Effective Time and shall cause the Corporation to provide the Employees with:

 

  (a)

total compensation that is, in the aggregate, at least substantially similar (excluding grants and compensation under Incentive Compensation Plans) to the compensation provided to such Employees immediately prior to the Effective Time;

 

  (b)

notice of termination, pay in lieu of notice and severance benefits to each Employee that are no less favourable than those that would have been provided to such Employee under the applicable Employee Plans or Contracts as in effect immediately prior to the Effective Time, and if no such Employee Plans or Contracts were then in effect, such Employee will be provided with notice or payment in lieu of notice and severance as required by Law, and

 

  (c)

employee benefits that are comparable in the aggregate to those that such Employee was entitled to receive under the Employee Plans (excluding any Employee Plan providing for defined benefit, equity or equity-based, or retiree or post-termination

 

-29


Table of Contents
 

health and welfare benefits) immediately prior to the Effective Time provided that nothing in this Section 2.8 shall give:

 

  (i)

any Employees any right to or guarantee of continued employment;

 

  (ii)

affect or otherwise increase the severance, post-termination benefits or other termination entitlements of Employees under their current employment Contracts, Employee Plans or applicable Law;

 

  (iii)

impair in any way the right of the Corporation to terminate the employment of any Employee or amend or terminate any of the Employee Plans at any time; or

 

  (iv)

apply to any Employee who is or becomes covered by a Collective Agreement whose terms and conditions of employment of each such Employee following the Effective Time shall be governed by the terms of the applicable Collective Agreement.

Section 2.9 Articles of Arrangement and Effective Time.

 

(1)

The Articles of Arrangement shall implement the Plan of Arrangement. The Articles of Arrangement shall include the form of the Plan of Arrangement attached to this Agreement as Schedule A and any amendments or variations thereto made in accordance with the terms of this Agreement or made at the direction of the Court in the Final Order with the consent of the Corporation and the Purchaser, each acting reasonably.

 

(2)

The closing of the transactions contemplated hereby (the “Closing”), including the filing of the Articles of Arrangement with the Registrar, shall occur as soon as reasonably practicable (and in any event not later than five (5) Business Days) after the satisfaction or, where not prohibited, the waiver by the applicable Party or Parties in whose favour the condition is stipulated, of the conditions set out in Article 6 (excluding conditions that, by their terms, cannot be satisfied until the Effective Time, but subject to the satisfaction or, where not prohibited, the waiver by the applicable Party or Parties in whose favour the condition is stipulated, of those conditions as of the Effective Time), unless another time or date is agreed to in writing by the Parties, provided that if on the date the Corporation would otherwise be required to file the Articles of Arrangement pursuant to this Section 2.9(2), a Party has delivered a Termination Notice pursuant to Section 4.8(3), the Corporation shall not file the Articles of Arrangement until the Breaching Party has cured the breaches of representations, warranties, covenants or other matters specified in the Termination Notice.

 

(3)

From and after the Effective Time, the Plan of Arrangement shall have all of the effects provided by applicable Law, including the ABCA. The Closing will take place by remote communication and by the exchange of documents by electronic transmission (by email or other electronic means) unless otherwise agreed upon by the Parties.

Section 2.10 Payment of Consideration.

The Purchaser shall, following receipt of the Final Order and not less than one Business Day prior to the filing by the Corporation of the Articles of Arrangement with the Registrar, (i) transfer or cause to be transferred to the Depositary sufficient funds to be held in escrow (the terms and conditions of such escrow to be satisfactory to the Corporation and the Purchaser, each acting

 

-30


Table of Contents

reasonably) in order to satisfy the aggregate Consideration payable to the Shareholders (other than the holders of the Excluded Shares) as provided for in the Plan of Arrangement, and (ii) if requested by the Corporation, provide the Corporation with sufficient funds, in the form of a loan to the Corporation (on terms and conditions to be agreed by the Corporation and the Purchaser, acting reasonably), to allow the Corporation to satisfy the Consideration payable under Section 2.7 (including any payroll Taxes payable in respect thereof).

Section 2.11 Adjustment of Consideration.

Notwithstanding anything in this Agreement to the contrary, if, on or after the date of this Agreement, the Corporation declares or pays any dividend or other distribution on the Shares prior to the Effective Time, the Consideration shall be reduced by the amount of such dividends or distributions, on a dollar for dollar basis, to provide to Shareholders the same economic effect as contemplated by this Agreement and the Arrangement prior to such action and as so adjusted shall, from and after the date of such event, be the Consideration to be paid per Share.

Section 2.12 Withholding Rights.

Notwithstanding anything to the contrary in this Agreement or the Plan of Arrangement, each of the Purchaser, the Corporation, any of the Subsidiaries of the Corporation, the Depositary or any other Person that makes a payment hereunder shall be entitled to deduct and withhold from any amounts payable or property deliverable under this Agreement or the Arrangement (including any amounts payable or property deliverable pursuant to Section 2.7) to any Securityholder, such amounts as it is directed to deduct and withhold, or is required to deduct and withhold with respect to such payment under the Tax Act or the provisions of any other applicable tax Law, and shall remit such deducted and withheld amounts to the appropriate Governmental Entity. If the Purchaser (or its affiliate or agent) expects to withhold or deduct from any amount payable or deliverable under this Agreement or the Plan of Arrangement, the Purchaser shall use commercially reasonable efforts to provide notice thereof in writing to the Corporation and the Depositary reasonably promptly after the Purchaser becomes aware of such expectation, and the Purchaser and the Corporation any shall reasonably cooperate in good faith to minimize the amount of such withholding or deduction to the extent permitted by applicable Laws. To the extent that any amounts are so properly deducted, withheld and remitted to the appropriate Governmental Entity within the time required and in accordance with applicable Laws, such deducted and withheld amounts shall be treated for all purposes of this Agreement and the Arrangement as having been paid to the Securityholders or other persons in respect of which such deduction and withholding and remittance was made.

Section 2.13 Efforts

From and after the Effective Time, the Purchaser shall (and shall cause the Corporation and its Subsidiaries to) use commercially reasonable efforts to continue operating the business of the Corporation and its Subsidiaries in a manner generally consistent with the manner in which the business of the Corporation and its Subsidiaries was operated prior to the Effective Time, with such modifications as reasonably determined by the Purchaser from time to time following Closing.

Section 2.14 Parent Guarantee

The Parent hereby unconditionally and irrevocably guarantees in favour of the Corporation the due and punctual performance by the Purchaser of the Purchaser’s obligations hereunder,

 

-31


Table of Contents

including, without limitation, the due and punctual payment and delivery of the Consideration pursuant to the Arrangement. The Parent hereby agrees that the Corporation shall not have to proceed first against the Purchaser in respect of any such matter before exercising its rights under this guarantee against the Parent and agrees to be liable for all guaranteed obligations as if it were the principal obligor of such obligations.

ARTICLE 3

REPRESENTATIONS AND WARRANTIES

Section 3.1 Representations and Warranties of the Corporation.

 

(1)

Except as disclosed in the Corporation Disclosure Letter (which disclosure shall apply against any representations and warranties to which it is reasonably apparent it should relate), the Corporation represents and warrants to the Parent and the Purchaser that the representations and warranties set forth in Schedule C are true and correct and acknowledges and agrees that the Parent and the Purchaser are relying upon such representations and warranties in connection with the entering into of this Agreement and the consummation of the Arrangement.

 

(2)

Except for the representations and warranties set forth in this Agreement, neither the Corporation nor any other Person has made, or makes any other, express or implied representation and warranty, either written or oral, on behalf of the Corporation.

 

(3)

The representations and warranties of the Corporation contained in this Agreement shall not survive the completion of the Arrangement and shall expire and be terminated on the earlier of the Effective Time and the date on which this Agreement is terminated in accordance with its terms.

Section 3.2 Representations and Warranties of the Parent and the Purchaser.

 

(1)

The Parent and the Purchaser jointly and severally represent and warrant to the Corporation that the representations and warranties set forth in Schedule D are true and correct and acknowledge and agree that the Corporation is relying upon the representations and warranties in connection with the entering into of this Agreement and the consummation of the Arrangement.

 

(2)

Except for the representations and warranties set forth in this Agreement, neither the Parent nor the Purchaser nor any other Person has made, or makes any other, express or implied representation and warranty, either written or oral, on behalf of the Parent or the Purchaser.

 

(3)

The representations and warranties of the Parent and the Purchaser contained in this Agreement shall not survive the completion of the Arrangement and shall expire and be terminated on the earlier of the Effective Time and the date on which this Agreement is terminated in accordance with its terms.

 

-32


Table of Contents

ARTICLE 4

COVENANTS

Section 4.1 Conduct of Business of the Corporation.

 

(1)

The Corporation covenants and agrees that, during the period from the date of this Agreement until the earlier of the Effective Time and the time that this Agreement is terminated in accordance with its terms, except (a) with the express prior written consent of the Purchaser (such consent not to be unreasonably withheld or delayed), (b) as required by this Agreement, (c) as required by applicable Law, a Governmental Entity or any Material Contract in effect as of the date hereof, (d) as set out in Section 4.1 of the Corporation Disclosure Letter, the Corporation shall, and shall cause each of its Subsidiaries to (i) conduct business in the Ordinary Course, (ii) use commercially reasonable efforts to maintain and preserve in all material respects its and its Subsidiaries’ respective business organization, operations, assets (including, for greater certainty, the Corporation Assets and Corporation Data), properties, Authorizations, Intellectual Property, Pharmaceutical Product, goodwill and business relationships with customers, suppliers, distributors, licensors, partners and other Persons with which the Corporation or any of its Subsidiaries has material business relations and (iii) perform and comply with all of its obligations under the Material Contracts. Notwithstanding the foregoing provisions of this Section 4.1(1) the Corporation shall not be deemed to have failed to satisfy its obligations under this Section 4.1(1) to the extent such failure resulted from the Corporation’s failure to take any action prohibited by Section 4.1(2) to the extent the Purchaser did not provide its prior written consent to the taking of such action.

 

(2)

Without limiting the Corporation’s obligations under Section 4.1(1), the Corporation covenants and agrees that, during the period from the date of this Agreement until the earlier of the Effective Time and the time that this Agreement is terminated in accordance with its terms, except (i) with the express prior written consent of the Purchaser (such consent not to be unreasonably withheld or delayed), (ii) as required by this Agreement, (iii) as required by applicable Law, or (iv) as set forth in Section 4.1(2) of the Corporation Disclosure Letter, the Corporation shall not, and shall cause its Subsidiaries not to, directly or indirectly:

 

  (a)

amend, restate, rescind, alter, enact or adopt all or any portion of any of the Constating Documents of the Corporation or any of its Subsidiaries, other than in respect of the Continuance;

 

  (b)

adjust, split, combine, reclassify or amend the terms of any securities of the Corporation or any of its Subsidiaries or reorganize, amalgamate or merge the Corporation or any Subsidiary of the Corporation;

 

  (c)

reduce the stated capital of the securities of the Corporation or any of its Subsidiaries;

 

  (d)

purchase, redeem, repurchase or otherwise acquire or offer to purchase, redeem, repurchase or otherwise acquire any class of its securities, whether pursuant to any existing or future contract, arrangement, purchase plan, normal course issuer bid or otherwise;

 

-33


Table of Contents
  (e)

adopt a plan of complete or partial liquidation, arrangement, dissolution, amalgamation, merger, consolidation, restructuring, recapitalization, winding-up or other reorganization of the Corporation or any of its Subsidiaries (other than this Agreement and the transactions contemplated by this Agreement), or file a petition in bankruptcy under any applicable Law on behalf of the Corporation or any of its Subsidiaries, or consent to the filing of any bankruptcy petition against the Corporation or any of its Subsidiaries under any applicable Law;

 

  (f)

create any Subsidiary except in the Ordinary Course;

 

  (g)

enter into any new line of business or discontinue any existing line of business, or enter into any agreement or arrangement that would limit or restrict in any material respect the Corporation and any of its Subsidiaries from competing or carrying on any business in any manner;

 

  (h)

materially change the business carried on by the Corporation and its Subsidiaries, as a whole;

 

  (i)

issue, grant, deliver, sell, exchange, amend, modify, accelerate, pledge or otherwise subject to any Lien (other than Permitted Liens), or authorize any such action in respect of, (i) any securities of the Corporation or any of its Subsidiaries, (ii) options, warrants, equity or equity-based awards or other rights exercisable or exchangeable for, or convertible into, or otherwise evidencing a right to acquire any securities of the Corporation or any of its Subsidiaries (including any Incentive Securities or Warrants), or (iii) any rights that are linked in any way to the price of any shares of, or to the value of or of any part of, or to any dividends or distributions paid on any shares of, the Corporation or any of its Subsidiaries (including any Incentive Securities or Warrants), in each case other than (i) the issuance of Shares issuable upon the settlement of Incentive Securities or Warrants outstanding on the date hereof in accordance with their existing terms in effect on the date of this Agreement, or (ii) the issuance of securities of the Corporation in the Ordinary Course under the Employee Plans as required pursuant to obligations existing prior to the date hereof under the Employee Plans;

 

  (j)

invest in or acquire (by amalgamation, merger, consolidation, exchange, purchase of securities, contributions to capital or purchase, lease or license of assets or otherwise) any Person, land or any real property;

 

  (k)

enter into, or resolve to enter into, any agreement that has the effect of creating a joint venture, partnership, shareholders’ agreement or similar relationship between the Corporation or any of its Subsidiaries and another Person;

 

  (l)

make any capital expenditures or commitments in excess of $50,000 in the aggregate, except for any capital expenditures agreed to by the Purchaser prior to the date hereof, provided that in the case of capital expenditures expended to address emergencies or other urgent matters involving the potential material loss or material damage to property or personal safety, the Purchaser’s consent shall not be required where it cannot be received in a reasonably expedient manner;

 

  (m)

sell, sell and lease back, pledge, license, lease, sublease, alienate, dispose, swap, transfer or voluntarily lose the right to use, in whole or in part, or otherwise dispose of,

 

-34


Table of Contents
 

or subject to any Lien (other than Permitted Liens), any Corporation Asset or any interest in any Corporation Asset, or waive, cancel, release or assign to any Person (other than the Corporation and its wholly-owned Subsidiaries) any material right or claim (including indebtedness owed to the Corporation and its Subsidiaries), except for (i) Corporation Assets sold, leased or otherwise transferred in the Ordinary Course and that are not, individually or in the aggregate, material to the Corporation and its Subsidiaries, (ii) obsolete, damaged or destroyed assets in the Ordinary Course, (iii) returns of leased assets at the end of the lease term, (iv) transfers of assets between one or more of the Corporation and its wholly-owned Subsidiaries, (v) as required pursuant to the terms of any Material Contract in effect on the date of this Agreement, and (vi) sales or other dispositions of Corporation Assets in the Ordinary Course not in excess of $50,000 in the aggregate;

 

  (n)

make any loan or similar advance to, or any capital contribution or investment in, or assume, guarantee or otherwise become liable with respect to the liabilities or obligations of, any Person, Employee, officer, director, in excess of $50,000, other than any loan, advance, capital contribution or investment by one wholly-owned Subsidiary of the Corporation to the Corporation or another wholly-owned Subsidiary of the Corporation of from the Corporation to another wholly-owned Subsidiary of the Corporation in the Ordinary Course;

 

  (o)

prepay any long-term indebtedness before its scheduled maturity, or increase, create, incur, assume or otherwise become liable for, in one transaction or in a series of related transactions, any indebtedness or guarantees thereof other than (i) indebtedness incurred in the Ordinary Course not in excess of $50,000 in the aggregate (provided that any indebtedness created, incurred, assumed or for which the Corporation or any Subsidiary becomes liable in accordance with the foregoing is prepayable at the Effective Time without premium, penalty or other incremental costs (including breakage costs)) (ii) in connection with the refinancing of any indebtedness outstanding on the date hereof and effected at the direction of the Purchaser, acting reasonably pursuant to the transactions contemplated by this Agreement or (iii) in connection with advances under the New Facility Agreement;

 

  (p)

except as may be required by the terms of any written employment Contract, Employee Plan or Collective Agreement existing on the date hereof, the Retention Bonus Program or as otherwise provided for in this Agreement: (i) other than increases in the Ordinary Course that are not material individually or in the aggregate, as required by Law or pursuant to the terms of existing written employment Contract or Employee Plan, grant any increase in the rates of wages, salaries, benefits, bonuses or other remuneration of any Employees, (ii) grant or increase any indemnification, retention, severance, change of control, transaction-based award, bonus or termination or similar compensation or benefits payable to any Employee, officer, director, consultant, agent or independent contractor of the Corporation or any of its Subsidiaries, (iii) hire or engage any Employee, officer, director, consultant, agent or independent contractor or promote any of the foregoing who has a total compensation level greater than $100,000, (iv) terminate any Employee whose total annual compensation exceeds $100,000 without cause, (v) establish, adopt, enter into, materially amend or terminate any Employee Plan (or any plan, Contract, program, practice, policy, trust, fund or other arrangement that would be an Employee Plan if it were in existence as of the date hereof), or increase or accelerate the timing of any

 

-35


Table of Contents
 

funding obligation, funding contribution or payment of any compensation or benefits under any Employee Plan, other than commercially reasonable amendments to targets under any Incentive Compensation Plan in the Ordinary Course, after reasonable consultation with the Purchaser, (vi) accelerate the vesting of, or otherwise deviate from the terms provided in the applicable award agreement with respect to the vesting, payment, settlement or exercisability of, any Incentive Securities or other equity-based awards or other compensation, (vii) pay, grant or award, or commit to pay, grant or award, any bonuses or incentive compensation (equity- or cash-based), other than the scheduled payment in the Ordinary Course of any award, bonus or incentive compensation agreed upon prior to the date hereof, or (viii) reduce the Corporation’s or any of its Subsidiaries’ work force in a material way or so as to trigger any collective dismissal provisions under applicable Laws;

 

  (q)

knowingly take any action or fail to take any action that would reasonably be expected to result in a breach or violation of the obligations of the Corporation or any of its Subsidiaries under any Collective Agreement;

 

  (r)

enter into, modify or terminate or cancel any Collective Agreement, or enter into any Contract that would be a Collective Agreement if in effect on the date hereof or grant recognition to any labour union or similar labour organization for purposes of collective bargaining;

 

  (s)

disclose any material trade secrets or material confidential information pertaining to the Corporation or any of its Subsidiaries to any Person, other than in the Ordinary Course or to Persons who are under a contractual, legal, or ethical obligation to maintain the confidentiality of such information;

 

  (t)

(i) sublicense, sell, transfer, assign or dispose of any right in any Corporation Intellectual Property or any Intellectual Property, in each case material to any Pharmaceutical Product, (ii) other than non-exclusive licenses granted to third Persons in the Ordinary Course that are terminable by the Corporation without any consent, material penalty or material payment, lease or grant a license of any right in any Corporation Intellectual Property or any Intellectual Property material to any Pharmaceutical Product or (iii) assign or grant a license of any material right in any other Owned Intellectual Property;

 

  (u)

(i) waive, amend or voluntarily terminate any inbound license in favour of the Corporation with respect to any Corporation Intellectual Property or any Intellectual Property material to any Pharmaceutical Product, (ii) amend any Contract with respect to the use of any Corporation Intellectual Property material to any Pharmaceutical Product, or (iii) amend or waive any rights under any Material Contract, enter into any Contract that would be a Material Contract if in effect on the date hereof, or enter into any in-license of Intellectual Property, in each case, with respect to any Pharmaceutical Product;

 

  (v)

(i) except as required by applicable Law or Governmental Entity, or is deemed necessary by an existing Institutional Review Board process, commence (other than planning) or terminate (alone or with any third party) any research or development program, phase I, phase II, phase III or phase IV human clinical trial, including initiation of a new Institutional Review Board process, involving any Pharmaceutical Product, or (ii) make any material changes to, or to discontinue, terminate or suspend any ongoing

 

-36


Table of Contents
 

research and development program relating to a Pharmaceutical Product; including in relation to any Pharmaceutical Product;

 

  (w)

except as contemplated in Section 4.9, amend, modify or terminate, cancel or let lapse, any material insurance (or re-insurance) policy of the Corporation or any of its Subsidiaries, unless, simultaneously with any termination, cancellation or lapse, replacement policies underwritten by insurance and re-insurance companies of nationally recognized standing providing coverage equal to or greater than the coverage under the terminated, cancelled or lapsed policies for substantially similar premiums (other than increases reflecting changing market rates) are in full force and effect, and provided that no such termination, cancellation or lapse causes the Corporation or such Subsidiary to be in default of any Material Contract or material Authorization to which it is a party or by which it is bound;

 

  (x)

amend, other than in the Ordinary Course, any existing material Authorization of the Corporation or any of its Subsidiaries, or abandon or fail to diligently pursue any application for or renewal of any required material Authorization, or take or omit to take any action that would reasonably be expected to lead to the termination of, or imposition of conditions on, any such material Authorization of the Corporation or any of its Subsidiaries;

 

  (y)

commence, waive, release, assign, settle or compromise any Proceeding or threatened Proceeding, in each case other than settlements or compromises in the Ordinary Course that involve only: (i) the payment of monetary damages (net of any payments or proceeds received through insurance) not in excess of $1,000 individually or $5,000 in the aggregate, or (ii) the payment of immaterial non-monetary compensation, in each case without any admission of wrongdoing by the Corporation or any of its Subsidiaries, or the imposition of any material restrictions (including through the granting of equitable relief) on the business and operations of the Corporation or any of its Subsidiaries;

 

  (z)

amend or modify (other than immaterial amendments or modifications in the Ordinary Course) or terminate or waive or fail to exercise any right under any Material Contract, or enter into any Contract that would be a Material Contract if in effect on the date hereof;

 

  (aa)

engage in any transaction with any member of Senior Management, vice-president, director or any of their immediate family members (including spouses) or any related party (within the meaning of MI 61-101), other than (i) expense reimbursements and advances in the Ordinary Course, (ii) employment Contracts with Employees hired in accordance with Section 4.1(2)(p), or (iii) transactions between the Corporation and any of its wholly-owned Subsidiaries or between two or more wholly-owned Subsidiaries;

 

  (bb)

make any material change in the Corporation’s methods of Tax of financial accounting policies, practices, principles, methods or procedures, except as required by applicable Law or as required by U.S. GAAP;

 

  (cc)

except as required by applicable Law or other than in the Ordinary Course: (i) make, change or rescind any material Tax election, information schedule, return or designation inconsistent with past practice, (ii) settle or compromise (or offer to settle

 

-37


Table of Contents
 

or compromise) any material Tax claim, assessment, reassessment, liability, Proceeding or controversy, (iii) file any amendment to a material Tax Return, (iv) enter into any material agreement with a Governmental Entity with respect to Taxes, (v) enter into or change any material Tax sharing, Tax advance pricing agreement, Tax allocation or Tax indemnification agreement that is binding on the Corporation or its Subsidiaries, (vi) surrender any right to claim a material Tax abatement, reduction, deduction, exemption, credit or refund, (vii) consent to the extension or waiver of the limitation period applicable to any material Tax matter, (viii) make a request for a material Tax ruling or decision to any Governmental Entity, or (ix) materially amend or change any of its methods for reporting income, deductions or accounting for income Tax purposes;

 

  (dd)

grant or commit to grant a license or otherwise transfer any Intellectual Property owned by or licensed to the Corporation or its Subsidiaries or rights in or in respect thereto that is material to the Corporation and its Subsidiaries taken as a whole, other than to (i) wholly-owned Subsidiaries and (ii) non-exclusive licenses granted to third parties in the Ordinary Course;

 

  (ee)

enter into or amend any Contract with any broker, finder or investment banker, provided that the foregoing shall not prohibit the Corporation from entering into an agreement on commercially reasonable terms with any dealer and proxy solicitation services firm for purposes of soliciting proxies in connection with the Arrangement;

 

  (ff)

enter into any interest rate, currency, equity or commodity swaps, hedges, derivatives, forward sales contracts or similar financial instruments; or

 

  (gg)

authorize, agree, offer, resolve or otherwise commit, whether or not in writing, to do any of the foregoing.

 

(3)

The Corporation shall, and shall cause each of its Subsidiaries to, during the period from the date of this Agreement until the earlier of the Effective Time and the time that this Agreement is terminated in accordance with its terms, in each case to the extent reasonably practicable and permitted under applicable Law:

 

  (a)

consult with the Purchaser in connection with any proposed meeting with any Drug Regulatory Agency relating to services provided by, or proposed to be provided by, the Corporation or in respect of any Pharmaceutical Product;

 

  (b)

inform the Purchaser within two (2) Business Days following receipt of any material communication (written or oral) with or from any Drug Regulatory Agency relating to services provided by, or proposed to be provided by, the Corporation;

 

  (c)

promptly inform the Purchaser of, and provide the Purchaser with a reasonable opportunity to review, any material filing proposed to be made by or on behalf of the Corporation or any of its Subsidiaries, and any material correspondence or other material communication proposed to be submitted or otherwise transmitted, to any Drug Regulatory Agency by or on behalf of the Corporation or any of its Subsidiaries, in each case relating to services provided by, or proposed to be provided by, the Corporation or in respect of any Pharmaceutical Product; and

 

-38


Table of Contents
  (d)

promptly inform the Purchaser and provide the Purchaser with a reasonable opportunity to comment, in each case, prior to making any material change to any study, protocol, trial, manufacturing plan or development timeline relating to services provided by, or proposed to be provided by, the Corporation or in respect of any Pharmaceutical Product, except where such change must be made in less than three (3) Business Days when (i) required by Law or a Governmental Entity; or (ii) deemed necessary or advisable by an ethics board,

provided that, for the purposes of this Section 4.1(3), it shall not be reasonably practicable to consult with or provide the Purchaser with a reasonable opportunity to review or comment in respect of the foregoing, as the case may be, if the period within which the Corporation is required to meet or file with, or submit or transmit to, any Drug Regulatory Agency or to make any material change to any study, protocol, trial, manufacturing plan or development timeline is less than 48 hours.

 

(4)

Nothing in this Agreement, including any of the restrictions set forth herein, will be interpreted in such a way as to place any Party in violation of applicable Law.

Section 4.2 Covenants of the Corporation Relating to the Arrangement.

 

(1)

Subject to the terms and conditions of this Agreement, the Corporation shall, and shall cause its Subsidiaries to, perform all obligations required or desirable to be performed by the Corporation or any of its Subsidiaries under this Agreement, cooperate with the Parent and the Purchaser in connection therewith, and do all such other commercially reasonable acts and things as may be necessary or desirable to consummate and make effective, as soon as reasonably practicable, the transactions contemplated by this Agreement and, without limiting the generality of the foregoing, the Corporation shall and, where appropriate, shall cause its Subsidiaries to (other than in connection with obtaining the Regulatory Approvals, which approvals shall be governed by the provisions of Section 4.4):

 

  (a)

use commercially reasonable efforts to satisfy all conditions precedent in this Agreement and take all steps set forth in the Interim Order and the Final Order applicable to it and comply promptly with all requirements imposed by Law applicable to it or its Subsidiaries with respect to this Agreement or the Arrangement;

 

  (b)

use its commercially reasonable efforts to provide, obtain and maintain all third party notices, consents, waivers or approvals that are required to be obtained under Material Contracts in connection with the Arrangement or in order to maintain its Material Contracts or any of its material Authorizations in full force and effect following completion of the Arrangement, in each case, on terms that are reasonably satisfactory to the Purchaser, and without paying, and without committing itself or the Purchaser to pay, any consideration or incur any liability or obligation without the prior written consent of the Purchaser;

 

  (c)

use commercially reasonable efforts to effect all necessary registrations, filings and submissions of information required by Governmental Entities from the Corporation and its Subsidiaries relating to the Arrangement;

 

  (d)

use commercially reasonable efforts to, upon reasonable consultation with the Purchaser, oppose, lift or rescind any Order seeking to restrain, enjoin or otherwise

 

-39


Table of Contents
 

prohibit or adversely affect the consummation of the Arrangement, and defend, or cause to be defended, any Proceedings to which it is a party or brought against it or its directors or officers challenging the Arrangement, this Agreement or the transactions contemplated hereby;

 

  (e)

not take any action, or refrain from taking any commercially reasonable action, or permit any action to be taken or not taken, in each case, which is inconsistent with this Agreement or which would reasonably be expected to prevent, materially delay or otherwise impede the consummation of the Arrangement or the transactions contemplated by this Agreement;

 

  (f)

use commercially reasonable efforts to assist the Purchaser in obtaining the customary mutual releases (in a form satisfactory to the Parties, acting reasonably) and, as applicable, resignations effective as of the Effective Time of those directors of the Corporation or any of its Subsidiaries as may be requested by the Purchaser and causing them to be replaced by Persons nominated by the Purchaser effective as of the Effective Time; and

 

  (g)

use commercially reasonable efforts to cause each of the Supporting Shareholders, and any other Shareholder that has entered into a Support and Voting Agreement following the date hereof and prior to the date of the Meeting, to vote in favour of the Resolutions as required by and subject to the Support and Voting Agreements.

 

(2)

The Corporation shall promptly notify the Purchaser of:

 

  (a)

any Material Adverse Effect or any fact, change, event, occurrence, effect, state of facts, liability and/or circumstance that, individually or in the aggregate, could reasonably be expected to have or develop into a Material Adverse Effect;

 

  (b)

any notice or other communication from any Person (i) alleging that the consent (or waiver, permit, exemption, order, approval, agreement, amendment or confirmation) of such Person (or another Person) is or may be required in connection with the Arrangement, this Agreement or any of the transactions contemplated thereby, or (ii) that such Person is terminating or otherwise materially adversely modifying a Material Contract or Real Property Lease as a result of the Arrangement or this Agreement;

 

  (c)

any breach or default, or any notice of alleged breach or default, by the Corporation or any of its Subsidiaries of any Material Contract or material Authorization to which it is a party or by which it is bound;

 

  (d)

unless prohibited by Law, any notice or other communication from any Person (other than a Governmental Entity in connection with the Regulatory Approvals, which shall be addressed as contemplated by Section 4.4) in connection with the transactions contemplated by this Agreement (and the Corporation shall contemporaneously provide a copy of any such written notice or communication to the Purchaser);

 

  (e)

any written notice or other communication from any Governmental Entity in connection with this Agreement (and the Corporation shall contemporaneously provide a copy of any such written notice or communication to the Purchaser); and

 

-40


Table of Contents
  (f)

any Proceedings commenced or, to the knowledge of the Corporation, threatened against, relating to or involving or otherwise affecting the Arrangement, this Agreement or any of the transactions contemplated hereby.

 

(3)

The Purchaser’s receipt of information pursuant to Section 4.2(2) or otherwise shall not operate as a waiver (including with respect to Article 6), diminish the scope of, or otherwise affect any representation, warranty, covenant or agreement of the Corporation in this Agreement.

Section 4.3 Covenants of the Parent and the Purchaser Relating to the Arrangement.

 

(1)

Each of the Parent and the Purchaser shall perform all obligations required or desirable to be performed by it under this Agreement, cooperate with the Corporation in connection therewith, and do all such other commercially reasonable acts and things as may be necessary or desirable to consummate and make effective, as soon as reasonably practicable, the transactions contemplated by this Agreement and, without limiting the generality of the foregoing, the Purchaser shall (other than in connection with obtaining the Regulatory Approvals, which approvals shall be governed by the provisions of Section 4.4):

 

  (a)

use commercially reasonable efforts to satisfy all conditions precedent in this Agreement and take all steps set forth in the Interim Order and the Final Order applicable to it and comply promptly with all requirements imposed by Law applicable to it with respect to this Agreement or the Arrangement, provided, however, that under no circumstances will the Purchaser be required to agree or consent to any increase in the Consideration;

 

  (b)

use commercially reasonable efforts to effect all necessary registrations, filings and submissions of information required by Governmental Entities from it relating to the Arrangement;

 

  (c)

use commercially reasonable efforts to oppose, lift or rescind any Order seeking to restrain, enjoin or otherwise prohibit or adversely affect the consummation of the Arrangement, and defend, or cause to be defended, any Proceedings to which it is a party or brought against it or its directors or officers challenging the Arrangement, this Agreement or the transactions contemplated hereby;

 

  (d)

not take any action, or refrain from taking any commercially reasonable action, or permit any action to be taken or not taken, in each case, which is inconsistent with this Agreement or which would reasonably be expected to prevent, materially delay or otherwise impede the consummation of the Arrangement or the transactions contemplated by this Agreement; and

 

  (e)

take all necessary action to ensure that it has sufficient funds to carry out its obligations under this Agreement and the Plan of Arrangement and it shall, not less than one Business Day prior to the filing by the Corporation of the Articles of Arrangement with the Registrar in accordance with Section 2.9(2), provide, or cause to be provided, to the Depositary sufficient cash to be held in escrow in accordance with Section 2.10 to satisfy the aggregate Consideration payable to the Shareholders.

 

-41


Table of Contents
(2)

The Purchaser shall promptly notify the Corporation in writing of:

 

  (a)

any notice or other communication from any Person alleging that the consent (or waiver, permit, exemption, order, approval, agreement, amendment or confirmation) of such Person (or another Person) is or may be required in connection with this Agreement or the Arrangement;

 

  (b)

unless prohibited by Law, any notice or other communication from any Governmental Entity in connection with this Agreement or the Arrangement (and contemporaneously provide a copy of any such written notice or communication to the Corporation); or

 

  (c)

any material filing, actions, suits, claims, investigations or proceedings commenced or, to its knowledge, threatened against, the Purchaser relating to this Agreement or the Arrangement.

Section 4.4 Regulatory Approvals.

 

(1)

Each Party hereto shall, as promptly as possible, use its commercially reasonable efforts to obtain, or cause to be obtained, all consents and Authorizations, including the Regulatory Approvals, from all Governmental Entities that may be or become necessary for its execution and delivery of this Agreement and the performance of its obligations under this Agreement. Each Party shall co-operate fully with the other Party and its affiliates in promptly seeking to obtain all such consents or Authorizations from such Governmental Entities.

 

(2)

In connection with filing this Agreement under the Korea Foreign Exchange Transactions Act Filing, as promptly as practicable, and in any event within fifteen (15) Business Days after the date of this Agreement, the Purchaser shall prepare and file its notification and report forms under the Foreign Exchange Transactions Act (Korea).

 

(3)

The Parties shall cooperate and coordinate with one another in connection with obtaining the Regulatory Approvals, including by providing or submitting as promptly as practicable all documentation and information that is required, or in the opinion of the Purchaser, acting reasonably, advisable, in connection with obtaining the Regulatory Approvals.

 

(4)

The Parties shall cooperate with and keep one another fully informed as to the status of and the processes and proceedings relating to obtaining the Regulatory Approvals, and shall promptly notify each other of any communication from any Governmental Entity in respect of the transactions contemplated by this Agreement. The Parties shall exchange advance drafts of all submissions, correspondence (including emails), filings, presentations, and, if necessary, applications, undertakings, consent agreements or other material documents made or submitted to or filed with any Governmental Entity in respect of the transactions contemplated by this Agreement, will consider in good faith any suggestions made by the other Party and its counsel thereon, and will provide the other Party and its counsel with final copies thereof on a timely basis. The Parties will each keep each other and their counsel fully apprised of all written (including email) and oral communications and all meetings with any Governmental Entity, and their staff, in respect of the transactions contemplated by this Agreement. Neither Party will participate in any communications or meetings (in person, by telephone or otherwise) with any Governmental Entity regarding the transactions

 

-42


Table of Contents
 

contemplated by this Agreement without giving the other Party and their counsel the opportunity to participate therein, except to the extent that competitively sensitive information may be discussed, in which case the Parties will allow external legal counsel for the other Party to participate. To the extent that any information required to be provided by one Party to another Party pursuant to this subsection is subject to privilege or is competitively sensitive, such information may be provided only to the legal counsel and external experts of the other Party on an “outside advisors only” basis.

 

(5)

The Purchaser shall not, and shall not allow any of its Subsidiaries to, take any action or enter into any transaction, including any merger, acquisition, business combination, joint venture, disposition, lease or contract, that would reasonably be expected to prevent, materially delay or materially impede the obtaining of, or materially increase the risk of not obtaining, the Regulatory Approvals, or otherwise prevent, materially delay or materially impede the consummation of the transactions contemplated by this Agreement.

Section 4.5 Access to Information; Confidentiality.

 

(1)

From the date hereof until the earlier of the Effective Time and the termination of this Agreement, subject to applicable Law, the Corporation shall, and shall cause its Subsidiaries and shall use commercially reasonable efforts to cause their respective directors, officers, Employees, independent auditors, advisers, consultants and agents to, upon reasonable prior notice: (a) give the Parent and the Purchaser, and their respective Representatives reasonable access (during normal business hours), as the Parent or the Purchaser may reasonably require for the purpose of consummating the Arrangement or for post-closing integration purposes, to its and its Subsidiaries’ offices, premises, properties, assets, senior personnel, Contracts and books and records (including continuing access to the Data Room), and (b) furnish to the Parent or the Purchaser and its Representatives such financial and operating data and Corporation Data or other information with respect to the assets or business of the Corporation as the Parent or the Purchaser may reasonably request for the purpose of consummating the Arrangement or for post-closing integration purposes; provided that the Corporation’s compliance with any request under this Section 4.5(1) shall not unduly interfere with the conduct of the business of the Corporation and its Subsidiaries.

 

(2)

Section 4.5(1) shall not require the Corporation or its Subsidiaries to permit any access, or to disclose any information that in the reasonable good faith judgment of the Corporation, after consultation with outside legal counsel, would result in the breach of any Contract, any violation of any Law or cause any privilege (including attorney-client privilege) that the Corporation or its Subsidiaries would be entitled to assert to be undermined with respect to such information; provided that, the Parties hereto shall cooperate in seeking to find a way to allow disclosure of such information to the extent doing so could reasonably (in the good faith belief of the Corporation, after consultation with counsel) be managed through the use of customary “clean-room” or other similar arrangements.

 

(3)

Investigations made by or on behalf of the Purchaser, whether under this Section 4.5 or otherwise, will not waive, diminish the scope of, or otherwise affect any representation or warranty made by the Corporation in this Agreement.

 

-43


Table of Contents

Section 4.6 Tax Matters.

The Corporation covenants and agrees that until the Effective Time, the Corporation and its Subsidiaries shall (a) duly and timely file with the appropriate Governmental Entity all Tax Returns required to be filed by any of them, which shall be correct and complete in all material respects, and (b) pay, withhold, collect and remit to the appropriate Governmental Entity in a timely fashion all amounts required to be so paid, withheld, collected or remitted for or on account of any Taxes. The Corporation shall keep the Purchaser reasonably informed of any events, discussions, notices or changes with respect to any Tax or regulatory audit or investigation or any other investigation by a Governmental Entity or Proceeding involving the Corporation or any of its Subsidiaries (other than Ordinary Course communications which could not reasonably be expected to be material to the Corporation and the Subsidiaries on a consolidated basis).

Section 4.7 Public Communications.

 

(1)

The Corporation and the Purchaser, each acting reasonably, shall agree on the text of press releases by which the Corporation, the Purchaser or the Parent will announce (i) the execution of this Agreement, and (ii) the completion of the Arrangement.

 

(2)

Except as required by applicable Law, neither Party shall issue any press release or make any other public statement or disclosure with respect to this Agreement or the transactions contemplated by this Agreement without the prior written consent of the other Party (which consent shall not be unreasonably withheld); provided that, subject to Article 5, any Party that, in the opinion of outside legal counsel, is required to make disclosure by applicable Law (other than disclosures to Governmental Entities in connection with the Regulatory Approvals, which shall be addressed as contemplated by Section 4.4) shall use its reasonable best efforts to give the other Party prior oral or written notice and a reasonable opportunity to review or comment on such disclosure (other than with respect to confidential information contained in such disclosure) and if such prior notice is not permitted by applicable Law, shall give such notice immediately following the making of such disclosure. The Party making such disclosure shall give reasonable consideration to any comments made by the other Party or its counsel. For the avoidance of doubt, none of the foregoing shall prevent the Corporation or the Purchaser from making (a) internal announcements to Employees and having discussions with shareholders, financial analysts and other stakeholders, or (b) public announcements in the Ordinary Course that do not relate specifically to this Agreement or the Arrangement, in each case so long as such announcements and discussions are consistent in all material respects with the most recent press releases, public disclosures or public statements made by such Person. The Parties acknowledge that the Corporation will file this Agreement (excluding, for greater certainty, the Corporation Disclosure Letter) and a material change report relating thereto on SEDAR+ and with the SEC (each of which shall be available on EDGAR).

Section 4.8 Notice and Cure Provisions.

 

(1)

During the period commencing on the date of this Agreement and continuing until the earlier of the Effective Time and the termination of this Agreement in accordance with its terms,

 

-44


Table of Contents
 

each Party shall promptly notify the other Party of the occurrence, or failure to occur, of any event or state of facts which occurrence or failure would, or would be reasonably likely to:

 

  (a)

cause any of the representations or warranties of such Party contained in this Agreement to be untrue or inaccurate in any material respect at any time from the date of this Agreement to the Effective Time; or

 

  (b)

result in the failure, in any material respect, to comply with or satisfy any covenant, condition or agreement to be complied with or satisfied by such Party under this Agreement.

 

(2)

Notification provided under this Section 4.8 will not affect the representations, warranties, covenants, agreements or obligations of the Parties (or remedies with respect thereto) or the conditions to the obligations of the Parties under this Agreement.

 

(3)

The Corporation may not elect to exercise its right to terminate this Agreement pursuant to Section 7.2(1)(c)(i) [Breach of Representations and Warranties or Covenants by the Purchaser or the Parent] and the Purchaser may not elect to exercise its right to terminate this Agreement pursuant to Section 7.2(1)(d)(i) [Breach of Representations and Warranties or Covenants by the Corporation], unless the Party seeking to terminate the Agreement (the “Terminating Party”) has delivered a written notice (“Termination Notice”) to the other Party (the “Breaching Party”) specifying in reasonable detail all breaches of covenants, representations and warranties or other matters which the Terminating Party asserts as the basis for termination. After delivering a Termination Notice, provided the Breaching Party is proceeding diligently to cure such matter and such matter is capable of being cured prior to the Outside Date, the Terminating Party may not exercise such termination right until the earlier of (a) the Outside Date, and (b) the date that is ten (10) Business Days following receipt of such Termination Notice by the Breaching Party, if such matter has not been cured by such date, provided that, for greater certainty, if any matter is not capable of being cured by the Outside Date or if at any time following receipt of a Termination Notice the Breaching Party fails to diligently proceed to cure any matter, the Terminating Party may immediately exercise the applicable termination right, and provided further that a Willful Breach shall be deemed to be incapable of being cured, and the Terminating Party may immediately exercise the applicable termination right in accordance with the terms of Section 7.2(1)(c)(i) [Breach of Representations and Warranties or Covenants by the Purchaser or the Parent] or Section 7.2(1)(d)(i) [Breach of Representations and Warranties or Covenants by the Corporation], as applicable, without first providing a Termination Notice.

 

(4)

If the Terminating Party delivers a Termination Notice prior to the date of the Meeting, unless the Parties agree otherwise, the Corporation shall postpone or adjourn the Meeting to the earlier of (a) five (5) Business Days prior to the Outside Date and (b) the date that is ten (10) Business Days following receipt of such Termination Notice by the Breaching Party.

Section 4.9 Insurance and Indemnification.

 

(1)

Prior to the Effective Time, the Corporation shall, in consultation with the Purchaser, and if the Corporation is unable after using commercially reasonable efforts, the Purchaser shall cause the Corporation to, as of the Effective Time, purchase customary fully pre-paid and non-cancelable “tail” policies of directors’ and officers’ liability insurance from an insurance company of nationally recognized standing providing protection no less favourable in the

 

-45


Table of Contents
 

aggregate to the protection provided by the policies maintained by the Corporation and its wholly-owned Subsidiaries which are in effect immediately prior to the Effective Time and providing protection in respect of claims arising from facts or events which occurred on or prior to the Effective Time and the Purchaser shall, or shall cause the Corporation and its wholly-owned Subsidiaries to maintain such tail policies in effect without any reduction in scope or coverage for six (6) years after the Effective Date; provided that the Purchaser shall not be required to pay any amounts in respect of such coverage prior to the Effective Time and provided further that the cost of such policies shall not exceed 200% of the Corporation’s and its wholly-owned Subsidiaries’ current annual aggregate premium for directors’ and officers’ liability insurance policies currently maintained by the Corporation or its wholly-owned Subsidiaries.

 

(2)

From and after the Effective Time, the Purchaser shall cause the Corporation or the applicable Subsidiary of the Corporation to honour all rights to indemnification or exculpation existing as of the date hereof in favour of present and former Employees, officers and directors of the Corporation and its Subsidiaries pursuant to applicable Law and to indemnification agreements (to the extent such indemnification agreements are disclosed in Section 4.9(2) of the Corporation Disclosure Letter) and acknowledges that such rights shall survive the completion of the Plan of Arrangement and shall continue in full force and effect in accordance with their terms for a period of not less than six (6) years after the Effective Date.

 

(3)

If the Corporation or any of its Subsidiaries or any of their respective successors or assigns (a) consolidates or amalgamates with, or merges or liquidates into, any other Person and is not a continuing or surviving corporation or entity of such consolidation, amalgamation, merger, amalgamation or liquidation, or (b) transfers all or substantially all of its properties and assets to any Person, the Purchaser shall ensure that any such successor or assign (including, as applicable, any acquirer of substantially all of the properties and assets of the Corporation or its Subsidiaries) assumes all of the obligations set forth in this Section 4.9.

Section 4.10 TSX Delisting.

Each of the Corporation and the Purchaser agrees to cooperate with the other Party in taking, or causing to be taken, all actions necessary to enable (i) the delisting of the Shares from the TSX (including, if requested by the Purchaser, such items as may be necessary to delist the Shares on the Effective Date) (ii) the Corporation to cease being a reporting issuer under applicable Canadian Securities Laws and (iii) the deregistration of the Corporation with the SEC, in each case, as promptly as practicable following the Effective Time.

Section 4.11 Transaction Litigation

The Corporation shall, as promptly as reasonably practicable, notify the Purchaser in writing of any Transaction Litigation and shall keep the Purchaser informed on a reasonably prompt basis regarding any such Transaction Litigation. The Corporation shall give the Purchaser the opportunity to (a) participate in the defense of any Transaction Litigation, and (b) consult with outside legal counsel to the Corporation regarding the defense, settlement or compromise with respect to any such Transaction Litigation. For purposes of this Section 4.11, “participate” means that the Purchaser will be kept reasonably apprised on a prompt basis of proposed strategy and other significant decisions with respect to the Transaction Litigation (to the extent that the

 

-46


Table of Contents

attorney-client privilege between the Corporation and its outside legal counsel is not undermined or otherwise adversely affected, provided that, in such case, the Parties shall cooperate in seeking to find a way to allow disclosure of the proposed strategy or other significant decision to the extent doing so could reasonably (in the good faith belief of the Corporation, after consultation with outside legal counsel) be managed through the use of customary “clean-room” arrangements or the entering into of any “common interest” Contract or similar Contract), and the Purchaser may offer comments or suggestions with respect to such Transaction Litigation which the Corporation shall consider in good faith; provided that the Corporation has complete discretion over strategy and other significant decisions with respect to the Transaction Litigation. Notwithstanding anything herein to the contrary, the Corporation shall not settle or compromise or agree to settle or compromise any Transaction Litigation without the Purchaser’s prior written consent, which consent shall not be unreasonably withheld, conditioned or delayed.

Section 4.12 CrystalGenomics Release

The Corporation shall use reasonable best efforts to obtain from CrystalGenomics, Inc. (“CG”) an agreement (i) confirming the termination of the license granted from CG to the Corporation in respect of the compound referred to as CG-806, (ii) confirming the non-existence of any cause of action against the Corporation in connection with such license and its termination and (iii) providing for a customary mutual release of any and all claims each against the other in respect of or in relation to such license.

Section 4.13 Support and Voting Agreements

The Corporation shall use reasonable best efforts to obtain, within ten (10) days following the mailing of the Circular, Support and Voting Agreements from Shareholders (including directors and officers of the Corporation who are Shareholders) holding in the aggregate no less than 5% of the Shares.

Section 4.14 Tax Cooperation

The Parties shall reasonably cooperate in good faith to determine whether any transaction contemplated by this Agreement or the Plan of Arrangement, or any transaction that may be considered to be part of the same series of transactions as the transactions contemplated by this Agreement or the Plan of Arrangement, is a “reportable transaction” (as defined in section 237.3 of the Tax Act), is a “notifiable transaction” (as defined in section 237.4 of the Tax Act), or is otherwise required to be reported to any applicable Governmental Entity under any similar provisions of any applicable provincial or territorial Tax Laws. If any Party determines that any such transaction is reportable then it shall so notify all other Parties and the Parties shall reasonably cooperate in good faith (including by the sharing of draft reporting forms) in order to make any such report on a timely basis. Notwithstanding the foregoing and for greater certainty, each Party shall be permitted to report any transaction to an applicable Governmental Entity to the extent that such Party determines, acting reasonably, that such reporting is required by applicable Law.

 

-47


Table of Contents

ARTICLE 5

ADDITIONAL COVENANTS REGARDING NON-SOLICITATION

Section 5.1 Non-Solicitation.

 

(1)

Except as expressly provided in this Article 5 or in Section 5.1 of the Corporation Disclosure Letter, the Corporation shall not, and shall cause its Subsidiaries not to, directly or indirectly, through any of its Representatives or affiliates or otherwise, and shall not permit any such Person to:

 

  (a)

solicit, assist, initiate, knowingly encourage or otherwise knowingly facilitate (including by way of furnishing or providing copies of, access to, or disclosure of, any confidential information, properties, facilities, books or records of the Corporation or any Subsidiary or entering into any form of Contract, agreement, arrangement or understanding) any inquiry, proposal or offer (whether public or otherwise) that constitutes or may reasonably be expected to constitute or lead to, an Acquisition Proposal;

 

  (b)

enter into, engage in, continue or otherwise participate in any discussions or negotiations with any Person (other than the Parent, the Purchaser and their affiliates) regarding any inquiry, proposal or offer that constitutes or may reasonably be expected to constitute or lead to, an Acquisition Proposal;

 

  (c)

make a Change in Recommendation;

 

  (d)

enter into any Contract or agreement in principle requiring the Corporation to abandon, terminate or fail to consummate the Arrangement or any other transactions contemplated by this Agreement or fail to consummate the Arrangement or any other transactions contemplated by this Agreement or to breach its obligations hereunder, or propose or agree to do any of the foregoing; or

 

  (e)

accept or enter into, or publicly propose to accept or enter into, any Contract, letter of intent, term sheet, understanding or arrangement (in each case, whether or not legally binding) or similar document with any Person in respect of an Acquisition Proposal (other than a confidentiality and standstill agreement permitted by and in accordance with Section 5.3).

 

(2)

The Corporation shall, and shall cause its Subsidiaries and its and their respective Representatives to, immediately cease and terminate, and cause to be terminated, any solicitation, encouragement, discussion, negotiations or other activities commenced prior to the date of this Agreement with any Person (other than the Parent, the Purchaser and their respective affiliates) with respect to any inquiry, proposal or offer that constitutes, or may reasonably be expected to constitute or lead to, an Acquisition Proposal, and in connection with such termination shall:

 

  (a)

immediately discontinue access to, and disclosure of, all information regarding the Corporation and its Subsidiaries, including any data room and any confidential information, properties, facilities and books and records of the Corporation or any of its Subsidiaries; and

 

  (b)

promptly, and in any event within two (2) Business Days of the date hereof, request, and exercise all rights it has to require (i) the prompt return or destruction of all copies

 

-48


Table of Contents
 

of any confidential information regarding the Corporation or any of its Subsidiaries provided to any Person other than the Purchaser, its affiliates and their respective Representatives, and (ii) the destruction of all material including or incorporating or otherwise reflecting such confidential information regarding the Corporation or any of its Subsidiaries, in each case, to the extent that such information has not previously been returned or destroyed and using its reasonable commercial reasonable efforts to ensure that such requests are fully complied with in accordance with the terms of such rights or entitlements.

 

(3)

The Corporation represents and warrants that since January 1, 2025, it has not waived any confidentiality, standstill, non-disclosure, non-solicitation or similar agreement, restriction or covenant to which the Corporation or any Subsidiary is a Party. The Corporation also covenants, agrees and confirms that (a) the Corporation shall use commercially reasonable efforts to enforce each confidentiality, standstill, non-disclosure, non-solicitation or similar agreement, restriction or covenant to which the Corporation or any Subsidiary is a Party or may hereafter become a party in accordance with Section 5.3, and (b) neither the Corporation, nor any Subsidiary nor any of their respective Representatives have released or will, without the prior written consent of the Purchaser (which may be withheld or delayed in the Purchaser’s sole and absolute discretion), release any Person from, or waive, amend, suspend or otherwise modify, such Person’s obligations respecting the Corporation or any of its Subsidiaries under any confidentiality, standstill, non-disclosure, non-solicitation or similar agreement, restriction or covenant to which the Corporation or any Subsidiary is a party (it being acknowledged by the Purchaser that the automatic termination or release of any such agreement, restriction or covenant as a result of entering into this Agreement shall not be a violation of this Section 5.1(3)).

Section 5.2 Notification of Acquisition Proposals.

 

(1)

If the Corporation or any of its Subsidiaries or any of their respective Representatives, receives or otherwise becomes aware of any inquiry, proposal or offer that constitutes or may reasonably be expected to constitute an Acquisition Proposal, or any request for copies of, access to, or disclosure of, confidential information relating to the Corporation or any of its Subsidiaries, including information, access or disclosure relating to the properties, facilities, books and records of the Corporation or any of its Subsidiaries, or any discussions or negotiations are sought to be initiated or continued with, the Corporation, its Subsidiaries or any of their respective Representatives, the Corporation shall:

 

  (a)

immediately notify the Purchaser, at first orally and then in writing and in any event within 24 hours of such Acquisition Proposal, inquiry, proposal, offer or request, including a description of its material terms and conditions, the identity of all Persons making the Acquisition Proposal, inquiry, proposal, offer or request, and copies of all written documents, material correspondence or other material received in respect of, from or on behalf of any such Person; and

 

  (b)

keep the Purchaser fully informed, on a prompt basis, of the status of all developments and, to the extent permitted by Section 5.3, discussions and negotiations with respect to such Acquisition Proposal, inquiry, proposal, offer or request, including any changes, modifications or other amendments to any such Acquisition Proposal, inquiry, proposal, offer or request and shall promptly provide to the Purchaser copies of all material correspondence if in writing or electronic form, and if not in writing or

 

-49


Table of Contents
 

electronic form, a description of the material or substantive terms of such correspondence communicated to the Corporation by or on behalf of any Person making such Acquisition Proposal, inquiry, proposal, offer or request.

Section 5.3 Responding to an Acquisition Proposal.

 

(1)

Notwithstanding Section 5.1, or any other agreement between the Parties or between the Corporation and any other Person, if at any time prior to obtaining the Required Shareholder Approval, the Corporation receives a bona fide unsolicited written Acquisition Proposal, the Corporation may (a) contact the Person making such Acquisition Proposal and its Representatives solely for the purpose of clarifying the terms and conditions of such Acquisition Proposal so as to determine whether such Acquisition Proposal constitutes or would reasonably be expected to constitute a Superior Proposal, and (b) engage in or participate in discussions or negotiations with such Person regarding such Acquisition Proposal, and may provide copies of, access to or disclosure of confidential information, properties, facilities, or books and records of the Corporation or any of its Subsidiaries, if and only if:

 

  (a)

the Board first determines (based upon, amongst other things, the recommendation of the Transaction Committee) in good faith, after consultation with its financial advisers and its outside legal counsel, that such Acquisition Proposal constitutes or would reasonably be expected to constitute a Superior Proposal;

 

  (b)

such Person making the Acquisition Proposal was not restricted from making such Acquisition Proposal pursuant to an existing confidentiality, standstill, non-disclosure, non-solicitation or similar agreement, restriction or covenant contained in any Contract entered into with the Corporation or any of its Subsidiaries;

 

  (c)

the Corporation has been, and continues to be, in compliance with its obligations under this Article 5;

 

  (d)

prior to providing any such copies, access or disclosure, the Corporation enters into a confidentiality and standstill agreement with such Person that contains a customary standstill provision for not less than 12 months and any such copies, access or disclosure provided to such Person shall have already been (or promptly be) provided to the Purchaser (by posting such information to the Data Room or otherwise); and

 

  (e)

prior to providing any such copies, access or disclosure, the Corporation promptly provides the Purchaser with a true, complete and final executed copy of the confidentiality and standstill agreement referred to in Section 5.3(1)(d).

 

  (f)

Nothing contained in this Article 5 shall prohibit the Board from making disclosure to Securityholders as required by applicable Law, including complying with Section 2.17 of Multilateral Instrument 62-104Takeover Bids and Issuer Bids and similar provisions under Securities Laws relating to the provision of a directors’ circular in respect of an Acquisition Proposal.

Section 5.4 Right to Match.

 

(1)

If the Corporation receives an Acquisition Proposal that constitutes a Superior Proposal prior to obtaining the Required Shareholder Approval, the Board may (based upon, amongst

 

-50


Table of Contents
 

other things, the recommendation of the Transaction Committee), enter into a definitive agreement with respect to a Superior Proposal, if and only if:

 

  (a)

the Person making the Superior Proposal was not restricted from making such Superior Proposal pursuant to an existing confidentiality, standstill, non-disclosure, non-solicitation or similar agreement, restriction or covenant contained in any Contract entered into with the Corporation or any of its Subsidiaries;

 

  (b)

the Corporation has been, and continues to be, in compliance with its obligations under this Article 5;

 

  (c)

the Corporation has delivered to the Purchaser a written notice of the determination of the Board that such Acquisition Proposal constitutes a Superior Proposal and of the intention of the Board to enter into such definitive agreement with respect to such Superior Proposal (including a notice as to the value in financial terms that the Board has, in consultation with its financial advisors, determined should be ascribed to any non-cash consideration offered under the Superior Proposal) (the “Superior Proposal Notice”);

 

  (d)

the Corporation has provided the Purchaser a copy of the proposed definitive agreement for the Superior Proposal (including any financing documents or other documents containing material terms and conditions of such Superior Proposal supplied to the Corporation in connection therewith);

 

  (e)

at least five (5) full Business Days (the “Matching Period”) have elapsed from the date that is the later of the date on which the Purchaser received the Superior Proposal Notice and the date on which the Purchaser received all of the materials referred to in Section 5.4(1)(d);

 

  (f)

during any Matching Period, the Purchaser has had the opportunity (but not the obligation), in accordance with Section 5.4(2), to offer to amend this Agreement and the Arrangement in order for such Acquisition Proposal to cease to be a Superior Proposal;

 

  (g)

after the Matching Period, the Board has determined in good faith, after consultation with the Corporation’s outside legal counsel and financial advisers, that such Acquisition Proposal continues to constitute a Superior Proposal (if applicable, compared to the terms of the Arrangement as proposed to be amended by the Purchaser under Section 5.4(2)); and

 

  (h)

prior to or concurrently with entering into such definitive agreement the Corporation terminates this Agreement pursuant to Section 7.2(1)(c)(i) and pays the Corporation Expense Fee pursuant to Section 8.2(2).

 

(2)

During the Matching Period, or such longer period as the Corporation may approve in writing for such purpose: (a) the Purchaser shall have the opportunity (but not the obligation) to offer to amend the Arrangement, this Agreement or the Plan of Arrangement in order for such Acquisition Proposal to cease to be a Superior Proposal and the Board shall, in consultation with the Corporation’s outside legal counsel and financial advisers, review any offer made by the Purchaser under Section 5.4(1)(f) to amend the terms of this Agreement and the Arrangement in good faith in order to determine whether such proposal would, upon

 

-51


Table of Contents
 

acceptance, result in the Acquisition Proposal previously constituting a Superior Proposal ceasing to be a Superior Proposal, and (b) the Corporation shall, and shall cause its Representatives to, negotiate in good faith with the Purchaser to make such amendments to the terms of this Agreement and the Plan of Arrangement as would enable the Purchaser to proceed with the transactions contemplated by this Agreement on such amended terms. If the Board determines (based upon, inter alia, the recommendation of the Transaction Committee) that such Acquisition Proposal would cease to be a Superior Proposal, the Corporation shall promptly so advise the Purchaser and the Corporation and the Purchaser shall amend this Agreement to reflect such offer made by the Purchaser, and shall take and cause to be taken all such actions as are necessary to give effect to the foregoing.

 

(3)

Each successive amendment or modification to any Acquisition Proposal that results in an increase in, or modification of, the consideration (or value of such consideration) to be received by the Shareholders or other material terms or conditions thereof shall constitute a new Acquisition Proposal for the purposes of this Section 5.4, and the Purchaser shall be afforded a new full five (5) Business Day Matching Period from the later of the date on which the Purchaser received the Superior Proposal Notice and the date on which the Purchaser received all of the materials referred to in Section 5.4(1)(d) with respect to each new Superior Proposal from the Corporation.

 

(4)

The Board shall promptly reaffirm the Board Recommendation (based upon, inter alia, the recommendation of the Transaction Committee) by press release after any Acquisition Proposal which is not determined to be a Superior Proposal is publicly announced or publicly disclosed or the Board determines that a proposed amendment to the terms of this Agreement or the Plan of Arrangement as contemplated under Section 5.4(2) would result in an Acquisition Proposal no longer being a Superior Proposal. The Corporation shall provide the Purchaser and its outside legal counsel with a reasonable opportunity to review the form and content of any such press release and shall make all reasonable amendments to such press release as requested by the Purchaser and its outside legal counsel.

 

(5)

If the Meeting is to be held during a Matching Period, the Corporation may, and shall at the request of the Purchaser, postpone or adjourn the Meeting to a date that is not more than ten (10) Business Days after the scheduled date of the Meeting, but in any event to a date that would not prevent the Effective Date from occurring prior to the Outside Date.

 

(6)

Nothing contained in this Agreement shall prohibit the Board (or the Transaction Committee) from:

 

  (a)

responding through a directors’ circular or otherwise as required by Law to an Acquisition Proposal that it determines is not a Superior Proposal, provided that the Corporation shall provide the Purchaser and its outside legal counsel with a reasonable opportunity to review the form and content of such circular or other disclosure and shall make all reasonable amendments as requested by the Purchaser and its counsel; or

 

  (b)

calling or holding a meeting of Shareholders requisitioned by Shareholders in accordance with the ABCA or taking any other action with respect to an Acquisition Proposal to the extent ordered or otherwise mandated by a court of competent jurisdiction in accordance with Law, provided that the Corporation provides at least ten (10) Business Days’ notice to the Purchaser of the calling of such meeting of Shareholders;

 

-52


Table of Contents

provided, however, in each case that, notwithstanding that the Board shall be permitted to take the actions contemplated in Subparagraphs (a) and (b) above, the Board shall not be permitted to make a Change in Recommendation except as pursuant to the terms of this Article 5.

 

(7)

Nothing contained in this Section 5.4 will limit in any way the obligation of the Corporation to convene and hold the Meeting in accordance with Section 2.3 of this Agreement while this Agreement remain in force. For greater certainty notwithstanding any Change in Recommendation, the Corporation shall cause the Meeting to occur and the Resolutions to be put to the Shareholders thereat for consideration in accordance with this Agreement, and the Corporation shall not submit to a vote of its Shareholders any Acquisition Proposal other than the Arrangement Resolution prior to the termination of this Agreement.

ARTICLE 6

CONDITIONS

Section 6.1 Mutual Conditions Precedent.

The Parties are not required to complete the Arrangement unless each of the following conditions is satisfied on or prior to the Effective Time, which conditions may only be waived, in whole or in part, by the mutual consent of each of the Parties:

 

(1)

Arrangement Resolution. The Arrangement Resolution has been approved and adopted by the Shareholders at the Meeting in accordance with the Interim Order.

 

(2)

Continuance Resolution. The Continuance Resolution has been approved and adopted by the Shareholders at the Meeting.

 

(3)

Interim and Final Orders. The Interim Order and the Final Order have each been obtained on terms consistent with this Agreement, and have not been set aside or modified in a manner unacceptable to either the Corporation or the Purchaser, each acting reasonably, on appeal or otherwise.

 

(4)

Approvals. Each of the Regulatory Approvals shall have been obtained on terms acceptable to the Corporation, the Parent and the Purchaser (each acting reasonably).

 

(5)

Illegality. No Law (other than a Regulatory Approval) is in effect that makes the consummation of the Arrangement illegal or otherwise prevents, prohibits or enjoins the Corporation, the Parent or the Purchaser from consummating the Arrangement.

 

(6)

Articles of Arrangement. The Articles of Arrangement to be filed with the Registrar under the ABCA in accordance with this Agreement shall be in a form and content satisfactory to the Corporation and the Purchaser, each acting reasonably.

 

(7)

Articles of Continuance. The Articles of Continuance to be filed with the Registrar in accordance with this Agreement shall be in a form and substance satisfactory to the Corporation and the Purchaser, each acting reasonably, and the Articles of Continuance shall have been filed with the Registrar and the Continuance shall have been completed.

 

-53


Table of Contents
(8)

No Legal Action. There is no action or proceeding (whether, for greater certainty, by a Governmental Entity or any other Person) commenced in any jurisdiction that is reasonably likely to:

 

  (a)

cease trade, enjoin or prohibit or impose any limitations, damages or conditions on, the Parent’s or the Purchaser’s ability to acquire, hold, or exercise full rights of ownership over, any Shares, including the right to vote the Shares;

 

  (b)

prohibit the Arrangement, or the ownership or operation by the Parent or the Purchaser of any material portion of the business or assets of the Corporation and its Subsidiaries (taken as a whole) or, except as a consequence of Section 4.4 (for greater certainty, without derogating from the rights of the Parent or the Purchaser under Section 6.1(3)), compel the Parent or the Purchaser to dispose of or hold separate any material portion of the business or assets of the Corporation and its Subsidiaries (taken as a whole) as a result of the Arrangement; or

 

  (c)

materially delay the consummation of the Arrangement, or if the Arrangement is consummated, have a Material Adverse Effect.

Section 6.2 Additional Conditions Precedent to the Obligations of the Purchaser.

The Purchaser is not required to complete the Arrangement unless each of the following conditions is satisfied on or before the Effective Time, which conditions are for the exclusive benefit of the Purchaser and may only be waived, in whole or in part, by the Purchaser in its sole discretion:

 

(1)

Representations and Warranties of the Corporation. (a) (i) The representations and warranties of the Corporation set forth in Paragraphs (1) [Organization and Qualification], (2) [Corporation Authorization], (3) [Execution and Binding Obligation], (6) [Capitalization] and ((22)) [Brokers] of Schedule C shall be true and correct in all respects as of the date of this Agreement and true and correct in all respects (except for representations and warranties made as of a specified date, the accuracy of which shall be determined as of such specified date) as of the Effective Time as if made at and as of such time, and (ii) all other representations and warranties of the Corporation set forth in this Agreement shall be true and correct as of the date of this Agreement and as of the Effective Time as if made at and as of such time (except that any such representation and warranty that by its terms speaks specifically as of the date of this Agreement or another date shall be true and correct in all respects as of such date), except in the case of this clause (ii) where the failure to be so true and correct in all respects, individually or in the aggregate, has not had or would not reasonably be expected to have a Material Adverse Effect (disregarding for purposes of this Section 6.2(1)(a)(ii) any materiality, “material” or “Material Adverse Effect” qualification contained in any such representation or warranty), and (b) the Corporation has delivered a certificate confirming same to the Purchaser, executed by two (2) senior officers of the Corporation (in each case, without personal liability) addressed to the Purchaser and dated the Effective Date.

 

(2)

Performance of Covenants by the Corporation. The Corporation has fulfilled or complied in all material respects with the covenants of the Corporation contained in this Agreement to be fulfilled or complied with by it on or prior to the Effective Time, and the Corporation has delivered a certificate confirming same to the Purchaser, executed by two (2) senior officers of the Corporation (in each case, without personal liability) addressed to the Purchaser and dated the Effective Date.

 

-54


Table of Contents
(3)

Dissent Rights. Dissent Rights have not been exercised (or, if exercised, remain outstanding) with respect to more than 5% of the issued and outstanding Shares in respect of either of the Continuance Resolution or the Arrangement Resolution.

 

(4)

Incentive Securities and Warrants. Purchaser shall be given the opportunity to review all Incentive Securities and Warrants within a reasonable period of time prior to the Closing and shall be satisfied, acting reasonably, that (i) all Incentive Securities and Warrants have been exercised or surrendered in accordance with their terms or Purchaser shall be otherwise satisfied, acting reasonably, that the Incentive Securities and Warrants will no longer represent any right to acquire Shares after giving effect to the Arrangement, and (ii) there are no other outstanding claims or rights or securities which could become claims or rights to Shares, and the Corporation shall have provided to Purchaser a certificate of a two (2) senior officers certifying (without personal liability) such facts on the Effective Date.

 

(5)

Material Adverse Effect. Since the date of this Agreement, there shall not have occurred a Material Adverse Effect.

 

(6)

No Default. Since the date of this Agreement, there shall not have occurred any Event of Default (as defined therein) under the Facility Agreements or any breach by the Corporation of the Debt Conversion and Interest Payment Agreement.

 

(7)

Employee Plan. The Purchaser shall be satisfied, in its sole discretion, with the implementation of actions taken or to be taken by the Corporation in connection with the matters set forth in Section 6.2(7) of the Corporation Disclosure Letter relating to certain Employee Plan of the Corporation.

Section 6.3 Additional Conditions Precedent to the Obligations of the Corporation.

The Corporation is not required to complete the Arrangement unless each of the following conditions is satisfied on or before the Effective Time, which conditions are for the exclusive benefit of the Corporation and may only be waived, in whole or in part, by the Corporation in its sole discretion:

 

(1)

Representations and Warranties of the Parent and the Purchaser. (a) (i) The representations and warranties of the Parent and the Purchaser set forth in Paragraphs (1) [Organization and Qualification], (2) [Corporation Authorization], (3) [Execution and Binding Obligation] of Schedule D shall be true and correct in all respects as of the date of this Agreement and true and correct in all respects (except for representations and warranties made as of a specified date, the accuracy of which shall be determined as of such specified date) as of the Effective Time as if made at and as of such time, and (ii) all other representations and warranties of the Parent and Purchaser set forth in this Agreement shall be true and correct as of the date of this Agreement and as of the Effective Time as if made at and as of such time (except that any such representation and warranty that by its terms speaks specifically as of the date of this Agreement or another date shall be true and correct in all respects as of such date), except in the case of this clause (ii) where the failure to be so true and correct in all respects, individually or in the aggregate, (disregarding for purposes of this Section 6.3(1) any materiality or “material” or “Material Adverse Effect” qualification contained in any such representation or warranty) has not had or would not reasonably be expected to materially impede or delay the consummation of the Arrangement, and (b) the Parent and the Purchaser has each delivered a certificate confirming same to the Corporation, executed by a senior officer of the Parent and the Purchaser (in each case, without personal liability), respectively, addressed to the Corporation and dated the Effective Date.

 

-55


Table of Contents
(2)

Performance of Covenants by the Parent and the Purchaser. The Parent and the Purchaser have fulfilled or complied in all material respects with the covenants of the Parent and the Purchaser, respectively, contained in this Agreement to be fulfilled or complied with by it on or prior to the Effective Time, and has delivered a certificate confirming same to the Corporation, executed by a senior officer of each of the Parent and the Purchaser (in each case, without personal liability) addressed to the Corporation and dated the Effective Date.

 

(3)

Deposit of Consideration. Subject to obtaining the Final Order and the satisfaction or waiver of the other conditions precedent contained herein in its favour (other than conditions which, by their nature, are only capable of being satisfied as of the Effective Time), the Purchaser has deposited or caused to be deposited in escrow with the Depositary in accordance with Section 2.10 the funds required to effect payment in full of the aggregate Consideration to be paid pursuant to the Arrangement.

Section 6.4 Satisfaction of Conditions.

The conditions precedent set out in Section 6.1, Section 6.2 and Section 6.3 will be conclusively deemed to have been satisfied, waived or released when the Certificate of Arrangement is issued by the Registrar.

ARTICLE 7

TERM AND TERMINATION

Section 7.1 Term.

This Agreement shall be effective from the date hereof until the earlier of the Effective Time and the termination of this Agreement in accordance with its terms.

Section 7.2 Termination.

 

(1)

This Agreement may be terminated and the Arrangement abandoned at any time prior to the Effective Time by:

 

  (a)

the mutual written agreement of the Parties;

 

  (b)

either the Corporation, the Parent or the Purchaser if:

 

  (i)

No Required Approval by Shareholders. The Arrangement Resolution is not approved by the Shareholders at the Meeting in accordance with the Interim Order or the Continuance Resolution is not approved by the Shareholders at the Meeting, provided that a Party may not terminate this Agreement pursuant to this Section 7.2(1)(b)(i) [No Required Approval of Shareholders] if the failure to obtain the approval of the Shareholders of the Arrangement Resolution or the Continuance Resolution, as applicable, has been caused by, or is a result of, a breach by such Party of any of its representations or warranties or the failure of such to perform any of its covenants or agreements under the Agreement;

 

  (ii)

Illegality. After the date of this Agreement, any Law (including with respect to the Regulatory Approvals) is enacted, made, enforced or amended, as applicable, that makes the consummation of the Arrangement illegal or otherwise

 

-56


Table of Contents
 

permanently prohibits or enjoins the Corporation, the Parent or the Purchaser from consummating the Arrangement, and such Law has, if applicable, become final and non-appealable, provided that the Party seeking to terminate this Agreement pursuant to this Section 7.2(1)(b)(ii) [Illegality] has used its commercially reasonable efforts, to, as applicable, prevent, appeal or overturn such Law or otherwise have it lifted or rendered non-applicable in respect of the Arrangement; or

 

  (iii)

Occurrence of Outside Date. The Effective Time does not occur on or prior to the Outside Date, provided that a Party may not terminate this Agreement pursuant to this Section 7.2(1)(b)(iii) [Occurrence of Outside Date] if the failure of the Effective Time to so occur has been caused by, or is a result of, a breach by such Party of any of its representations or warranties or the failure of such Party to perform any of its covenants or agreements under this Agreement.

 

  (c)

the Corporation if:

 

  (i)

Breach of Representation or Warranty or Failure to Perform Covenant by the Parent or the Purchaser. A breach of any representation or warranty or failure to perform any covenant or agreement on the part of the Parent or the Purchaser under this Agreement occurs that would cause any condition in Section 6.3(1) [Representations and Warranties of the Parent and the Purchaser] or Section 6.3(2) [Performance of Covenants by the Parent and the Purchaser] not to be satisfied, and such breach or failure is incapable of being cured or is not cured in accordance with the terms of Section 4.8(3) provided that any Wilful Breach shall be deemed to be incapable of being cured and the Corporation is not then in breach of this Agreement so as to directly or indirectly cause any condition in Section 6.2(1) [Representations and Warranties of the Corporation] or Section 6.2(2) [Performance of Covenants by the Corporation] not to be satisfied;

 

  (i)

Failure to Deposit Consideration. (A) All of the conditions in Section 6.1 [Mutual Conditions Precedent] and Section 6.2 [Additional Conditions Precedent to the Obligations of the Purchaser] are and continue to be satisfied or waived by the applicable Party or Parties at the time the Closing is required to occur pursuant to Section 2.9, (B) the Corporation has irrevocably confirmed to the Purchaser in writing that it is ready, willing and able to consummate the Closing, and (C) the Purchaser does not provide, or cause to be provided, the Depositary with sufficient funds to complete the transactions contemplated by this Agreement as required by Section 2.10 within five (5) Business Days after the first date upon which Closing should have occurred pursuant to Section 2.9; or

 

  (ii)

Superior Proposal. Prior to the approval by the Shareholders of the Arrangement Resolution, the Board authorizes the Corporation to enter into a written agreement (other than a confidentiality agreement permitted by and in accordance with Section 5.3) with respect to a Superior Proposal in accordance with Section 5.4, provided the Corporation is then in compliance with Article 5 and that prior to or concurrent with such termination the Corporation pays the Corporation Expense Fee in accordance with Section 8.2.

 

-57


Table of Contents
  (d)

the Parent or the Purchaser if:

 

  (i)

Breach of Representation or Warranty or Failure to Perform Covenant by the Corporation. A breach of any representation or warranty or failure to perform any covenant or agreement on the part of the Corporation under this Agreement occurs that would cause any condition in Section 6.2(1) [Representations and Warranties of the Corporation] or Section 6.2(2) [Performance of Covenants by the Corporation] not to be satisfied, and such breach or failure is incapable of being cured or is not cured in accordance with the terms of Section 4.8(3); provided that any Wilful Breach shall be deemed to be incapable of being cured and each of the Parent and the Purchaser is not then in breach of this Agreement so as to directly or indirectly cause any condition in Section 6.3(1) [Representations and Warranties of the Purchaser] or Section 6.3(2) [Performance of Covenants by the Purchaser] not to be satisfied;

 

  (ii)

Change in Recommendation or Superior Proposal. Prior to the approval by the Shareholders of the Arrangement Resolution, (A) the Board or the Transaction Committee fails to unanimously recommend or withdraws, amends, modifies or qualifies (in the case of an amendment, modification or qualification, in a manner adverse to the Purchaser), the Board Recommendation or publicly proposes or states its intention to do any of the foregoing, (B) the Board or the Transaction Committee accepts, approves, endorses or recommends, or publicly proposes to accept, approve, endorse or recommend an Acquisition Proposal or takes no position or remains neutral with respect to a publicly announced, or otherwise publicly disclosed, Acquisition Proposal for more than five (5) Business Days (or beyond the third (3rd) Business Day prior to the date of the Meeting, if sooner), (C) the Board or the Transaction Committee fails to publicly reaffirm the Board Recommendation within five (5) Business Days after having been requested in writing by the Purchaser to do so (or in the event that the Meeting is scheduled to occur within such five (5) Business Day period, prior to the third (3rd) Business Day prior to the date of the Meeting) (in each of the cases set forth in Clause (A), (B) or (C), a “Change in Recommendation”), or (D) the Corporation accepts or enters into, or publicly proposes to accept or enter into, any Contract, letter of intent, term sheet, understanding or arrangement (in each case, whether or not legally binding) or similar document with any Person in respect of an Acquisition Proposal (other than a confidentiality and standstill agreement permitted by and in accordance with Section 5.3) or (E) the Corporation breaches Article 5 in any material respect;

 

  (iii)

Dissent Rights. The condition set forth in Section 6.2(3) is not capable of being satisfied by the Outside Date;

 

  (iv)

Material Adverse Effect. There has occurred a Material Adverse Effect which is incapable of being cured on or prior to the Outside Date; or

 

  (v)

Employee Plan. The condition set forth in Section 6.2(7) is not capable of being satisfied by the Outside Date.

 

-58


Table of Contents
(2)

The Party desiring to terminate this Agreement pursuant to this Section 7.2 (other than pursuant to Section 7.2(1)(a)) shall give notice of such termination to the other Party, specifying in reasonable detail the basis for such Party’s exercise of its termination right.

Section 7.3 Effect of Termination/Survival.

If this Agreement is terminated pursuant to Section 7.1 or Section 7.2, this Agreement shall become void and of no further force or effect without liability of any Party (or any shareholder, Representative or consultant of such Party) to any other Party to this Agreement, except that: (a) if the Arrangement is completed, (A) Section 2.11 shall survive and (B) Section 4.9 shall survive for a period of six (6) years following such termination, and (b) in the event of any termination under Section 7.2, this Section 7.3, Section 2.11, Section 4.5, and Section 8.2 through to and including Section 8.17 shall survive in accordance with their terms, and provided that no Party shall be relieved of any liability for any Willful Breach by it of this Agreement.

ARTICLE 8

GENERAL PROVISIONS

Section 8.1 Amendments.

 

(1)

This Agreement and the Plan of Arrangement may, at any time and from time to time before or after the holding of the Meeting but not later than the Effective Time, be amended by mutual written agreement of the Parties, and any such amendment may, without limitation:

 

  (a)

change the time for performance of any of the obligations or acts of the Parties;

 

  (b)

waive any inaccuracy or modify any representation or warranty contained in this Agreement or in any document delivered pursuant to this Agreement;

 

  (c)

waive compliance with or modify any of the covenants contained in this Agreement and waive or modify performance of any of the obligations of the Parties; and

 

  (d)

waive compliance with or modify any mutual conditions contained in this Agreement.

Section 8.2 Expenses Fees.

 

(1)

For purposes of this Agreement, “Corporation Expense Fee” means $300,000 and “Corporation Expense Fee Event” means (a) the termination of this Agreement by the Parent or the Purchaser pursuant to Section 7.2(1)(d)(ii)(A) to (D) [Change in Recommendation or Superior Proposal], (b) the termination of this Agreement by the Parent or the Purchaser pursuant to Section 7.2(1)(d)(v) [Employee Plan] or (c) the termination of this Agreement by the Corporation pursuant to Section 7.2(1)(c)(i) [Superior Proposal].

 

(2)

If a Corporation Expense Fee Event occurs, the Corporation shall pay or cause to be paid to the Purchaser, by wire transfer of immediately available funds to an account designated by the Purchaser, the Corporation Expense Fee:

 

  (a)

if the Corporation Expense Fee Event is pursuant to Section 7.2(1)(c)(i), prior to or concurrently with the occurrence of such Corporation Expense Fee Event; or

 

-59


Table of Contents
  (b)

within ten (10) Business Days following such Corporation Expense Fee Event if the Corporation Expense Fee Event is pursuant to Section 7.2(1)(d)(ii)(A) to (D) or Section 7.2(1)(d)(v).

Section 8.3 CCAA Proceedings

 

(1)

For purposes of this Agreement, a “Corporation CCAA Trigger Event” means:

 

  (i)

the termination of this Agreement by the Parent, the Purchaser or the Corporation pursuant to any of Section 7.2(1)(b)(i), Section 7.2(1)(b)(ii) or Section 7.2(1)(b)(iii); or

 

  (ii)

the termination of this Agreement by the Parent or the Purchaser pursuant to Section 7.2(1)(d)(i) [Breach of Representation or Warranty or Failure to Perform Covenant by the Corporation], Section 7.2(1)(d)(ii)(E) [Change in Recommendation or Superior Proposal], Section 7.2(1)(d)(iii) [Dissent Rights] or Section 7.2(1)(d)(iv) [Material Adverse Effect].

 

(2)

If a Corporation CCAA Trigger Event occurs, the Corporation covenants to implement a Board endorsed CCAA Sale Transaction and commence without delay an application in the Court at the first available hearing date for an initial order and an amended and restated initial order (collectively, the “CCAA Order”) under the CCAA, in accordance with the following terms and conditions (collectively, the “CCAA Proceedings”):

 

  (a)

the Corporation will apply to the Court for approval of a SISP Process Order (the “SISP Order”) with the Parent or the Purchaser as stalking horse bidder with the ability to acquire, directly or indirectly, the Corporation Assets and business (whether by way of an asset purchase, the purchase of newly issued shares or another form of transaction) by way of credit bid of a portion of the aggregate indebtedness owing from the Corporation to the Parent or the Purchaser equivalent to the aggregate Consideration, regardless of its allocation among stakeholders as determined by the Court (the “CCAA Sale Transaction”);

 

  (b)

the CCAA Order shall include, among other things: (i) a provision staying proceedings against the Corporation; and (ii) an Order for interim financing from the Parent or the Purchaser, on terms to be negotiated with the Corporation and approved by the Court (the “DIP Order”) and such other ancillary relief as the Parent or the Purchaser may approve, including the SISP Order;

 

  (c)

the process contemplated under the SISP Order shall be completed and a Vesting Order granted with respect to the transfer of business of the Corporation to the Parent or the Purchaser, provided that the Parent or the Purchaser is the successful bidder of the SISP (the “Vesting Order”) within 45 Business Days after the commencement of the CCAA Proceedings, or as the Court may allow;

 

  (d)

to the extent that the Corporation fails to commence a CCAA Proceeding within ten (10) Business Days of the deadlines set forth above (provided that the Parent and the Purchaser, as applicable, has, in a timely manner, cooperated with the Corporation in the negotiation and completion of the agreements to which the Parent and/or the Purchaser, as applicable, will be a party and the other related materials in order to

 

-60


Table of Contents
 

enable the Corporation to comply with the timeline set out in this paragraph and if there is delay caused by the Parent and/or the Purchaser or more time is required through no fault of the Corporation, the foregoing 10 Business Day timeline shall be extended accordingly), the Parent and/or the Purchaser shall be entitled to make an application and seek the entry of the CCAA Orders, or take such other steps to enforce its security interests, and the Corporation and its Subsidiaries or affiliates shall not contest the granting of such relief and shall waive any applicable notice periods under Section 244 of the Bankruptcy and Insolvency Act (Canada) once notice is received from the Parent or the Purchaser; and

 

  (e)

the CCAA Proceedings will be terminated after closing of the CCAA Sale Transaction and no later than March 15, 2026 or such later date as determined by the Purchaser, in its sole discretion.

Section 8.4 Acknowledgement

 

(1)

Each Party acknowledges that the agreements contained in Section 8.2 are an integral part of the transactions contemplated by this Agreement, that without these agreements the Parties would not enter into this Agreement, and that the amounts set out in Section 8.2 are payments in consideration for the disposition of the Corporation’s or the Purchaser’s rights, as applicable, under this Agreement and represent liquidated damages which are a genuine pre-estimate of the damages, including opportunity costs, reputational damages and out-of-pocket expenditures, which the Parent or the Purchaser, as applicable, will suffer or incur as a result of the event giving rise to such damages and resultant termination of this Agreement, and is not a penalty. Each Party irrevocably waives any right it may have to raise as a defence that any such proceeds are excessive or punitive.

 

(2)

Subject to the Purchaser’s right to injunctive and other equitable relief or other form of specific performance in accordance with Section 8.9, in the event the Corporation Expense Fee is paid to the Purchaser in circumstances for which such fee is payable, such payment of the Corporation Expense Fee shall be the sole and exclusive remedy of any Purchaser Related Party against the Corporation and any of its affiliates and any of their respective former, current or future directors, officers, employees, affiliates, partners, general or limited partners, shareholders, stockholders, equity holders, controlling persons, managers, members or agents (collectively, the “Corporation Related Parties”) for any loss suffered as a result of the failure of the Arrangement or the transactions contemplated hereby to be consummated or for a breach or failure to perform any obligations required to be performed under this Agreement or otherwise relating to or arising out of this Agreement or the Arrangement, and upon payment of such amount none of the Corporation Related Parties shall have any further liability or obligation relating to or arising out of this Agreement or the Arrangement, and no Purchaser Related Party shall seek to obtain any recovery, judgment or damages of any kind, including consequential, indirect or punitive damages, against any Corporation Related Parties in connection with this Agreement or the transactions contemplated by this Agreement, provided, however, that such limitation shall not apply in the event of fraud or a Willful Breach by the Corporation or any of its Subsidiaries of its representations, warranties, covenants or agreements set forth in this Agreement, which breach and liability shall not be affected by termination of this Agreement or any payment of the amounts set out in Section 8.2.

 

-61


Table of Contents

Section 8.5 Expenses.

Except as otherwise specifically provided for in this Agreement, all out-of-pocket third party expenses incurred in connection with the Arrangement, this Agreement or the transactions contemplated hereby, including all costs, expenses and fees of the Corporation incurred prior to or after the Effective Time in connection with, or incidental to, the Plan of Arrangement, shall be paid by the Party incurring such expenses, whether or not the Arrangement is consummated.

Section 8.6 Notices.

Any notice, or other communication given regarding the matters contemplated by this Agreement must be in writing, sent by personal delivery, courier or email sent to and addressed:

 

  (a)

to the Parent and/or the Purchaser at:

14, Wiryeseong-daero, Songpa-gu,

Seoul, 05545, Korea

Attention:   Dr. Jaehyun Park

Email:     [Redacted for confidentiality reasons]

Attention:   Tony Koh, Head of Global Business Development

Email:     [Redacted for confidentiality reasons]

with a copy to (which shall not constitute notice):

Stikeman Elliott LLP

Bankers Hall, 4200 888 - 3 St SW

Calgary, AB T2P 5C5

Attention:   Keith Chatwin

Emails:    [Redacted for confidentiality reasons]

 

  (b)

to the Corporation at:

Aptose Biosciences Inc.

66 Wellington Street West, Suite 5300

TD Bank Tower, Box 48

Toronto, ON M5K 1E6

Attention:   William G. Rice

Email:     [Redacted for confidentiality reasons]

with a copy to (which shall not constitute notice):

McCarthy Tétrault LLP

1000 de la Gauchetière Street

Suite MZ400

Montréal, Québec H3B 0A2

Attention:   Charles-Antoine Soulière

Email:     [Redacted for confidentiality reasons]

 

-62


Table of Contents

Any notice or other communication is deemed to be given and received (a) if sent by personal delivery or same day courier, on the date of delivery if it is a Business Day and the delivery was made prior to 5:00 p.m. (local time in place of receipt) and otherwise on the next Business Day, (b) if sent by overnight courier, on the next Business Day, or (c) if sent by email, on the date such email was sent if it is a Business Day and such email was sent prior to 5:00 p.m. (local time in the place of receipt) and otherwise on the next Business Day (provided in the case of email that no “bounce-back” or notice of non-delivery is received by the sender within thirty (30) minutes of the time of sending). A Party may change its address for service from time to time by providing a notice in accordance with the foregoing. Any subsequent notice or other communication must be sent to the Party at its changed address. Any element of a Party’s address that is not specifically changed in a notice will be assumed not to be changed. Sending a copy of a notice or other communication to a Party’s legal counsel as contemplated above is for information purposes only and does not constitute delivery of the notice or other communication to that Party. The failure to send a copy of a notice or other communication to legal counsel does not invalidate delivery of that notice or other communication to a Party.

Section 8.7 Time of the Essence.

Time is of the essence in this Agreement.

Section 8.8 Further Assurances.

Subject to the provisions of this Agreement, the Parties will, from time to time, do all acts and things and execute and deliver all such further documents and instruments, as the other Party may, either before or after the Effective Time, reasonably require to effectively carry out or better evidence or perfect the full intent and meaning of this Agreement and, in the event the Arrangement becomes effective, to document or evidence any of the transactions or events set out in the Plan of Arrangement.

Section 8.9 Specific Performance.

 

(1)

The Parties agree that irreparable harm would occur for which money damages would not be an adequate remedy at Law in the event that any of the provisions of this Agreement were not performed in accordance with their specific terms or were otherwise breached. It is accordingly agreed that the Parties shall be entitled to injunctive relief, specific performance and other equitable relief to prevent breaches or threatened breaches of this Agreement, and to enforce compliance with the terms of this Agreement without any requirement for the securing or posting of any bond in connection with the obtaining of any such relief, this, subject to Section 8.4, being in addition to any other remedy to which the Parties may be entitled at Law or in equity.

 

(2)

Each Party hereby agrees not to raise any objections to the availability of the equitable remedies provided for herein and the Parties further agree that (a) by seeking the remedies provided for in this Section 8.9, a Party shall not in any respect waive its right to seek any other form of relief that may be available to a Party under this Agreement (including Section 8.9 monetary damages), and (b) nothing set forth in this Section 8.9 shall require any Party hereto to institute any Proceeding for (or limit any Party’s right to institute any Proceeding for) specific performance under this Section 8.9 prior or as a condition to exercising any termination right under this Agreement (and/or receipt of any amounts due in connection with such termination), nor shall the commencement of any legal Proceeding

 

-63


Table of Contents
 

pursuant to this Section 8.9 or anything set forth in this Section 8.9 restrict or limit any Party’s right to terminate this Agreement in accordance with the terms hereof, or pursue any other remedies under this Agreement that may be available then or thereafter.

Section 8.10 Third Party Beneficiaries.

 

(1)

Except as provided in Section 4.9, Section 8.4(2), Section 8.10 and Section 8.13(2) and which, without limiting their terms, are intended as stipulations for the benefit of the third Persons mentioned in such provision (such third Persons referred to in this Section 8.10 as the “Third Party Beneficiaries”), the Corporation, the Parent and the Purchaser intend that this Agreement will not benefit or create any right or cause of action in favour of any Person, other than the Parties and that no Person, other than the Parties, shall be entitled to rely on the provisions of this Agreement in any Proceeding.

 

(2)

Despite the foregoing, the Parties acknowledges to each of the Third Party Beneficiaries their direct rights against the applicable Party under Section 4.9, Section 8.4(2), Section 8.10, Section 8.10 and Section 8.13(2) of this Agreement, which are intended for the benefit of, and shall be enforceable by, each Third Party Beneficiary, its successors and assigns or his, her or their heirs and legal representatives, and in respect of the Third Party Beneficiaries identified as being entitled to indemnification under Section 4.9, the Corporation confirms that it is acting as trustee on their behalf, and agrees to enforce such provisions on their behalf, the Parties reserve their right to vary or rescind the rights at any time and in any way whatsoever, if any, granted by or under this Agreement to any Person who is not a Party, without notice to or consent of that Person, including any Third Party Beneficiary.

Section 8.11 Waiver.

No waiver of any of the provisions of this Agreement will constitute a waiver of any other provision (whether or not similar). No waiver will be binding unless executed in writing by the Party to be bound by the waiver. A Party’s failure or delay in exercising any right under this Agreement will not operate as a waiver of that right. A single or partial exercise of any right will not preclude a Party from any other or further exercise of that right or the exercise of any other right.

Section 8.12 Entire Agreement.

This Agreement, together with the Corporation Disclosure Letter, constitutes the entire agreement between the Parties with respect to the transactions contemplated by this Agreement and supersedes all prior agreements, understandings, negotiations and discussions, whether oral or written, of the Parties. There are no representations, warranties, covenants, conditions or other agreements, express or implied, collateral, statutory or otherwise, between the Parties in connection with the subject matter of this Agreement, except as specifically set forth in this Agreement. The Parties have not relied and are not relying on any other information, discussion or understanding in entering into and completing the transactions contemplated by this Agreement.

Section 8.13 Successors and Assigns.

 

(1)

This Agreement becomes effective only when executed by the Corporation, the Parent and the Purchaser. After that time, it will be binding upon and enure to the benefit of the Corporation, the Parent and the Purchaser and their respective successors and permitted assigns.

 

-64


Table of Contents
(2)

Neither this Agreement nor any of the rights or obligations under this Agreement are assignable or transferable by any Party without the prior written consent of the other Party.

Section 8.14 Severability.

If any provision of this Agreement is determined to be illegal, invalid or unenforceable by an arbitrator or any court of competent jurisdiction, that provision will be severed from this Agreement and the remaining provisions shall remain in full force and effect. Upon such determination that any term or other provision is invalid, illegal or incapable of being enforced, the Parties shall negotiate in good faith to modify this Agreement so as to effect the original intent of the Parties as closely as possible in an acceptable manner to the end that the transactions contemplated hereby are fulfilled to the fullest extent possible.

Section 8.15 Governing Law.

 

(1)

This Agreement will be governed by and interpreted and enforced in accordance with the Laws of the Province of Ontario and the federal Laws of Canada applicable therein.

 

(2)

Each Party irrevocably attorns and submits to the non-exclusive jurisdiction of the Ontario courts situated in the City of Toronto (and appellate courts therefrom) and waives objection to the venue of any Proceeding in such court or that such court provides an inconvenient forum.

Section 8.16 Rules of Construction.

The Parties to this Agreement waive the application of any Law or rule of construction providing that ambiguities in any agreement or other document shall be construed against the party drafting such agreement or other document.

Section 8.17 No Liability.

 

(1)

No director or officer of the Parent or the Purchaser or any of their respective affiliates shall have any personal liability whatsoever to the Corporation under this Agreement or any other document delivered in connection with the transactions contemplated hereby on behalf of the Parent or the Purchaser, respectively. No director or officer of the Corporation or any of its Subsidiaries shall have any personal liability whatsoever to the Parent or the Purchaser under this Agreement or any other document delivered in connection with the transactions contemplated hereby on behalf of the Corporation or any of its Subsidiaries.

Section 8.18 Counterparts.

This Agreement may be executed in any number of counterparts (including counterparts by email) and all such counterparts taken together shall be deemed to constitute one and the same instrument. The Parties shall be entitled to rely upon delivery of an executed PDF or similar executed electronic copy of this Agreement, and such PDF or similar executed electronic copy shall be legally effective to create a valid and binding agreement between the Parties.

 

-65


Table of Contents

[Remainder of page intentionally left blank. Signature page follows.]

 

-66


Table of Contents

IN WITNESS WHEREOF the Parties have executed this Arrangement Agreement.

 

APTOSE BIOSCIENCES INC.

By:

 

(s) Dr. William G. Rice

   

Name: Dr. William G. Rice

   

Title: President and Chief Executive
Officer

HANMI PHARMACEUTICAL CO. LTD.

By:

 

(s) Jae-Hyun Park

   

Name: Jae-Hyun Park

   

Title: CEO

HS NORTH AMERICA LTD.

By:

 

(s) Seonghoon Kim

   

Name: Seonghoon Kim

   

Title: CEO

 

-67


Table of Contents

SCHEDULE A 

PLAN OF ARRANGEMENT

See attached.

 

A-1


Table of Contents

SCHEDULE B 

ARRANGEMENT RESOLUTION

BE IT RESOLVED THAT:

 

(1)

The arrangement (the “Arrangement”) under Section 193 of the Business Corporations Act (Alberta) (the “ABCA”) of Aptose Biosciences Inc. (the “Corporation”), pursuant to the arrangement agreement (as it may from time to time be amended, modified or supplemented, the “Arrangement Agreement”) among the Corporation, Hanmi Pharmaceutical Co. Ltd. and HS North America Ltd. dated November 18, 2025, all as more particularly described and set forth in the proxy statement of the Corporation (the “Proxy Statement”) accompanying the notice of meeting and as it may from time to time be amended, modified or supplemented in accordance with the Arrangement Agreement, is hereby authorized, approved and adopted.

 

(2)

The plan of arrangement (as it has been or may be amended, modified or supplemented in accordance with the Arrangement Agreement and its terms, the “Plan of Arrangement”), the full text of which is set out as an Appendix to the Proxy Statement, is hereby authorized, approved and adopted.

 

(3)

The (i) Arrangement Agreement and all transactions contemplated therein, (ii) actions of the directors of the Corporation in approving the Arrangement Agreement, and (iii) actions of the directors and officers of the Corporation in executing and delivering the Arrangement Agreement, and any amendments, modifications or supplements thereto, as well as the Corporation’s application for an interim order from the Court of King’s Bench of Alberta (the “Court”), are hereby ratified and approved.

 

(4)

The Corporation is hereby authorized to apply for a final order from the Court to approve the Arrangement on the terms set forth in the Arrangement Agreement and the Plan of Arrangement.

 

(5)

Notwithstanding that this resolution has been passed (and the Arrangement adopted) by the shareholders of the Corporation or that the Arrangement has been approved by the Court, the directors of the Corporation are hereby authorized and empowered, at their discretion, without notice to or approval of the shareholders of the Corporation, (i) to amend, modify or supplement the Arrangement Agreement or the Plan of Arrangement to the extent permitted thereby, and (ii) subject to the terms of the Arrangement Agreement, not to proceed with the Arrangement and any related transactions.

 

(6)

Any director or officer of the Corporation is hereby authorized and directed for and on behalf of the Corporation, to execute and deliver for filing with the Registrar under the ABCA articles of arrangement and to deliver or file all such other documents and instruments as are necessary or desirable to give effect to the Arrangement in accordance with the Arrangement Agreement, such determination to be conclusively evidenced by the execution and delivery of such articles of arrangement or any such other document or instrument.

Any director or officer of the Corporation is hereby authorized and directed for and on behalf of the Corporation to execute and deliver or cause to be executed and delivered, all such other documents and instruments and to perform or cause to be performed all such other acts and things as such person determines may be necessary or desirable to give full force and effect to the foregoing resolutions and the matters authorized thereby, such determination to be conclusively evidenced by the execution and delivery of such other document or instrument or the doing of any other such act or thing.

 

B-1


Table of Contents

SCHEDULE C 

REPRESENTATIONS AND WARRANTIES OF THE CORPORATION

 

(1)

Organization and Qualification.

The Corporation and each of its Subsidiaries is a corporation or other entity duly incorporated or continued, as applicable, organized, validly existing, and in good standing under the laws of the jurisdiction of its governing jurisdiction. The Corporation, and each of its Subsidiaries, has all requisite corporate power and authority, and, except as would not be reasonably expected to have, individually or in the aggregate, a Material Adverse Effect, is duly qualified, licensed or registered and holds all material Authorizations required by Law to carry on its business as now conducted and to own, lease and operate its assets and business.

 

(2)

Corporate Authorization.

The Corporation has the requisite corporate power and authority to enter into and perform its obligations under this Agreement. The execution, delivery and performance by the Corporation of its obligations under this Agreement and the consummation of the Arrangement and the other transactions contemplated hereby have been duly authorized by all necessary corporate action on the part of the Corporation and no other corporate proceedings on the part of the Corporation are necessary to authorize this Agreement, the consummation of the Arrangement and the other transactions contemplated hereby, other than the approval by the Board of the Circular, Required Shareholder Approval, the Interim Order and the Final Order.

 

(3)

Execution and Binding Obligation.

This Agreement has been duly executed and delivered by the Corporation, and constitutes a legal, valid and binding agreement of the Corporation, enforceable against it in accordance with its terms subject only to (a) any limitation on enforcement under Laws relating to bankruptcy, winding-up, insolvency, reorganization, arrangement or other Law affecting the enforcement of creditors’ rights generally, and (b) the discretion that a court may exercise in the granting of equitable remedies such as specific performance and injunction.

 

(4)

Governmental Authorization.

The execution and delivery of this Agreement by the Corporation, and the performance of its obligations hereunder and the consummation of the Arrangement and the other transactions contemplated hereby, do not require any Authorization or other action by or in respect of, or filing with or notification to, any Governmental Entity by the Corporation or any of its Material Subsidiaries other than (a) the Regulatory Approvals, (b) the Interim Order and the Final Order, (c) filings with the Registrar under the ABCA, (d) the filing of the Articles of Arrangement, the filing of the Circular on SEDAR+ and with the SEC and customary filings with the Securities Authorities and the TSX.

 

(5)

No Conflict/ Non-Contravention.

The execution and delivery of this Agreement by the Corporation, and performance of its obligations hereunder and the consummation by the Corporation of the Arrangement and the other transactions contemplated hereby do not and will not (or would not, with the giving of notice, the lapse of time or the happening of any other event or condition (or combination thereof)):

 

  (a)

contravene, conflict with, or result in any violation or breach of the Constating Documents of the Corporation or any of its Subsidiaries;

 

C-1


Table of Contents
  (b)

assuming satisfaction of, or compliance with, the matters referred to in Paragraph (4) above, and receipt of the Authorizations referred to therein, conflict with or result in a violation or breach of Law applicable to the Corporation or any of its Subsidiaries in any material respect;

 

  (c)

allow any Person to exercise any rights, require any consent or notice to or other action by any Person, or constitute a default under, or cause or permit the termination, cancellation, acceleration or other change of any right or obligation or the loss of any benefit to which the Corporation or any of its Subsidiaries is entitled (including by triggering any rights of first refusal or first offer, change in control provision or other restriction or limitation) under any Material Contract or any material Authorization to which the Corporation or any of its Subsidiaries is a party or by which the Corporation or any of its Subsidiaries is bound; or

 

  (d)

result in the creation or imposition of any Lien (other than Permitted Liens) upon any of the Corporation Assets;

with such exceptions, in the case of clauses (c) and (d) as would not be reasonably expected to have, individually or in the aggregate, a Material Adverse Effect.

 

(6)

Capitalization.

 

  (a)

The authorized share capital of the Corporation consists of an unlimited number of Shares of which 2,552,429 Shares are issued and outstanding as of the date of this Agreement (assuming no issuance of Shares on the date hereof pursuant to Incentive Securities or Warrants). No Person, firm or company has any agreement or option, or right or privilege (whether pre-emptive or contractual) capable of becoming an agreement or option, for the purchase from the Corporation or any of its Subsidiaries of any unissued Shares or any shares of its Subsidiaries or any right to convert any obligation into or exchange any Shares or any of its Subsidiaries, or for the purchase or acquisition of any Shares, material assets or material property of the Corporation or any of its Subsidiaries.

 

  (b)

As of the date hereof, there are 37,370 Options, nil RSUs and 1,267,585 Warrants issued and outstanding. Section (6)(b) of the Corporation Disclosure Letter contains a complete and accurate list of all Incentive Securities issued and outstanding as of the date hereof, including, with respect to each such Incentive Security, as applicable, a unique identifier for the holder, the date of grant, the Incentive Compensation Plan or individual grant agreement pursuant to which each such Incentive Security was granted, the number of Shares issuable pursuant to such Incentive Securities, the exercise price, the expiry date, the vesting schedule (including any acceleration provisions) and any applicable performance conditions. There are no accrued or unpaid dividends or dividend equivalent rights with respect to any Incentive Securities. Section (6)(b) of the Corporation Disclosure Letter sets out (i) the holder of each Warrant; (ii) the number of Shares issuable therefor; (iii) the date on which each Warrant was granted and the corresponding grant agreement or certificate; (iv) the purchase price payable per share upon the exercise of each such Warrant; and (v) the date on which each Warrant expires.

 

C-2


Table of Contents
  (c)

All of the issued and outstanding Shares have been validly issued as fully paid and non-assessable, and all Shares issuable upon the settlement or exercise, as applicable, of Incentive Securities have been duly authorized and, upon issuance, shall be validly issued as fully paid and non-assessable.

 

  (d)

All outstanding Shares, Warrants and Incentive Securities have been duly authorized by the Board (or a duly authorized committee thereof) and have been issued in compliance with all applicable Laws (including Securities Laws) and no Shares, Warrants or incentive Securities have been issued in violation of any pre-emptive or similar rights applicable to them.

 

  (e)

Except for the Incentive Securities and Warrants, there are no rights that are linked in any way to the price of any securities of, or to the value of or of any part of, or to any dividends or distributions paid on any securities of, the Corporation or any of its Subsidiaries (other than the rights of shareholders to dividends) and there are no options, convertible securities, warrants, stock appreciation rights or other rights, Contracts, plans (including any shareholder rights plan or poison pill), arrangements or commitments of any character whatsoever (pre-emptive, contingent or otherwise) requiring, or which may require, whether or not subject to conditions, the issuance, sale or transfer by the Corporation or any of its Subsidiaries of any securities of the Corporation or any of its Subsidiaries (including Shares) or any securities convertible into, or exchangeable or exercisable for, or otherwise evidencing a right to subscribe for or acquire, any securities of the Corporation or any of its Subsidiaries.

 

  (f)

There are no outstanding contractual or other obligations of the Corporation or any of its Subsidiaries to repurchase, redeem or otherwise acquire any of the Corporation’s or any Subsidiary’s securities, or qualify securities for public distributions in Canada, the United States or elsewhere. Other than the Shares, there are no securities, notes, bonds, debentures or other evidences of indebtedness or any other agreements, arrangements, or other instruments or obligations of the Corporation or of any of its Subsidiaries that carry (or which is convertible into, or exchangeable for, securities having) the right to vote generally with the Shareholders on any matter.

 

(7)

Shareholders and Similar Agreements.

Except for the Investor Rights Agreement, none of the Corporation or any of its Subsidiaries is a party to any unanimous shareholders agreement, shareholder agreement, pooling, voting, or other similar arrangement or understanding relating to the ownership or voting of any securities of the Corporation or any of its Subsidiaries or pursuant to which any Person may have any right or claim in connection with any existing or past equity interest in the Corporation or any of its Subsidiaries. To the knowledge of the Corporation, as of the date hereof, other than the Support and Voting Agreements, there are no irrevocable proxies or voting Contracts with respect to any securities issued by the Corporation or any of its Subsidiaries.

 

(8)

Subsidiaries.

 

  (a)

A true and complete list of all Subsidiaries of the Corporation is set out in Section (8)(a) of the Corporation Disclosure Letter, including: (i) its name and (ii) the number and type of its outstanding equity securities.

 

C-3


Table of Contents
  (b)

Except for the shares or other equity interests directly or indirectly owned by the Corporation in any of its Subsidiaries, the Corporation does not own any direct or indirect equity or voting interest of any kind in any Person.

 

  (c)

The Corporation directly or indirectly owns all of the issued and outstanding shares and other equity interests (including partnership interests, however divided) of each of its Subsidiaries, free and clear of any Liens (other than Permitted Liens), and all of such issued and outstanding shares or interests directly or indirectly owned by the Corporation have been duly authorized and validly issued and are fully paid and non-assessable shares or interests.

 

  (d)

There are no Contracts, arrangements or restrictions that do not constitute Permitted Liens that require the Corporation’s Subsidiaries to issue, sell or deliver any shares or other interests, or any securities convertible into or exchangeable for, any shares or other interests.

 

  (e)

NuChem Pharmaceuticals Inc. has not conducted any business in the last three years and, as of the date hereof, has no assets, property or liabilities (vested, contingent or otherwise).

 

(9)

Securities Law Matters.

 

  (a)

The Corporation is a “reporting issuer” (or the equivalent) under Securities Laws in each of the provinces of Canada. The Shares are registered pursuant to the U.S. Exchange Act. The Shares are listed and posted for trading on the TSX. The Corporation does not have any securities listed or posted for trading on any securities exchange other than the TSX. The Corporation is not in default in any material respects of any requirements of any Securities Laws. The Corporation is not subject to any continuous or periodic or other disclosure requirements under the securities laws of any jurisdiction other than the provinces of Canada and the United States. None of the Subsidiaries of the Corporation is subject to any continuous or periodic, or other disclosure requirements under any securities laws in any jurisdiction.

 

  (b)

The Corporation has not taken any action to cease to be a “reporting issuer” (or the equivalent) in any province of Canada nor has the Corporation received notification from any Securities Authority seeking to revoke the reporting issuer status of the Corporation. No Proceeding or Order for the delisting, suspension of trading or cease trade or other Order or restriction with respect to any securities of the Corporation is in effect or has been threatened or, to the knowledge of the Corporation, is pending or is expected to be implemented or undertaken (other than as contemplated by Section 4.10) and, to the knowledge of the Corporation, the Corporation is not subject to any formal review, inquiry, investigation or other Proceeding relating to any such Order or restriction.

 

  (c)

The Corporation has timely filed or furnished with the Securities Authorities and the TSX and the NASDAQ all forms, reports, schedules, statements and other documents required to be filed or furnished by the Corporation with the Securities Authorities and the TSX and the NASDAQ since January 1, 2023 (including “documents affecting the rights of securityholders” and “material contracts” required to be filed by Part 12 of Regulation 51-102). The documents comprising the Corporation Filings, as of their

 

C-4


Table of Contents
 

respective dates, complied as filed in all material respects with applicable Law and did not contain any Misrepresentation. The Corporation has not filed any confidential material change report or other confidential filing with any Securities Authority which at the date of this Agreement remains confidential. As of the date of this Agreement, there are no outstanding or unresolved comments in comment letters from any Securities Authority with respect to any of the Corporation Filings, and, to the knowledge of the Corporation, none of the Corporation Filings are subject to ongoing SEC review or investigation. Prior to the date of this Agreement, the Corporation has delivered or made available to Purchaser correct and complete copies of all comment letters from the SEC from December 31, 2022 through the date of this Agreement with respect to any of the Corporation Filings, together with all written responses of the Corporation thereto to the extent such comment letters and correspondence are not available on EDGAR. Neither the Corporation nor any of its Subsidiaries is subject to any ongoing Proceeding by any Securities Authority or the TSX or the NASDAQ and, to the knowledge of the Corporation, no such Proceeding is threatened. As of the date of this Agreement, no amendments or modifications to the Corporation Filings are required to be filed with, or furnished to, the SEC. No Subsidiary of the Corporation is required to file or furnish any form, report or other document with the SEC.

 

  (d)

The Corporation is not a “foreign private issuer” within the meaning of Rule 405 of the U.S. Securities Act.

 

  (e)

Other than the Shares, the Corporation does not have, nor is it required to have, any class of securities registered under Section 12 of the U.S. Exchange Act. The Corporation is in compliance with its reporting obligations under the U.S. Exchange Act and the rules promulgated thereunder.

 

  (f)

The Corporation is in compliance in all material respects with all applicable effective provisions of the United States Sarbanes-Oxley Act and the rules and regulations promulgated in connection therewith and was in compliance with, until April 1, 2025, the applicable listing and governance rules and regulations of NASDAQ.

 

  (g)

The Corporation is not registered or required to be registered as an “investment company” as defined in the United States Investment Company Act of 1940, as amended, under such Act.

 

  (h)

Since April 2, 2025, no securities of the Corporation are or have been listed and traded on any “national securities exchange” (registered with the SEC under Section 6 of the U.S. Exchange Act) in the United States.

 

(10)

Financial Statements.

 

  (a)

The audited consolidated financial statements as at and for the fiscal years ended December 31, 2024 and 2023 and the unaudited consolidated interim financial statements of the Corporation for the nine months ended September 30, 2025 and 2024 (including, in each case, the notes or schedules to and the auditor’s report on such financial statements) (the “Financial Statements”) (i) were prepared in accordance with U.S. GAAP, consistently applied throughout the periods referred to therein (except as expressly set forth in the notes thereto) and applicable Law, (ii) complied as to form in all material respects with applicable accounting requirements under applicable Law, and

 

C-5


Table of Contents
 

(iii) fairly present in all material respects, the assets, liabilities (whether accrued, absolute, contingent or otherwise), consolidated financial position, results of operations or financial performance and cash flows of the Corporation and its Subsidiaries, on a consolidated basis, as of their respective dates and for the periods covered by such financial statements (except as may be expressly indicated in the notes to such financial statements) and there have been no changes in accounting methods, policies, or practices of the Corporation or any of its Subsidiaries since December 31, 2024 (except as may be expressly indicated in the notes to such financial statements). To the knowledge of the Corporation, since December 31, 2024, there has been no material complaint, allegation, assertion or claim, regarding deficiencies in the accounting or auditing practices, procedures, methodologies or methods of the Corporation or any of its Subsidiaries or their respective internal controls.

 

  (b)

As of the date hereof, the Corporation does not intend to correct or restate, nor is there, to the knowledge of the Corporation, any basis for any material correction or restatement of, any aspect of any of the financial statements referred to in Paragraph (10)(a). Except as disclosed in the Corporation Filings, neither the Corporation nor any Subsidiary is a party to or bound by, or has any commitment to become a party to, any joint venture, off-balance sheet partnership or any similar Contract (including any Contract or arrangement relating to any transaction or relationship between or among the Corporation and any Subsidiary, on the one hand, and any unconsolidated affiliate, on the other hand), including any structured finance, special purpose or limited purpose entity or Person, or any “off-balance sheet arrangements” (as defined in Item 303(a) of Regulation S-K promulgated under the U.S. Securities Act), where the result, purpose or effect of such Contract is to avoid disclosure of any material transaction involving, or material liabilities of, the Corporation or any Subsidiary in the Corporation Filings (including any audited financial statements and unaudited interim financial statements of the Corporation included therein).

 

  (c)

The financial Books and Records of the Corporation and each of its Subsidiaries: (i) have been maintained, in all material respects, in accordance with U.S. GAAP, (ii) accurately and fairly reflect all the material transactions, acquisitions and dispositions of the Corporation and its Subsidiaries, and (iii) accurately and fairly reflect in all material respects the basis for the Corporation’s financial statements.

 

(11)

Disclosure Controls and Internal Control over Financial Reporting.

 

  (a)

The Corporation has established and maintains disclosure controls and procedures (as defined in U.S. Exchange Act Rule 13(a)) that are designed to provide reasonable assurance that information required to be disclosed by the Corporation in its annual filings, interim filings or other reports required to be filed or submitted by it under Securities Laws is recorded, processed, summarized and reported within the time periods required by applicable Securities Laws. Such disclosure controls and procedures include controls and procedures designed to ensure that information required to be disclosed by the Corporation in its annual filings, interim filings or other reports required to be filed or submitted under applicable Securities Laws is accumulated and communicated to the Corporation’s management, including its chief executive officer and chief financial officer, as appropriate, to allow timely decisions regarding required disclosure.

 

C-6


Table of Contents
  (b)

The Corporation has established and maintains a system of internal control over financial reporting (as defined in U.S. Exchange Act Rules 13(a)-15) that is designed to provide reasonable assurance regarding the reliability of financial reporting and the preparation of financial statements for external purposes in accordance with U.S. GAAP.

 

  (c)

To the knowledge of the Corporation, there is no “material weakness” or significant deficiency (as defined in U.S. Exchange Act Rules 13(a)-15) relating to the design, implementation or maintenance of the Corporation’s internal control over financial reporting or fraud, whether or not material, that involves Representatives, consultants or independent contractors who have a significant role in the internal control over financial reporting of the Corporation. To the knowledge of the Corporation, neither of the Corporation, any of its Subsidiaries, nor any of its or their respective Representatives has received or otherwise obtained knowledge of any Proceeding regarding accounting, internal accounting controls or auditing matters, including any Proceeding alleging that the Corporation or any of its Subsidiaries has engaged in questionable accounting or auditing practices, or any expression of concern from its Representatives regarding questionable accounting or auditing matters.

 

(12)

Minute Books.

The corporate minute books of the Corporation contain the Constating Documents of the Corporation, the minutes of all meetings and resolutions of the Board and each committee of the Board and have been maintained in accordance with applicable Laws, and are complete and accurate, in all material respects, except for minutes of meetings of the Board and committees of the Board relating to the processes surrounding the potential sale of the Corporation that have not yet been finalized and approved.

 

(13)

Auditors.

KPMG LLP is and was, during the periods covered by its reports included in the Financial Statements, independent of the Corporation in accordance with the rules of professional conduct applicable to auditors in each of the provinces of Canada and the United States. There has not been any reportable event (within the meaning of NI 51-102) with Ernst & Young LLP, KPMG LLP or any other prior auditor of the Corporation.

 

(14)

No Undisclosed Liabilities.

There are no liabilities or obligations of the Corporation or of any of its Subsidiaries of any kind whatsoever, whether accrued, contingent, absolute, determined, determinable or otherwise, other than liabilities or obligations: (a) reflected or reserved against in the Financial Statements; (b) not required to be set forth in the Corporation Filings under U.S. GAAP; (c) incurred in the ordinary course of the normal day-to-day operations of the business of the Corporation or such Subsidiary consistent in nature and in scope with past practices, since December 31, 2024; (d) incurred pursuant to this Agreement; or (e) that have not had and would not reasonably be expected to have, Individually or in the aggregate, a Material Adverse Effect.

 

(15)

Transactions with Directors, Officers, Employees, etc.

Neither the Corporation nor any of its Subsidiaries is indebted to any of its directors, officers or Employees or any of their respective associates or affiliates (except for amounts due in the

 

C-7


Table of Contents

Ordinary Course as salaries, bonuses and director’s fees or the reimbursement of Ordinary Course expenses or amounts owing on account of shareholder loans by the Corporation or any of the Corporation’s Subsidiaries to the Corporation, any of the Corporation’s Subsidiaries, or any shareholder of any of the Corporation’s Subsidiaries). Subject to the foregoing, there are no Contracts with, or advances, loans, guarantees, liabilities or other obligations to, on behalf or for the benefit of, any shareholder, director, officer or Employee of the Corporation or any of its Subsidiaries, or any of their respective affiliates or associates.

 

(16)

Absence of Certain Changes or Events.

Since December 31, 2024, except as disclosed in the Corporation Filings filed prior to the date hereof and other than the transactions contemplated in this Agreement, the business of the Corporation and its Subsidiaries has been conducted in the Ordinary Course and there has not occurred a Material Adverse Effect.

 

(17)

Long-Term and Derivative Transactions.

Neither the Corporation nor any of its Subsidiaries have any material obligations or liabilities, direct or indirect, vested or contingent in respect of any rate swap transactions, basis swaps, forward rate transactions, commodity swaps, commodity options, equity or equity index swaps, equity or equity index options, bond options, interest rate options, foreign exchange transactions, cap transactions, floor transactions, collar transactions, currency swap transactions, cross-currency rate swap transactions or currency options or production sales transactions having terms greater than 90 days or any other similar transactions (including any option with respect to any of such transactions) or any combination of such transactions, except in the Ordinary Course.

 

(18)

Compliance with Laws.

 

  (a)

The Corporation and each of its Subsidiaries are, and since December 31, 2024, have been, in compliance in all material respects with applicable Laws. Neither the Corporation nor any of its Subsidiaries or, to the knowledge of the Corporation, any of their respective directors or officers, in their capacity as director or officer of the Corporation or its Subsidiaries, is under any investigation with respect to, has been convicted, charged or, to the knowledge of the Corporation, threatened to be charged with, or has received notice of, any violation or potential violation of any Law from any Governmental Entity.

 

  (b)

To the knowledge of the Corporation, there is no pending or contemplated introduction of or change in any Law, regulation or position of a Governmental Entity that could reasonably be expected to result in a Material Adverse Effect.

 

(19)

Whistleblower Reporting.

No Person has reported evidence of a violation of any applicable Securities Laws, breach of fiduciary duty or similar violation by the Corporation or its Subsidiaries or their respective officers, directors, employees, agents or independent contractors to an officer of the Corporation, the audit committee (or other committee designated for that purpose) of the Board or the Board.

 

(20)

Authorizations and Licenses.

The Corporation and each of its Subsidiaries, lawfully own, possess and have obtained, and are in compliance with, all Authorizations that are required by Law (i) in connection with the operation

 

C-8


Table of Contents

of their businesses in the Ordinary Course, and (ii) in connection with the current ownership, operation or use of their properties and assets, except, in each case, for those, the non-compliance with which, in the aggregate, would not materially impair the operation of the Corporation’s and its Subsidiaries’ businesses. Each Authorization of the Corporation and its Subsidiaries is valid and in full force and effect in accordance with its terms, and is renewable by its terms or in the Ordinary Course. To the knowledge of the Corporation, no event has occurred which, with the giving of notice, lapse of time or both, would reasonably be expected to constitute a default under, or in respect of, any such Authorization, except as would not materially impair the operation of the Corporation’s and its Subsidiaries’ businesses. No Proceeding is pending, or to the knowledge of the Corporation, threatened, in respect of or regarding any such Authorization and none of the Corporation or any of its Subsidiaries or, to the knowledge of the Corporation, any of their respective directors and officers has received notice, whether written or oral, of revocation, non-renewal or material amendments of any such Authorization, or of the intention of any Person to revoke, refuse to renew or materially amend in any prejudicial manner any such Authorization, except as would not reasonably be expected to result, individually or in the aggregate, in a Material Adverse Effect. To the knowledge of the Corporation, there is no pending compliance review or field audit by any Securities Authority in respect of the Corporation or any of its Subsidiaries.

 

(21)

Fairness Opinion.

The Board and the Transaction Committee have received the Fairness Opinion (a true and complete copy of which, when executed and delivered in writing, will be provided to the Purchaser), and such Fairness Opinion has not been withdrawn or modified as of the date hereof. The Corporation has been authorized by Locust Walk Securities, LLC to include the Fairness Opinions in the Circular.

 

(22)

Formal Valuation

The Board and the Transaction Committee have received the Formal Valuation (a true and complete copy of which, when executed and delivered in writing, will be provided to the Purchaser) and such Formal Valuation has not been withdrawn or modified as of the date hereof. The Corporation has been authorized by Locust Walk Securities, LLC to include the Formal Valuation in the Circular.

 

(23)

Brokers.

Except for the engagement letter between the Corporation and Locust Walk Securities, LLC, and the fees payable under or in connection with such engagement, no investment banker, broker, finder, financial adviser or other intermediary has been retained by or is authorized to act on behalf of the Corporation or any of its Subsidiaries, or any of their respective Representatives, or is entitled to any fee, commission or other payment from the Corporation or any of its Subsidiaries, or any of their respective Representatives, in connection with this Agreement or any other transaction contemplated by this Agreement. The aggregate fees payable by the Corporation to Locust Walk Securities, LLC in relation to the transactions contemplated by this Agreement have been disclosed in Section (23) of the Corporation Disclosure Letter.

 

(24)

Board and Transaction Committee Approval.

 

  (a)

The Transaction Committee, after consultation with and receiving advice from its financial adviser and outside legal counsel, has unanimously recommended that the

 

C-9


Table of Contents
 

Board approve the Arrangement and that the Shareholders (other than holders of the Excluded Shares) vote in favour of the Arrangement Resolution.

 

  (b)

The Board, acting on the unanimous recommendation in favour of the Arrangement by the Transaction Committee, has unanimously and, after receiving advice from its financial adviser and outside legal counsel in evaluating the Arrangement, has unanimously: (i) determined that the Arrangement is fair to Shareholders (other than the holders of the Excluded Shares) and that the Arrangement is in the best interests of the Corporation, (ii) resolved to unanimously recommend that the Shareholders (other than the holders of the Excluded Shares) vote in favour of the Arrangement Resolution, and (iii) authorized the entering into of this Agreement and the performance by the Corporation of its obligations under this Agreement, and no action has been taken to amend or supersede such determinations, resolutions, or authorizations.

 

  (c)

Each of the directors and officers of the Corporation who owns Shares has advised the Corporation of their intention to, and the Corporation to its knowledge reasonably believes that they intend to, vote or cause to be voted all Shares beneficially held by them in favour of the Arrangement Resolution and the Corporation shall make a statement to that effect in the Circular.

 

(25)

Material Contracts.

 

  (a)

Section (25)(a) of the Corporation Disclosure Letter sets out a complete and accurate list of all Material Contracts as of the date hereof and true, correct and complete copies thereof, including all material amendments, assignments and supplements thereto, have been provided in the Data Room.

 

  (b)

Each Material Contract is legal, valid, binding and in full force and effect and is enforceable by the Corporation or one or more of its Subsidiaries, as applicable, and to the knowledge of the Corporation, each other party thereto, in accordance with its terms, subject to any limitation on enforcement under Law relating to (i) bankruptcy, winding-up, insolvency, arrangement, reorganization or other Law of general application affecting the enforcement of creditors’ rights, and (ii) the discretion that a court may exercise in the granting of equitable remedies such as specific performance and injunction.

 

  (c)

The Corporation and each of its Subsidiaries has performed in all material respects all respective obligations required to be performed by it to date under the Material Contracts and neither the Corporation nor any of its Subsidiaries is in material breach or material default under any Material Contract, nor does the Corporation have knowledge of any condition that with the passage of time or the giving of notice or both would result in such material breach or material default. None of the Corporation and its Subsidiaries has repudiated any Material Contract.

 

  (d)

None of the Corporation or any of its Subsidiaries knows of, or has received any notice (whether written or oral) of, any material breach or material default under nor, to the knowledge of the Corporation, does there exist any condition which with the passage of time or the giving of notice or both would result in such a material breach or material default which is continuing under any such Material Contract by any other party to a Material Contract.

 

C-10


Table of Contents
  (e)

None of the Corporation or any of its Subsidiaries has received any notice (whether written or oral), that any party to a Material Contract intends to cancel, terminate or otherwise modify in a materially prejudicial manner or not renew its relationship with the Corporation or any of its Subsidiaries, and, to the knowledge of the Corporation, no such action is pending or has been threatened.

 

(26)

No Guarantees.

Except for guarantees provided pursuant to the Facility Agreements, neither the Corporation nor any of its Subsidiaries is a party to or bound by any Contract of guarantee, indemnification (other than standard indemnity agreements in favour of the directors and officers of the Corporation and its Subsidiaries and indemnification provisions contained in Material Contracts or other Contracts entered into in the Ordinary Course) or any similar commitment in respect of any material obligations, liabilities (contingent or otherwise) or indebtedness of any other Person (other than Subsidiaries of the Corporation).

 

(27)

Real Property.

 

  (a)

None of the Corporation or its Subsidiaries own any real or immovable property.

 

  (b)

Except as would not reasonably be expected to have, individually or in the aggregate, a Material Adverse Effect, (i) each of the Corporation and its Subsidiaries is in peaceable possession of its respective Leased Real Property, (ii) each Real Property Lease in respect thereof is in full force and effect and, to the knowledge of the Corporation, is a legal, valid, binding obligation of, and is enforceable against, each other party thereto in accordance with its terms, subject to any limitation on enforcement under Law relating to (A) bankruptcy, winding-up, insolvency, arrangement, reorganization or other Law of general application affecting the enforcement of creditors’ rights, and (B) the discretion that a court may exercise in the granting of equitable remedies such as specific performance and injunction, and (iii) neither the Corporation nor any of its Subsidiaries is in default or breach of any Real Property Lease, and neither the Corporation nor any of its Subsidiaries has received any written notice or other written communication from the owner or manager of any Leased Real Properties that the Corporation or its subsidiaries is not in compliance with any Real Property Lease, and no such notice or other communication is to the knowledge of the Corporation pending or has been threatened.

 

  (c)

Except as would not reasonably be expected to have, individually or in the aggregate, a Material Adverse Effect, no Person has any (i) option to purchase or lease, (ii) right of first opportunity, refusal or offer, (iii) other purchase or repurchase right, or (iv) any right or option to occupy, any material Leased Real Property or the Corporation’s and its Subsidiaries’ interests therein, and neither the Corporation nor its Subsidiaries has granted any right or privilege (whether by Law or Contract) capable of becoming a Contract, arrangement or understanding with any Person for the purchase, lease, sublease, license, assignment or other disposition of any of the material Leased Real Properties or any right or interest therein.

 

  (d)

The Leased Real Properties and all buildings, structures and improvements, fixtures and buildings systems thereon (limited, in the case of the Leased Real Properties, to the premises occupied by the business of the Corporation and its Subsidiaries), are (i) in good condition and repair having regard to their use and age, (ii) sufficient for the

 

C-11


Table of Contents
 

operation of the business of the Corporation and its Subsidiaries, as applicable, as presently conducted, and (iii) not currently undergoing any material repair, replacement or renovation (except in the Ordinary Course) and are adequate and suitable for the uses to which they are currently being put, in each case, except as would not be reasonably expected to have, individually or in the aggregate, a Material Adverse Effect.

 

(28)

Title and Sufficiency of Corporation Assets.

 

  (a)

The Corporation and its Subsidiaries own or lease or license all of the material Corporation Assets necessary for the conduct of their business as it is currently being conducted and, there is no agreement, option, right of first refusal, undertaking or commitment or any other right or privilege capable of becoming such that does not constitute a Permitted Lien outstanding in favour of any Person for the purchase from the Corporation or any of its Subsidiaries of any of such material Corporation Assets.

 

  (b)

No Person has any right of first refusal, undertaking or commitment, or any right or privilege capable of becoming a right of first refusal, undertaking or commitment, which does not constitute a Permitted Lien, to purchase or otherwise acquire any interest in any Corporation Asset.

 

(29)

Restrictions on Conduct of Business.

Neither the Corporation nor any of its Subsidiaries is a party to or bound by any non-competition agreement, any non-solicitation agreement, or any other agreement, obligation, judgment, injunction, order or decree which purports to: (i) limit in any respect the manner or the localities in which all or any portion of the business of the Corporation or its Subsidiaries are conducted; (ii) limit any business practice of the Corporation or of any of its Subsidiaries in any respect; or (iii) restrict any acquisition or disposition of any property by the Corporation or by any of its Subsidiaries in any material respect.

 

(30)

Government Incentives.

All filings made by the Corporation and its Subsidiaries under which such entity has received or is entitled to government incentives have been made in material compliance with all Laws and contain no misrepresentations which could cause any material amount previously paid to the Corporation or its Subsidiaries or previously accrued on the accounts thereof to be recovered or disallowed.

 

(31)

Intellectual Property.

 

  (a)

Section (31)(a) of the Corporation Disclosure Letter contains a complete and accurate list of: (i) all Registered Intellectual Property constituting of Owned Intellectual Property that is currently pending or in force (including, as applicable, the name of the registered owner (and, in the case of domain names, the registrant, and in the case of social media accounts, the account holder), the jurisdiction of filing, the filing date, date of issuance, application number, and registration number) (collectively, the “Owned Registered Intellectual Property”), (ii) all material unregistered Owned Intellectual Property, including all trademarks and trade names used and owned by the Corporation or its Subsidiaries that have not been registered or applied for (indicating for each trade-mark or trade name the relevant jurisdiction in which it is used, products, services and activities), a brief description of proprietary know-how and trade secrets and all works

 

C-12


Table of Contents
 

and subject matter used by the Corporation or a Subsidiary in which copyright subsists (including software, databases and works of authorship), and (iii) all Licensed Intellectual Property and associated Contracts (collectively “IP Licenses”), excluding any software subject to a nonexclusive license agreement for “off-the-shelf” software, or software licensed pursuant to “click through” or similar stock agreements, in each case, that is generally commercially available for a license fee. Except as set out in Section (31)(a) of the Corporation Disclosure Letter, the Corporation or one of its Subsidiaries is the sole owner and possesses all right, title and interest in and to the Owned Intellectual Property free and clear of all Liens (other than Permitted Liens), adverse claims, any requirement of any past (if outstanding), present or future royalty payments. Except as set forth in Section (31)(a) of the Corporation Disclosure Letter, the Corporation and Subsidiaries have a right to use the Licensed Intellectual Property pursuant to a valid and enforceable Contract. To the knowledge of the Corporation and its Subsidiaries the Owned Intellectual Property and the Licensed Intellectual Property constitute all material Intellectual Property necessary to operate the business of the Corporation and its Subsidiaries as currently conducted. The transaction contemplated by this Agreement and the continued operation of the business of the Corporation and the Subsidiaries will not violate or breach the terms of any Contract with respect to Licensed Intellectual Property or entitle any other party to any such Contract for Licensed Intellectual Property license to terminate or modify it, or otherwise adversely affect the Corporation’s and/or Subsidiaries’ rights under it. Following Closing, the Corporation and Subsidiaries will be entitled to continue to use, practice and exercise rights in all of the material Corporation Intellectual Property to the same extent and in the same manner as used, practiced and exercised by the Corporation and Subsidiaries prior to Closing without any financial obligation to any Person. Complete and accurate copies of all the Owned Registered Intellectual Property and IP Licenses have been delivered to the Purchaser.

 

  (b)

Each item of Owned Registered Intellectual Property (i) includes the Corporation or a Subsidiary as an owner of record, (ii) except as disclosed in Section (31)(a) of the Corporation Disclosure Letter is subsisting and in full force and effect, is not subject to cancellation for failure to use or unauthorized use by third parties, (iii) was diligently prosecuted and registered or issued or, in the case of an application, was applied for, in compliance with applicable Law, (iv) has been maintained, renewed or extended to the full extent required and permitted by applicable Law, (v) has no filings, payments or similar actions that must be taken by the Corporation or any Subsidiary within one hundred twenty (120) days of the Closing for the purposes of obtaining, maintaining, perfecting or renewing such Owned Registered Intellectual Property; (vi) has not been and is not involved in any opposition, cancellation, interference, inter partes review, reissue, reexamination or other similar post-grant proceeding, and (vii) to the Knowledge of the Corporation and its Subsidiaries, and except as disclosed in Section 31(a) of the Corporation Disclosure Letter, will be valid, subsisting and in full force and effect on identical terms immediately following Closing. Nothing has been done or omitted to have been done as a result of which any Owned Intellectual Property has ceased or might cease to be valid, subsisting and in full force and effect in the Ordinary Course.

 

  (c)

There are no written claims of, and to the Knowledge of the Corporation and its Subsidiaries, there is no basis for any claims of, adverse ownership, invalidity, absence of a right to register or apply for or other opposition to or conflict with any of the Owned Intellectual Property.

 

C-13


Table of Contents
  (d)

To the Knowledge of the Corporation and its Subsidiaries, no third party (i) infringes, nor has infringed, any Owned Intellectual Property or (ii) is committing, nor has committed, any misappropriation, passing off or actionable illegal acts in connection with the Owned Intellectual Property.

 

  (e)

To the Knowledge of the Corporation and its Subsidiaries, the operation of the business of the Corporation and Subsidiaries, their products and services (including software), including the using, exploiting and practicing of the Corporation Intellectual Property, is not infringing, misappropriating or otherwise violating any third party Intellectual Property and has not infringed, misappropriated or otherwise violated any third party Intellectual Property. The Corporation and Subsidiaries have not received any charge, complaint, claim, demand or notice alleging any interference, infringement, misappropriation or violation with respect to the operation of the business of the Corporation and Subsidiaries, products, services and/or Corporation Intellectual Property (including any claim that the Corporation or a Subsidiary must license, pay any royalty or fee or refrain from using any Intellectual Property of a third party), nor does the Corporation know of any valid grounds for any bona fide claims, except as disclosed in Section (31)(e) of the Corporation Disclosure Letter.

 

  (f)

Except as indicated in Section (31)(f) of the Corporation Disclosure Letter, (i) no other Person has the right to use any Owned Intellectual Property, save non-exclusive license agreements granted in the Ordinary Course, and (ii) neither the Corporation nor any of its Subsidiaries has granted any license or other rights to any other Person with respect to the Corporation Intellectual Property. Copies of all material agreements (in paper or electronic form) whereby any rights in any material Corporation Intellectual Property have been granted, licensed or sublicensed by the Corporation or any of its Subsidiaries have been provided to the Purchaser.

 

  (g)

Each of the Corporation and its Subsidiaries has and does properly and diligently protect (including measures to protect secrecy and confidentiality) the Owned Intellectual Property and the rights, titles, interests and benefits therein, including, without limitation, by registering Intellectual Property. All Employees and Representatives of the Corporation or its Subsidiaries and any third parties that have had access to confidential or proprietary information relating to the business of the Corporation and its Subsidiaries, including confidential aspects of the material Owned Intellectual Property, have entered into written confidentiality and non-disclosure agreements that include legal obligations of confidentiality to the Corporation or its Subsidiaries with respect to such information. To the Knowledge of the Corporation and its Subsidiaries, there has been no unauthorized disclosure of or unauthorized access, use or modification of any material Owned Intellectual Property made in a manner that would prevent the Corporation or its Subsidiaries or a successor in interest from obtaining a right in respect of any such Intellectual Property that it would otherwise be susceptible to obtain.

 

  (h)

All of the Owned Intellectual Property developed by the Corporation or its Subsidiaries or on their behalf has been developed by Employees or independent contractors of the Corporation or its Subsidiaries during the time they were employed or engaged by the Corporation or its Subsidiaries, in each case without violation or contravention of any rights of any former employer or customer. Each current and former Employee and independent contractor of the Corporation and its Subsidiaries who has participated in creating, authoring, handling, developing, inventing, adapting, modifying and/or

 

C-14


Table of Contents
 

improving any Intellectual Property of or on behalf of the Corporation or any of its Subsidiaries has, with respect to the Owned Intellectual Property or the Pharmaceutical Products, irrevocably and validly assigned in writing to the Corporation or its Subsidiaries all rights, title and interest in and to the applicable Owned Intellectual Property. The Corporation or any of its Subsidiaries, as the case may be, has obtained waivers of all non-assignable rights (including all moral rights) with respect to all Owned Intellectual Property. Subject to and in compliance with applicable Laws, no current or former officer, Employee or independent contractor of the Corporation or any of its Subsidiaries has claimed an interest in, any of the Owned Intellectual Property of the Corporation any of its Subsidiaries, nor has any right to a royalty or other consideration as a result of its marketing, licensing or assignment.

 

  (i)

No Governmental Entity has provided funding or contributions to the Corporation or its Subsidiaries for the development of Owned Registered Intellectual Property of the Corporation or its Subsidiaries so as to grant such Governmental Entity a license to or a right of ownership or a property interest in such Owned Registered Intellectual Property or a right to control, limit, restrict or require any payment in connection with the exercise and full enjoyment of the Owned Registered Intellectual Property by the Corporation or any of its Subsidiaries or that may restrict, limit or impose conditions upon the assignment of the Owned Registered Intellectual Property.

 

  (j)

All patents and patent applications owned by or licensed to the Corporation or any of its Subsidiaries, or under which any of them has rights have been duly and properly filed and maintained. To the knowledge of the Corporation, the parties prosecuting such applications have complied with their duty of candor and disclosure to the Intellectual Property Authorities in connection with such applications, and to the knowledge of the Corporation, there are no facts required to be disclosed to the Intellectual Property Authorities that were not disclosed to the Intellectual Property Authorities and which would preclude the grant of a patent in connection with any such application or would reasonably be expected to form the basis of a finding of invalidity with respect to any patents that have issued with respect to such applications. Assignment documents assigning to the Corporation or any of its Subsidiaries all rights of such employees, contractors and consultants have been duly filed as required at the applicable Intellectual Property Authorities for all patent applications and patents owned in whole or in part by the Corporation or any Subsidiary.

 

(32)

Business Systems.

 

  (a)

The Business Systems, whether owned, leased or otherwise used or held for use by the Corporation or its Subsidiaries that are material to the performance of the Corporation’s business (i) are sufficient to conduct the business of the Corporation and its Subsidiaries in the Ordinary Course, (ii) operate and perform in all material respects in accordance with their documentation and functional specifications and otherwise as required by the Corporation and its Subsidiaries to conduct their business in the Ordinary Course, and (iii) have not malfunctioned or failed in any material respect within the two (2) -year period immediately preceding the date of this Agreement. In the past two (2) years, no Person has gained unauthorized access to any Business Systems. The Corporation and its Subsidiaries have implemented and maintain reasonable and sufficient backup and disaster recovery technology consistent with industry standards and practices.

 

C-15


Table of Contents
  (b)

The Corporation and its Subsidiaries have in place cybersecurity measures and policies that are consistent with current standards and practices of a reasonably prudent business operating in a similar industry and such measures and policies reasonably safeguard proper access to and the security of, the Business Systems, including any Personal Information or Corporation Data stored thereon. The Corporation and its Subsidiaries have not received any written complaint relating to an improper access to, or use or disclosure of, any Personal Information or Corporation Data in the past two (2) years. There have been no breaches in the information security, cybersecurity or similar systems in respect of the Corporation or any of its Subsidiaries in the past two (2) years or any loss or theft or, corruption of, unauthorized access to, or unauthorized use, disclosure or deletion of, Personal Information or Corporation Data. There is no deficiency in the Corporation or its Subsidiaries’ cybersecurity measures or policies that could reasonably result in a loss of data or a breach of security of the Corporation or its Subsidiaries in any material respect.

 

  (c)

Except as would not reasonably be expected to cause a violation of any applicable Law, the Corporation and its Subsidiaries’ services and products do not (i) send information of a user to any other Person without the user’s consent or collect Personal Information stored on the user’s computer system or device without the user’s consent; (ii) interfere with the owner’s or an authorized user’s control of the computer system or device; (iii) change or interfere with settings, preferences or commands already installed or stored on the computer system or device without the knowledge of the owner or an authorized user of the computer system or device; (iv) change or interfere with data that is stored, accessed or accessible on any computer system or device in a manner that obstructs, interrupts or interferes with lawful access to or use of that data by the owner or an authorized user of the computer system or device; (v) cause the computer system or device to communicate with another computer system or device without the knowledge or consent of the user; (vi) install a computer program that may be activated by a Person other than the owner or an authorized user of the computer system or device; (vii) record a user’s actions without the user’s knowledge; or (viii) employ a user’s Internet connection without the user’s knowledge to gather or transmit information regarding the user or the user’s behavior.

 

(33)

Litigation.

 

  (a)

There is no Proceeding in effect or ongoing or, to the knowledge of the Corporation, pending or threatened against or relating to the Corporation or any of its Subsidiaries, the business of the Corporation or any of its Subsidiaries or affecting any of their respective current or former properties or assets, by or before any Governmental Entity that, if determined adverse to the interests of the Corporation or its Subsidiaries, (i) would have, or would reasonably be expected to have, individually or in the aggregate, a Material Adverse Effect, or (ii) would reasonably likely materially prevent, hinder or delay the consummation of the Arrangement,; nor to the knowledge of the Corporation are there any events or circumstances which would reasonably be expected to give rise to any such Proceeding.

 

  (b)

There is no bankruptcy, liquidation, dissolution, winding-up or other similar Proceeding pending or in progress, or, to the knowledge of the Corporation, threatened against or relating to the Corporation or any of its Subsidiaries before any Governmental Entity.

 

C-16


Table of Contents
  (c)

Neither the Corporation nor any of its Subsidiaries is subject to any outstanding Order which, individually or in the aggregate, have or are reasonably likely to have, a Material Adverse Effect or which would prevent or delay the consummation of the Arrangement or any other transaction contemplated by this Agreement.

 

(34)

Healthcare Laws.

 

  (a)

The Corporation is and, since December 31, 2023, has been in material compliance with all Healthcare Laws including, but not limited to, applicable Laws of the Drug Regulatory Agencies and other comparable Governmental Entities applicable to the ownership, testing, development, manufacture, packaging, processing, use, distribution, marketing, labeling, promotion, sale, offer for sale, storage, import, export or disposal of any Pharmaceutical Product; and (b) has not received any notice of adverse finding, warning letter, untitled letter or other correspondence or notice from a Drug Regulatory Agency or any Governmental Entity alleging or asserting material non-compliance with any applicable Laws, or any Permits or amendments thereto required by any such applicable Laws, and to the knowledge of the Corporation, no Drug Regulatory Agency or any Governmental Entity are considering such action against the Corporation or any Subsidiary.

 

  (b)

To the knowledge of the Corporation, there are no actual or threatened enforcement actions by a Drug Regulatory Agency or any other Governmental Entity which has jurisdiction over the operations of the Corporation or any Subsidiary against the Corporation or such Subsidiary.

 

  (c)

Since December 31, 2023, to the knowledge of the Corporation, neither the Corporation nor any Subsidiary has received written notice of any pending or threatened claim by a Drug Regulatory Agency or any other Governmental Entity which has jurisdiction over the operations of the Corporation or any Subsidiary against the Corporation or any Subsidiary, and no Governmental Entity is considering such action.

 

  (d)

Since December 31, 2023, all material reports, documents, claims and notices required to be filed, maintained or furnished to a Drug Regulatory Agency or any Governmental Entity relating to any current or proposed Pharmaceutical Product by the Corporation or any Subsidiary have been so filed, maintained or furnished. All such reports, documents, claims and notices were complete and correct in all material respects on the date filed (or were corrected in or supplemented by a subsequent filing) such that no material liability exists with respect to the completeness or accuracy of such filing. The Corporation has made available to the Purchaser complete and correct copies of each application or other material filing including all material related supplements, amendments, correspondence and annual reports made with any Governmental Entity made on behalf of the Corporation or any of its Subsidiaries relating to any Pharmaceutical Product.

 

  (e)

Any and all preclinical studies and clinical trials being conducted by or on behalf of the Corporation or Subsidiary, including any activities related to any planned or future studies or trials, have been and are being conducted in compliance in all material respects with experimental protocols, procedures and controls pursuant to applicable Laws, rules and regulations, including the applicable requirements of Good Laboratory Practices, Good Clinical Practices, all applicable requirements relating to protection of human subjects, any conditions, restrictions or limitations imposed on any permit, and all

 

C-17


Table of Contents
 

applicable registration and publication requirements of a Drug Regulatory Agency, as applicable. As of the date of this Agreement, no studies or trials that have been conducted or are currently being conducted have or have had results that undermine in any material respect the study results described or referred to in any documents filed with or furnished to any securities commission or securities regulatory authority, when viewed in the context in which such results are described and the state of development. Neither the Corporation nor any Subsidiary has received any notices, correspondence or other communication from a Drug Regulatory Agency, any other Governmental Entity, or an Institutional Review Board requiring the termination, suspension or material modification of any ongoing or planned studies in clinical development conducted by, or on behalf of, the Corporation or any Subsidiary, or in which the Corporation or any Subsidiary has participated and to the knowledge of the Corporation, no Drug Regulatory Agency any other Governmental Entity, nor an Institutional Review Board is considering such action.

 

  (f)

Section (34)(f) of the Corporation Disclosure Letter sets forth a true and complete list of each country in which a clinical trial related to any Pharmaceutical Product is being conducted by or on behalf of the Corporation or any of its Subsidiaries.

 

  (g)

Since December 31, 2023, the development, manufacture, labeling and storage, as applicable, of materials by the Corporation or any Subsidiary (including any Pharmaceutical Product) has been and is being conducted in compliance in all material respects with all applicable Laws including Good Laboratory Practices, Good Manufacturing Practices and Good Clinical Practices.

 

  (h)

Neither the Corporation nor any Subsidiary nor, to the knowledge of the Corporation, any of its or their respective officers, employees, agents or clinical investigators (i) made an untrue statement of a material fact or fraudulent statement to a Drug Regulatory Agency or any other Governmental Entity, (ii) failed to disclose a material fact required to be disclosed to a Drug Regulatory Agency or any Governmental Entity, or (iii) committed any other act, made any statement or failed to make any statement, that (in any such case) would reasonably be expected to provide a basis for the FDA to invoke its policy with respect to “Fraud, Untrue Statements of Material Facts, Bribery, and Illegal Gratuities” set forth in 56 Fed. Reg. 46191 (September 10, 1991), or any other Drug Regulatory Agency to invoke a similar policy. Neither the Corporation nor any Subsidiary nor, to the knowledge of the Corporation, any of its or their respective officers, employees or agents have been convicted of any crime or engaged in any conduct that has resulted in or would reasonably be expected to result in (i) debarment under 21 U.S.C. Section 335a or any similar Law or (ii) exclusion under 40 U.S.C. Section 1320a-7 or any similar Laws.

 

  (i)

Neither the Corporation nor any Subsidiary has marketed, advertised, sold or commercialized any product or is currently marketing, selling or otherwise commercializing any product.

 

(35)

Healthcare Regulatory Compliance.

 

  (a)

The Corporation and each Subsidiary is, and at all times since December 31, 2023 has been, in material compliance with all applicable Healthcare Laws and, as of the date of this Agreement, there is no civil, criminal, administrative, or other action, subpoena, suit,

 

C-18


Table of Contents
 

demand, claim, hearing, proceeding, written notice or demand pending, received by or overtly threatened in writing against the Corporation or any Subsidiary related to such applicable Healthcare Laws.

 

  (b)

Since December 31, 2023, neither the Corporation nor any Subsidiary has engaged in an unlawful or unauthorized practice of medicine or other professionally licensed activities through any web sites sponsored or operated, or formerly sponsored or operated, by the Corporation or any Subsidiary.

 

  (c)

Since December 31, 2023, no person has filed against the Corporation or any Subsidiary an action relating to the Corporation under any whistleblower Law.

 

(36)

Solvency.

The Corporation, on a consolidated basis with its Subsidiaries, is not insolvent on the basis that it is unable to pay its liabilities as they become due, and, to the knowledge of the Corporation, neither the Corporation nor any of its Subsidiaries has incurred or plans to incur any indebtedness beyond its ability to pay such indebtedness as it becomes absolute and matured or becomes due or payable.

 

(37)

Environmental Matters.

 

  (a)

The Corporation and each of its Subsidiaries are compliant and have complied in the last two (2) years in all material respects with all Environmental Laws.,

 

  (b)

The Corporation and its Subsidiaries have all material permits, Authorizations and approvals required under any applicable Environmental Laws and are each in compliance with their requirements in all material respects.

 

  (c)

To the knowledge of the Corporation, there are no pending administrative, regulatory or judicial actions, suits, demands, demand letters, claims, liens, orders, directions, notices of non-compliance or violation, investigation or proceedings relating to any Environmental Law against the Corporation or any of its Subsidiaries.

 

  (d)

To the knowledge of the Corporation, there are no facts or circumstances which would reasonably be expected to form the basis for any administrative, regulatory or judicial actions, suits, demands, demand letters, claims, Liens, orders, directions, notices of non-compliance or violation, investigation or proceedings relating to any Environmental Law against the Corporation or any of its Subsidiaries.

 

(38)

Employees.

 

  (a)

All amounts due or accrued for all salary, wages, bonuses, incentive compensation, deferred compensation, commissions, vacation with pay, sick days and benefits under Employee Plans and other similar accruals have either been paid or are accrued and accurately reflected in all material respects in the Books and Records.

 

  (b)

Section (38)(b) of the Corporation Disclosure Letter contains a list of all Employees of the Corporation or one of its Subsidiaries providing for a contractual length of notice or termination or severance payment required to terminate his or her employment. The

 

C-19


Table of Contents
 

Corporation has made available a list of the titles and locations of each Employee and independent contractor providing services to the Corporation or any of its Subsidiaries as of the date of this Agreement, and in the case of each such Employee or independent contractor, the following information, as applicable, as of the date hereof: (i) title or position; (ii) date of hire or commencement of services; (iii) work location; (iv) whether full-time or part-time and whether exempt or non-exempt; (v) whether covered by the terms of a collective bargaining or similar agreement or an employment or independent contractor agreement; (vi) whether absent from active employment and if so, the date such absence commenced, the reason for such absence, and the anticipated date of return to active employment; (vii) annual salary, hourly rate or fee arrangement, and, if applicable, bonus target or other incentive compensation, and (viii) accrued but unused vacation or paid time off. Except as disclosed in Section (38)(b) of the Corporation Disclosure Letter or pursuant to the Retention Bonus Program, there are no change of control payments, retention payments or severance payments or Contracts with any Employees or Employee Plans providing for cash or other compensation or benefits (including any increase in amount of compensation or benefit or the acceleration of time of payment or vesting of any compensation or benefit) upon the consummation of, or relating to, the Arrangement or any other transaction contemplated by this Agreement, including a change of control of the Corporation or of any of its Subsidiaries.

 

  (c)

Within the past two (2) years, the Corporation and its Subsidiaries have promptly, thoroughly and impartially investigated all workplace harassment allegations (including psychological or sexual harassment) and workplace violence allegations and claims relating to current and former Employees. With respect to each such allegation or claims, the Corporation and its Subsidiaries have taken prompt corrective action that is reasonably calculated to prevent further workplace harassment (including sexual or psychological harassment) and workplace violence. The Corporation and its Subsidiaries do not expect any material liability with respect to any such allegations.

 

  (d)

The Corporation and its Subsidiaries have been and are in material compliance, with all applicable terms and conditions of employment and with all applicable Laws respecting labour, immigration and employment, including pay equity, employment equity, work classification, work permits/authorizations, wages, hours of work, vacation pay and other paid time off, overtime pay, accessibility, Employment Insurance, discrimination, harassment (including sexual harassment), leave of absence, reprisal, equal opportunity, overtime, employment and labour standards, labour relations, privacy, workers compensation, human rights, French language use and occupational health and safety, termination of employment. No Proceedings with respect to any such Law relating to the Corporation or any of its Subsidiaries is in progress or pending or, to the knowledge of the Corporation, threatened and there are no material outstanding claims, complaints, investigations or orders under any such Law and to the knowledge of the Corporation there is no basis for such Proceeding.

 

  (e)

All current Employees, consultants, agents and independent contractors of the Corporation and its Subsidiaries have been correctly classified by the Corporation and its Subsidiaries, as applicable, as a non-employee for all purposes, including wages, employment standards, payroll Taxes and participation and benefit accrual under each Employee Plan, and neither the Corporation nor any of its Subsidiaries has received any notice from any Person disputing such classification. All Employees have been properly classified under the Fair Labor Standards Act and similar Laws.

 

C-20


Table of Contents
  (f)

There are no investigations currently ongoing or conducted by or on behalf of the Corporation or any of its Subsidiaries with respect to an actual or suspected material violation by an Employee, consultant, agent and independent contractor or former employee or consultant, agent and independent contractor of any policy or code of conduct of the Corporation or of any applicable Laws.

 

  (g)

There are no managerial or key Employee and no group of Employees of the Corporation or any of its Subsidiaries that have any plans to terminate his, her or their employment with the Corporation or any of its Subsidiaries.

 

  (h)

There are no outstanding assessments, penalties, fines, liens, charges, surcharges, or other amounts due or owing pursuant to any workplace safety and insurance legislation and the Corporation or any of its Subsidiaries have not been reassessed in any material respect under such legislation during the past five years and, no audit of the Corporation or any of its Subsidiaries is currently being performed pursuant to any applicable workplace safety and insurance legislation.

 

  (i)

The Corporation and all of its Subsidiaries have complied in all material respects with any orders issued under applicable Canadian or U.S. occupational health and safety legislation (respectively, “OHSA” and “OSHA”) and there are no appeals of any orders under OHSA or OSHA currently outstanding.

 

  (j)

Neither the Corporation nor any of its Subsidiaries are subject to any Proceeding for wrongful dismissal, constructive dismissal or any other claim, complaint or litigation relating to employment, discrimination or termination of employment of any of its current or former Employees or relating to any failure to hire a candidate for employment.

 

  (k)

No Employee is employed pursuant to a work permit issued by a Governmental Entity. A Form I-9 has been completed and retained with respect to each current Employee in the U.S. and, where required by applicable Law, former Employees in the US. Neither the Corporation nor its Subsidiaries have been the subject of any audit or other action, suit, proceeding, claim, demand, assessment or judgment nor, to the knowledge of the Corporation, have the Corporation or its Subsidiaries been the subject of an investigation, inquiry or any other audit or other action, suit, proceeding, claim, demand, assessment or judgments from the U.S. Department of Homeland Security, including the Immigration and Customs Enforcement (or any predecessor thereto, including the U.S. Customs Service or the Immigration and Naturalization Service) or any other immigration-related enforcement proceeding.

 

(39)

Collective Agreements.

 

  (a)

Neither the Corporation nor any of its Subsidiaries are bound by any other Collective Agreement or agreements with any employee association, labour union, or other similar entity, or made commitments to or conducted negotiations with any labour union or employee association or other similar entity with respect to any future Contracts.

 

  (b)

Neither the Corporation nor any of its Subsidiaries has any material unresolved grievances, arbitrations, notice of default or statement of offence or pending

 

C-21


Table of Contents
 

proceedings outstanding under any Collective Agreement, and there are no written or oral agreements or course of conduct which modify the terms of any such Collective Agreement.

 

  (c)

There are no labour strikes, disputes, lock-outs, concerted refusals to work overtime, work slowdowns, stoppages or similar labour activities or, organizing campaign in progress or pending or, to the knowledge of the Corporation, threatened, involving the Corporation or any of its Subsidiaries. None of the Corporation or any of its Subsidiaries has engaged in any unfair labour practice and no unfair labour practice Proceeding is pending or, to the knowledge of the Corporation, threatened against the Corporation or any of its Subsidiaries. No facts exist which could result in an unfair labour practice Proceeding.

 

(40)

Employee Plans.

 

  (a)

Section (40)(a) of the Corporation Disclosure Letter lists all Employee Plans. The Corporation has disclosed in the Data Room true, correct and complete copies of all such Employee Plans as amended (or if the plan is not written, a written description thereof), together with all related documentation including, where applicable, for each Employee Plan: (i) the most recent insurance or annuity Contract, trust agreement, service and fee Contract, third-party administrative services Contract, record-keeping, consulting, funding and investment management Contracts, as well as the most recent investment policies (ii) employee/member booklets and summary plan descriptions and summaries of material modifications, (iii) the most recent actuarial reports, financial statements and asset statements, (iv) all material opinions and memoranda (whether externally or internally prepared), (v) all material correspondence with Governmental Entities or other relevant Persons during the most recent six (6) years, (vi) nondiscrimination testing for the most recent three (3) years, (vii) the most recent determination or opinion letter received from the Internal Revenue Service or similar local body, authority or expert, and (viii) the three (3) most recent annual reports (Form 5500-series, with all applicable schedules and attachments). No set of facts exist and no changes have occurred which would materially affect the information contained in the actuarial reports, financial statements or asset statements required to be provided to the Purchaser. No commitments to improve or otherwise amend any material Employee Plan have been made.

 

  (b)

Each Employee Plan (and each related trust, insurance Contract or fund) has been established, maintained, administered, communicated, and, where applicable, registered, invested and funded in all material respects in accordance with its terms (and the terms of any applicable collective bargaining agreement, if applicable) and in all material respects in compliance with all applicable requirements of ERISA, the Code and other applicable Laws, including the Patient Protection and Affordable Care Act and the Health Care and Education Reconciliation Act of 2010, as amended, and any guidance issued thereunder (“PPACA”) and the requirements of Part 6 of Subtitle B of Title I of ERISA, Section 4980B of the Code, and any similar state Laws (“COBRA”), and no event has occurred that would reasonably be expected to cause any such to fail to comply in any material respect with such applicable requirements and no notice has been issued by any Governmental Entity in the most recent six (6) years questioning or challenging such compliance. Neither the Corporation nor any of its Subsidiaries has incurred (whether or not assessed), or is reasonably expected

 

C-22


Table of Contents
 

to incur or to be subject to, any material tax, penalty or other liability under PPACA (including with respect to the reporting requirements under Sections 6055 and 6056 of the Code, as applicable) or under Section 4980B, 4980D or 4980H of the Code, or any other Laws. All required reports and descriptions (including Form 5500 annual reports, Forms 1094-C and 1095-C, summaries of benefits and coverage, summary annual reports, and summary plan descriptions) have been timely filed and distributed in all material respects in accordance with the applicable requirements of ERISA, PPACA and the Code or any other applicable Laws with respect to each Employee Plan.

 

  (c)

Neither the Corporation nor any of its Subsidiaries has breached any fiduciary obligation with respect to the administration or investment of any Employee Plan. With respect to each Employee Plan, the Corporations and its Subsidiaries represent and warrant that: (i) there have been no non-exempt “prohibited transactions” (as defined in Section 406 of ERISA or Section 4975 of the Code), (ii) no “fiduciary” (as defined under ERISA) has any liability for breach of fiduciary duty or any other failure to act or comply in connection with the administration or investment of the assets of such Employee Plan, and (iii) no claim or audit (other than routine claims for benefits) is pending or, to the knowledge of the Corporation, threatened, and there are no facts that would give rise to or could reasonably be expected to give rise to any such claim or audit.

 

  (d)

All obligations regarding the Employee Plans have been satisfied in all material respects; there are no outstanding breaches, defaults or violations by any party to any Employee Plan; and no Taxes, penalties, payments or levies under applicable Laws are owing or due and payable under or in respect of any of the Employee Plans.

 

  (e)

Each Employee Plan that is intended to be “qualified” under Section 401(a) of the Code either has received a current favorable determination from the Internal Revenue Service or may rely upon a current favorable opinion letter from the Internal Revenue Service that such Employee Plan is so qualified, and nothing has occurred that would reasonably be expected to adversely affect the qualification of such Employee Plan or its continued reliance on the opinion letter, if applicable. None of the assets of any Employee Plan are invested in employer securities or employer real property.

 

  (f)

All contributions, distributions, reimbursements and premiums required to be collected and remitted, made or paid by the Corporation or any of its Subsidiaries under the terms of each Employee Plan or by applicable Laws have been timely collected and remitted, made or paid in accordance with the terms of such Employee Plan and such applicable Laws. Neither the Corporation nor any of its Subsidiaries has any liability (other than liabilities accruing after the date hereof) with respect to any Employee Plan.

 

  (g)

Except to the extent required by applicable Law, none of the of the Employee Plans provide post-termination or retiree health and welfare benefits, and neither the Corporation nor any of its Subsidiaries has any liability or obligation to provide post-termination or retiree health and welfare benefits (including pursuant to individual Contracts of employment or severance) to any current or former Employee, director, officer, consultant, service provider or independent contractor of the Corporation or any of its Subsidiaries, or has ever represented, promised or contracted in favour of any individual that such individual would be provided with post-termination or retiree health and welfare benefits.

 

C-23


Table of Contents
  (h)

Other than routine claims for benefits, there is no material Proceeding in progress or pending or, to the knowledge of the Corporation, threatened, relating to any Employee Plan and there exists no state of facts which could reasonably be expected to give rise to any such Proceedings.

 

  (i)

No Employee Plan is, has ever been, or is intended to be a “retirement compensation plan”, a “registered pension plan”, an “employee life and health trust”, an “employee trust” or an “employees profit sharing plan”, as each such term is defined in subsection 248(1) of the Tax Act. No Employee Plan is intended to be or has ever been found or alleged by a Governmental Entity to be a “salary deferral arrangement” as such term is defined in subsection 248(1) of the Tax Act.

 

  (j)

Only current or former Employees, officers and directors of the Corporation and its Subsidiaries (or any of their respective spouses, dependents, survivors or beneficiaries) are entitled to participate in the Employee Plans (and only to the extent permitted under the Employee Plan terms and applicable Laws) and no entity other than the Corporation or any of its Subsidiaries is a participating employer under any Employee Plan.

 

  (k)

each Employee Plan that is a “nonqualified deferred compensation plan” (as defined under Section 409(A)(d)(1) of the Code) has been operated and administered in material compliance with, and is in documentary compliance with, Section 409A of the Code and the related Treasury Regulations and other official guidance promulgated thereunder in all material respects. [References redacted for confidentality reasons]

 

  (l)

Except as set forth in Section 40(l) of the Corporation Disclosure Letter or pursuant to the Retention Bonus Program, no Employee Plan, arrangement or agreement exists that could require, as a result of the transactions contemplated by this Agreement, alone or in combination with any other event, (i) the payment to any Person of any money, severance, change in control, transaction, retention or other benefit or property; (ii) accelerated or increased funding, timing of payment or vesting of benefits under any Employee Plan; (iii) the acceleration or provision of any other increased rights or benefits to any Person or (iv) alone, or in combination with any other event, payment of any “excess parachute payment” under Section 280G of the Code (without regard to section (b)(4) thereof) or could be subject to an excise tax under Section 4999 of the Code. Neither the Corporation nor any of its Subsidiaries or ERISA Affiliates has any indemnity or gross-up obligation on or after the Closing for any taxes imposed under Section 4999, Section 457A or Section 409A of the Code (or any similar provision of U.S. state, local, or non-U.S. Tax Law).

 

  (m)

None of the Corporation nor any of its Subsidiaries maintains, sponsors, contributes to, has any obligation to contribute to, or has in the last six (6) years had any current or potential liability under or with respect to (i) any “defined benefit plan” (as defined in Section 3(35) of ERISA) or any other plan that is or was subject to the funding requirements of Section 412 or 430 of the Code or Section 302 or Title IV of ERISA, (ii) any “multiemployer plan” (as defined in Section 3(37) or 4001(a)(3) of ERISA), (iii) any multiple employer welfare arrangement (within the meaning of Section 3(40) of ERISA), or (iv) any multiple employer plan (as described in Section 413(c) of the Code). Neither the Corporation nor any Subsidiary has any liability (whether current or

 

C-24


Table of Contents
 

contingent) as a result of at any time being treated as a single employer under Section 414 of the Code with any other Person other than the Corporation or any Subsidiary.

 

(41)

Insurance.

 

  (a)

Each of the Corporation and its Subsidiaries is insured by reputable third party insurers with reasonable and prudent policies appropriate for the size and nature of the business of the Corporation and its Subsidiaries and their respective assets, taken as a whole, consistent with industry practice.

 

  (b)

Each material insurance policy held by the Corporation or any of its Subsidiaries is in full force and effect in accordance with its terms, and neither the Corporation nor any of its Subsidiaries is in default in any material respect under the terms of any such material policy. To the knowledge of the Corporation, there have not been any proposed or threatened termination of, or material premium increase with respect to, any such material policies. Neither the Corporation nor any of its Subsidiaries have received notice that any material claim pending under any insurance policy of the Corporation or its Subsidiaries has been denied, rejected, questioned or disputed by any insurer, or as to which any insurer has made any reservation of rights or refused to cover all or any material portion of such claims. To the knowledge of the Corporation, all material Proceedings covered by any insurance policy of the Corporation or any of its Subsidiaries have been properly reported to and accepted by the applicable insurer.

 

(42)

Tax Matters.

 

Except as disclosed in Section (42) of the Corporation Disclosure Letter,

 

  (a)

Each of the Corporation and its Subsidiaries have correctly computed all Taxes owing by it, correctly prepared and duly and timely filed all material Tax Returns required to be filed by it, paid all material Taxes which were due and payable by it (other than those which are being contested in good faith through appropriate proceedings and in respect of which adequate reserves have been provided in the most recent Financial Statements) on or before the date hereof within the time required by applicable Laws and made adequate provision for any material Taxes in the Books and Records and in the Financial Statements. The Corporation and its Subsidiaries have made adequate and timely installments of Taxes required to be made.

 

  (b)

There are no outstanding waivers of any limitation periods or agreements providing for an extension of time for the filing of any Tax Return or the payment of any Tax by the Corporation and its Subsidiaries.

 

  (c)

There are no material proceedings, investigations or audits pending or, to the knowledge of the Corporation, threatened against the Corporation and its Subsidiaries in respect of any Taxes. There are no material matters under discussion, audit or appeal with any Governmental Entity relating to Taxes of the Corporation or any of its Subsidiaries.

 

  (d)

Each of the Corporation and its Subsidiaries have withheld from each payment made to any of its past and present shareholders, directors, officers, Employees, suppliers

 

C-25


Table of Contents
 

and contractors and other payees any material amount of Taxes and other deductions required to be withheld and has paid such amounts when due, in the form required under applicable Laws, or made adequate provision for the payment of such amounts to the appropriate Governmental Entities.

 

  (e)

Each of the Corporation and its Subsidiaries have collected from any of the past and present customers any material amount of Taxes required to be collected and has paid and remitted such Taxes when due, in the form required under applicable Laws or, if not yet due, has made adequate provision in the Books and Records for the remittance of such amounts to the appropriate Governmental Entities.

 

  (f)

All material amounts of input tax credits, refunds, rebates and similar adjustments of Taxes claimed by the Corporation and its Subsidiaries have been validly claimed and correctly calculated as required by applicable Laws, and the Corporation and its Subsidiaries have retained all documentation prescribed by applicable law to support such claims.

 

  (g)

The Corporation and its Subsidiaries have not, and have never been deemed to have acquired or had the use of property for proceeds greater than the fair market value thereof from, or disposed of property for proceeds less than the fair market value thereof to, or received or performed services for consideration other than consideration that is equal or approximately equal to the fair market value thereof from or to, or paid or received interest or any other amount other than at a fair market value rate to or from, any Person with whom it does not deal at Arm’s Length. For all transactions between the Corporation or its Subsidiaries, on the one hand, and any non-resident Person with whom the Corporation or any such Subsidiary was not dealing at Arm’s Length on the other hand, during a taxation year commencing after 1998 and ending on or before the Effective Date, the Corporation and its Subsidiaries have made or obtained records or documents that satisfy the requirements of paragraphs 247(4)(a) to (c) of the Tax Act.

 

  (h)

At no time before the Effective Date has any “foreign affiliate” (as such term is defined in the Tax Act) of the Corporation earned any income that would constitute “foreign accrual property income” (as such term is defined in the Tax Act) of such foreign affiliate.

 

  (i)

The Corporation has not made an “excessive eligible dividend election” as defined in subsection 89(1) of the Tax Act in respect of any dividend paid, or deemed by any provision of the Tax Act to have been paid on any class of shares of its capital.

 

  (j)

The Corporation has not made a capital dividend election under subsection 83(2) of the Tax Act in an amount which exceeded the amount in the Corporation’s capital dividend account at the time the relevant dividend was paid or deemed to be paid.

 

  (k)

None of sections 78, 80, 80.01, 80.02, 80.03 or 80.04 of the Tax Act, or any equivalent provisions of any applicable provincial or territorial Tax Laws, have applied or will apply to the Corporation at any time up to and including the Effective Date.

 

  (l)

Neither the Corporation nor any of its Subsidiaries has participated or engaged in any “reportable transaction” within the meaning of Section 237.3 of the Tax Act, “notifiable transaction” within the meaning of Section 237.4 of the Tax Act, or the similar

 

C-26


Table of Contents
 

provisions of any other applicable Laws (including a “reportable transaction” within the meaning of U.S. Treasury Regulation Section 1.6011-4(b)).

 

  (m)

Neither the Corporation nor any of its Subsidiaries is or was a “surrogate foreign corporation” within the meaning of Section 7874(a)(2)(B) of the U.S. Internal Revenue Code or is treated as a U.S. corporation under Section 7874(b) of the U.S. Internal Revenue Code.

 

  (n)

Neither the Corporation nor any of its Subsidiaries is a party to any agreement, understanding or arrangement relating to the allocation or sharing of Taxes (excluding customary commercial agreements entered into in the ordinary course of business, the primary subject of which is not Taxes).

 

  (o)

Neither the Corporation nor any of its Subsidiaries will be required to include any item of income in, or exclude any item of deduction from, taxable income for any taxable period (or portion thereof) ending after the Effective Date as a result of any (i) “closing agreement”, as described in Section 7121 of the U.S. Internal Revenue Code (or any corresponding or similar provision of state, local or non-U.S. income Tax Law), entered into prior to the Closing; (ii) intercompany item under U.S. Treasury Regulation Section 1.1502-13 or an excess loss account under U.S. Treasury Regulation Section 1.1502-19; (iii) change in method of accounting for a taxable period (or portion thereof) ending on or prior to the Effective Date and made prior to the Closing or use of an improper method of accounting during any taxable period (or portion thereof) ending on or prior to the Closing; (iv) installment sale or open transaction disposition made prior to the Closing; or (v) prepaid amount or deferred revenue received outside the ordinary course of business prior to the Closing.

 

  (p)

Within the past three (3) years, neither the Corporation nor any of its Subsidiaries has distributed stock of another Person, or has had its stock distributed by another Person, in a transaction that was purported or intended to be governed in whole or in part by Sections 355 or 361 of the U.S. Internal Revenue Code.

 

  (q)

The Corporation has not made an election to be treated as a “domestic corporation” pursuant to Section 897(i) of the U.S. Internal Revenue Code.

 

  (r)

Notwithstanding anything to the contrary in this Agreement, (i) no representation or warranty is made in respect of any Taxes in respect of any period (or portion thereof) that commences on or after the date of this Agreement or the amount, availability or use of any Tax attributes (including, without limiting the generality of the foregoing, losses, resource and other pools, capital cost and undepreciated capital cost, paid-up capital, balances and investment tax and other credits); and (ii) the representations and warranties set forth in this paragraph (42) are the Corporation’s sole and exclusive representations and warranties regarding Tax matters.

 

(43)

Non-Arms Length Transactions.

Except as set forth in Section (43) of the Corporation Disclosure Letter and except for Contracts made solely among the Corporation and its Subsidiaries, there are no Material Contracts between the Corporation or its Subsidiaries and any Person with whom the Corporation or its Subsidiaries is not dealing, as of the date of this Agreement, at Arm’s Length.

 

C-27


Table of Contents
(44)

Anti-Terrorism Laws.

Neither the Corporation nor any of its Subsidiaries nor, to the knowledge of the Corporation, any of their respective Representatives (i) is, or is controlled by or is acting on behalf of, any Person that is currently the subject of any sanctions administered or enforced by the United States (including any sanctions administered or enforced by the Office of Foreign Assets Control of the U.S. Department of the Treasury, the U.S. Department of State or the Bureau of Industry and Security of the U.S. Department of Commerce, and including, without limitation, the designation as a “specially designated national” or “blocked person”), Canada (including sanctions administered or enforced by Global Affairs Canada and the Royal Canadian Mounted Police or other relevant sanctions authority), the European Union, His Majesty’s Treasury, the United Nations Security Council or other relevant sanctions authority (collectively, “Sanctions”) or (ii) is located, organized or resident in a country or territory that is, or whose government is, the subject of Sanctions that broadly prohibit dealings with that country or territory, including, without limitation, Crimea, Cuba, Sudan, Syria, Iran, Russia and North Korea, and the Corporation and each of its Subsidiaries have not knowingly engaged in, are not now knowingly engaged in, any dealings or transactions with any Person, or in any country or territory, that at the time of the dealing or transaction is or was the subject of Sanctions. Neither the Corporation nor any of its Subsidiaries has received any notice alleging that the Corporation, any of its Subsidiaries or any of their respective Representatives has violated any Sanctions, and, to the knowledge of the Corporation, no condition or circumstances exist (including any ongoing Proceedings) that would reasonably form the basis of any such allegations.

 

(45)

Corrupt Practices Legislation.

Neither the Corporation nor any of its Subsidiaries nor, to the knowledge of the Corporation, any director, officer, agent, Employee, affiliate or other Person acting on behalf of the Corporation or any of its Subsidiaries has taken any action, directly or indirectly, that could result in a sanction for violation by such Persons of the Special Economic Measures Act (Canada), the United Nations Act (Canada), the Freezing Assets of Corrupt Foreign Officials Act, the Criminal Code (Canada), the Proceeds of Crime (Money Laundering) and Terrorist Financing Act (Canada), the Foreign Extraterritorial Measures Act (Canada), the Export and Import Permits Act (Canada), the Defence Production Act (Canada), the Justice for Victims of Corrupt Foreign Officials Act and the Customs Act (Canada), as well as any sanctions or export controls administered or enforced by the U.S. Department of Treasury’s Office of Foreign Assets Control, the U.S. Department of State, or the Bureau of Industry and Security of the U.S. Department of Commerce, and Executive Order No. 13224 on Terrorist Financing, effective September 24, 2001, the USA PATRIOT Act of 2001, the Trading with the Enemy Act (12 U.S.C. §95), the International Emergency Economic Powers Act (50 U.S.C. §§1701-1707), and all other applicable U.S. economic sanctions, antiterrorism, customs and export and technology transfer control Laws, including any regulations or orders issued under the foregoing, and similar applicable economic sanctions, anti-terrorism, customs and export and technology transfer control Laws of other jurisdictions, each as may be amended, any similar law of any other relevant jurisdiction, or the rules or regulations thereunder; and the Corporation has instituted and maintains policies and procedures designed to ensure compliance therewith.

 

(46)

CFIUS.

The Corporation and its Subsidiaries do not produce, design, test, manufacture, fabricate, or develop any “critical technologies”, as defined at 31 C.F.R. § 800.215.

 

C-28


Table of Contents
(47)

Money Laundering.

The operations of the Corporation and each of its Subsidiaries are and have been conducted at all times in compliance with the anti-money laundering laws of all applicable jurisdictions, the rules and regulations thereunder and any related or similar rules, regulations or guidelines issued, administered or enforced by any Governmental Entity to which they are subject (collectively, the “Money Laundering Laws”), and no action, suit or proceeding by or before any Governmental Entity or arbitrator involving the Corporation or any of its Subsidiaries with respect to Money Laundering Laws is pending or, to the knowledge of the Corporation, threatened.

 

(48)

Data Protection Laws.

 

  (a)

Each of the Corporation and its Subsidiaries has complied in all material respects with the requirements of all applicable Data Security and Privacy Requirements for the past three (3) years.

 

  (b)

To the knowledge of the Corporation, neither the Corporation nor any of its Subsidiaries is the subject of a complaint, audit, review, investigation or inquiry or similar Proceeding by a Governmental Entity, or a complaint or inquiry by an individual, made under any Data Security and Privacy Requirement.

 

  (c)

Neither the Corporation nor any of its Subsidiaries has been charged with or convicted of an offence for non-compliance with or breach of any Data Security and Privacy Requirements nor has the Corporation or any of its Subsidiaries been fined or otherwise sentenced for non-compliance with or breach of any Data Security and Privacy Requirements nor has the Corporation or any of its Subsidiaries settled any prosecution short of conviction for non-compliance with or breach of any Data Security and Privacy Requirements.

 

  (d)

To the knowledge of the Corporation, there are no facts or circumstances that would be reasonably likely to give rise to breach or alleged breach of, or non-compliance with, any Data Security and Privacy Requirements.

 

  (e)

The Corporation and its Subsidiaries have established and implemented policies, programs and procedures that are in compliance with applicable Data Security and Privacy Requirements, including administrative, technical and physical safeguards, to protect the confidentiality, integrity and security of Personal Information in their possession, custody or control against Data Breaches.

 

  (f)

Except as described in Section (32)(b) and Section (48)(f) of the Corporation Disclosure Letter, neither the Corporation nor any of its Subsidiaries has experienced any Data Breach.

 

  (g)

The Corporation and its Subsidiaries have valid transfer mechanisms for cross-border transfers of Personal Information where required by applicable Law.

 

(49)

Anti-Spam.

Each of the Corporation and its Subsidiaries: (i) is in compliance with applicable Anti-Spam Laws, (ii) has obtained valid express consent, that complies with the consent requirements under

 

C-29


Table of Contents

applicable Anti-Spam Laws, to install or cause to be installed any computer program on another person’s computer system (including cookies, pixels, and similar tools), (iii) has obtained express or implied consent that complies with the consent requirements under applicable Anti-Spam Laws, or is otherwise permitted under applicable Anti-Spam Laws, to send Commercial Electronic Messages to each Electronic Address in its marketing and advertising database to which Commercial Electronic Messages are sent, including customers, prior customers, prospective customers and other third party contacts, and (iv) has in place appropriate processes and practices to comply with Anti-Spam Laws.

 

(50)

Funds Available.

The Corporation has sufficient funds available to pay the Corporation Expense Fee.

 

(51)

Confidentiality Agreements.

All agreements entered into by the Corporation or any of its Subsidiaries with Persons other than the Parent regarding the confidentiality of information provided to such Person or reviewed by such Persons with respect to any transaction in the nature described in the definition of Acquisition Proposal contain customary provisions, including standstill provisions, which do not provide for any waiver or release thereof other than with the consent of the Corporation or its Subsidiaries and the Corporation or, if applicable, its Subsidiaries has not waived, released or amended the standstill or other provisions of any such agreements. The Corporation or any of its Subsidiaries have not negotiated or engaged in any discussions with respect to any such proposal with any Person who has not entered into such a confidentiality agreement.

 

(52)

Disclosure.

No forecast, budget or projection provided by or on behalf of the Corporation to the Purchaser contains any Misrepresentation and such forecasts, budgets and projections were prepared in good faith and at the time they were prepared contained reasonable estimates of the prospects of the business of the Corporation and its Subsidiaries.

 

(53)

Transaction Costs.

The Corporation has disclosed in writing the Corporation’s bona fide good faith estimate of the aggregate amount and each component of the Transaction Costs and provided that no significant events, challenges or revisions to the transactions contemplated by this Agreement occur, the aggregate Transaction Costs will not exceed the amount reflected therein.

 

C-30


Table of Contents

SCHEDULE D

REPRESENTATIONS AND WARRANTIES OF THE PARENT AND THE PURCHASER

 

(1)

Organization and Qualification.

Each of the Parent and the Purchaser is a corporation duly incorporated, validly existing and in good standing under the laws of the jurisdiction of its incorporation.

 

(2)

Corporate Authorization.

Each of the Parent and the Purchaser has the requisite corporate power and authority to enter into and perform its obligations under this Agreement and the other documents to be entered into by it hereunder. The execution, delivery and performance by each of the Parent and the Purchaser of its obligations under this Agreement and the consummation of the Arrangement and other transactions contemplated by this Agreement have been duly authorized by all necessary corporate action on the part of each of the Parent and the Purchaser and no other corporate proceedings on the part of each of the Parent and the Purchaser are necessary to authorize this Agreement or the consummation of the Arrangement and other transactions contemplated hereby.

 

(3)

Execution and Binding Obligation.

This Agreement has been duly executed and delivered by each of the Parent and the Purchaser, and constitutes a legal, valid and binding agreement of each of the Parent and the Purchaser enforceable against it in accordance with its terms subject only to (a) any limitation on enforcement under Laws relating to bankruptcy, winding-up, insolvency, reorganization, arrangement or other Law affecting the enforcement of creditors’ rights generally, and (b) the discretion that a court may exercise in the granting of equitable remedies such as specific performance and injunction.

 

(4)

Governmental Authorization.

The execution, delivery and performance by each of the Parent and the Purchaser of this Agreement and the consummation by each of the Parent and the Purchaser of the Arrangement and the transactions contemplated hereby do not require any Authorization or other action by or in respect of, or filing with or notification to, any Governmental Entity by the Parent or the Purchaser other than (a) the Regulatory Approvals, (b) the Interim Order and the Final Order, and (c) filings with the Registrar under the ABCA in respect of the Arrangement.

 

(5)

No Conflict / Non-Contravention.

The execution and delivery of this Agreement by each of the Parent and the Purchaser, and performance of its obligations hereunder and the consummation by each of the Parent and the Purchaser of the Arrangement, and the other transactions contemplated hereby, do not and will not:

 

  (a)

contravene, conflict with, or result in any violation or breach of the Constating Documents of the Parent or the Purchaser, respectively; or

 

  (b)

assuming satisfaction of, or compliance with, the matters referred to in Paragraph (4) above, and receipt of the Authorizations referred to therein, contravene, conflict

 

D-1


Table of Contents
 

with or result in a violation or breach of Law, except as would not, individually or in the aggregate, materially impede the ability of the Parent or the Purchaser, respectively, to consummate the Arrangement and the transactions contemplated hereby.

 

(6)

Litigation. There are no material Proceedings in progress or pending or, to the knowledge of the Parent and the Purchaser, threatened, against the Parent or the Purchaser, nor are the Parent or the Purchaser subject to any outstanding Order that is reasonably likely to prevent or materially delay consummation of the Arrangement or the other transactions contemplated by this Agreement.

 

(7)

Security Ownership. Other than 508,710 Shares beneficially owned by the Parent as of the date hereof, none of the Parent, the Purchaser or their respective affiliates and associates beneficially owns or controls as of the date hereof any Shares or any securities that are convertible into or exchangeable or exercisable for Shares.

 

(8)

Sufficiency of Funds. The Purchaser will have at the Effective Time sufficient funds available to satisfy the aggregate Consideration payable by the Purchaser pursuant to the Arrangement in accordance with the terms of this Agreement and the Plan of Arrangement, to satisfy all other obligations payable by the Purchaser pursuant to this Agreement and the Plan of Arrangement and to pay all expenses payable by it pursuant to this Agreement and the Plan of Arrangement.

 

(9)

Brokers. Except for Persons, if any, whose fees and expenses will be paid by the Purchaser, no investment banker, broker, finder, financial advisor or other intermediary has been retained by or is authorized to act on behalf of the Purchaser or any of its affiliates is entitled to any fee, commission or other payment from the Purchaser or any of its affiliates in connection with this Agreement or any other transaction contemplated by this Agreement based upon arrangements made by or on behalf of the Purchaser or any of its affiliates (provided that, for purposes of this paragraph, the Purchaser’s affiliates shall not include the Corporation and its Subsidiaries).

 

D-2


Table of Contents

SCHEDULE E 

FORM OF SUPPORT AND VOTING AGREEMENT

See attached.

 

E-1


Table of Contents

FORM OF VOTING AND SUPPORT AGREEMENT

     , 2025

To the Undersigned Securityholder of Aptose Biosciences Inc.

Dear Sirs/Madams:

 

Re:

Voting and Support Agreement

In connection with an arrangement agreement between HS North America Ltd. (the “Purchaser”), Hanmi Pharmaceutical Co Ltd. and Aptose Biosciences Inc. (the “Corporation”) dated the date hereof (as it may be amended, modified or supplemented from time to time in accordance with its terms, the “Arrangement Agreement”), the Purchaser proposes to acquire all of the issued and outstanding common shares of the Corporation (the “Shares”) (including all of the Shares issued upon the exercise or surrender of the outstanding options to acquire Shares granted under the stock incentive plan and share option plan of the Corporation and upon the vesting of the outstanding restricted stock units under the stock incentive plan of the Corporation and upon the exercise of warrants (collectively, the “Rights”)) not already owned by the Purchaser and its affiliates pursuant to the terms and conditions set forth in the Arrangement Agreement (the “Transaction”). It is contemplated that the Transaction will be effected pursuant to a statutory plan of arrangement (the “Arrangement”) under Section 192 of the Canada Business Corporations Act.

All capitalized terms used but not otherwise defined herein shall have the respective meanings ascribed to them in the Arrangement Agreement.

We understand that you (the “Selling Securityholder”) beneficially own or exercise control or direction over, directly or indirectly, the number of Shares and Rights set forth in Schedule A attached hereto.

This letter agreement sets forth the agreement between Purchaser and the Selling Securityholder that the Selling Securityholder agrees to vote the following Selling Securityholder’s Securities (as defined below) in favour of the Arrangement (and in favour of any actions required in furtherance of the actions contemplated thereby) at any meeting of the securityholders of the Corporation, however called, for the purpose of approving the Arrangement (the “Meeting”): (i) all of the Shares beneficially owned by the Selling Securityholder, or over which the Selling Securityholder exercises direction and control, directly or indirectly, in his or her personal capacity, which are set forth and described in Schedule A attached hereto and forming part hereof; (ii) all of the Shares issued upon the exercise or surrender of the Rights held by the Selling Securityholder, which are set forth and described in Schedule A attached hereto and forming part hereof; and (iii) any and all other Shares hereafter acquired or controlled by the Selling Securityholder in his or her personal capacity either directly or indirectly before the date of the Meeting; ((i), (ii) and (iii) are collectively referred to as the Selling Securityholder’s Securities), and to otherwise support the Arrangement, subject to the terms and conditions of this letter agreement.

The Selling Securityholder acknowledges and agrees that the Arrangement Agreement and the Arrangement may be amended or amended and restated and any such amendment or amendment and restatement shall not in any way affect the obligations of the Selling Securityholder hereunder unless the consideration to be paid to the Selling Securityholder pursuant to the Arrangement is less than the amount that is set forth in this letter agreement or the form of the consideration to be paid to the Selling Securityholder pursuant to the Arrangement as set forth in this letter agreement is changed in which case this letter agreement will terminate in accordance with Section 3.


Table of Contents
1.

Covenants of the Selling Securityholder

For good and valuable consideration, the receipt and sufficiency of which is hereby acknowledged, and subject to the terms and conditions hereof until the termination of this letter agreement in accordance with Section 3, the Selling Securityholder hereby covenants and agrees as follows:

 

  (a)

to vote or to cause to be voted all of the Selling Securityholder’s Securities: (i) in favour of the Transaction and the Arrangement, including each of the Arrangement Resolution and Continuance Resolution, and any other matter that could reasonably be expected to facilitate the Transaction and any proposal to adjourn or postpone the Meeting if such adjournment or postponement is proposed pursuant to and in compliance with the provisions of the Arrangement Agreement; and (ii) against any Acquisition Proposal and any other matter which could reasonably be expected to impede, frustrate, interfere with, postpone, prevent, adversely affect or delay the completion of the Transaction or the other transactions contemplated by the Arrangement Agreement;

 

  (b)

except to the extent permitted hereunder, not take any action of any kind which would cause any of its representations or warranties in this letter agreement to become untrue;

 

  (c)

promptly notify Purchaser upon any of the Selling Securityholder’s representations or warranties in this letter agreement becoming untrue or incorrect in any material respect during the period commencing on the date hereof and expiring at the earlier of the Effective Time and the termination of this letter agreement, and for the purpose of this provision, each representation and warranty shall be deemed to be given at and as of all times during such period (irrespective of any language which suggests that it is only being given as at the date hereof);

 

  (d)

no later than ten (10) Business Days prior to the date of the Meeting, deliver or cause to be delivered to, or deposit or cause to be deposited with, the Corporation or the proximate intermediary, as applicable, in each case, with a copy to the Purchaser concurrently, a duly executed proxy (or proxies) or voting instruction form (or voting instruction forms), as applicable, directing the Selling Securityholder’s Securities to be voted in favour of the Transaction, including both the Arrangement Resolution and Continuance Resolution, and any other matter that could reasonably be expected to facilitate the Transaction, and (if applicable) name, in such proxy (or proxies) or voting instruction form (or voting instruction forms), as applicable, those individuals as may be designated by the Corporation in the Circular for such purpose;

 

  (e)

not take, or permit any Person to take, any action to withdraw, revoke, amend or invalidate any proxy (or proxies) or voting instruction form (or voting instruction forms), as applicable, delivered to or deposited with the Corporation or the proximate intermediary, as applicable, pursuant to paragraph (d) above, notwithstanding any statutory or other rights or otherwise;

 

  (f)

not to grant or agree to grant any proxy or other right to vote any of the Selling Securityholder’s Securities (other than as permitted under subsections 1(d) hereof), or enter into any voting trust, vote pooling or other agreement with respect to the right to vote, call meetings of shareholders or give consents or approval of any kind as to any of the Selling Securityholder’s Securities;

 

  (g)

except as contemplated by the Arrangement Agreement or upon the settlement of awards or other equity incentive securities of the Corporation, not to, directly or indirectly, (i) option, offer, sell, assign, transfer, distribute, exchange, gift, dispose of, pledge, encumber, grant a security interest in, hypothecate, appoint, encumber or otherwise convey or dispose of

 

-2-


Table of Contents
 

(“Transfer”) any Selling Securityholder’s Securities prior to the Meeting to any person other than to: (A) the Purchaser or any of its subsidiaries (as such term is defined in the Securities Act (Ontario)); (B) an affiliate or associate (as such terms are defined in the Securities Act (Ontario)) of such Selling Securityholder provided that such affiliate or associate first agrees with the Purchaser to be bound by the terms hereof; (C) a self-directed registered retirement savings account in which the Selling Securityholder is the beneficiary; or (D) any person with the prior written consent of the Purchaser, acting in its sole discretion; (ii) enter into any forward sale, repurchase agreement or other monetization transaction with respect to any of the Selling Securityholder’s Securities, or any right or interest therein (legal or equitable), to any Person or group of Persons; (iii) enter into any contract, option or other arrangement or undertaking with respect to the Transfer of any Selling Securityholder’s Securities; or (iv) agree to do any of the foregoing or take any action that would reasonably be expected to restrict or otherwise adversely affect the undersigned’s legal power, authority and right to comply with and perform its covenants and obligations under this letter agreement;

 

  (h)

not to, directly or indirectly, through any representative or other third party, (i) solicit, assist, initiate, encourage or otherwise knowingly facilitate (including by way of furnishing or providing copies of, access to, or disclosure of, any confidential information, properties, assets, facilities, books or records of the Corporation or any of its Subsidiaries) any inquiry, proposal or offer from any Person that constitutes, or may reasonably be expected to constitute or lead to, an Acquisition Proposal; (ii) enter into or otherwise engage or participate in any discussions or negotiations with any Person (other than the Parent, the Purchaser and their affiliates) regarding any inquiry, proposal or offer that constitutes, or may reasonably be expected to constitute or lead to, an Acquisition Proposal; (iii) support, endorse or accept, or publicly propose to support, endorse or accept any Acquisition Proposal; (iv) provide any confidential information relating to the Corporation to any Person or group of Persons in connection with any actual or potential Acquisition Proposal; (v) solicit proxies or become a participant in a solicitation of proxies in opposition to or in competition with the Transaction; (vi) requisition or join in any requisition of any meeting of shareholders or other securityholders; or (vii) otherwise co-operate in any way with any effort or attempt by any other Person or group of Persons to do or seek to do any of the foregoing[, in each case, except as expressly provided in Article 5 of the Arrangement Agreement or in Section 5.1 of the Corporation Disclosure Letter]; and

 

  (i)

not exercise any rights of dissent provided under any applicable Law or otherwise, including any Dissent Rights, in connection with the Arrangement Resolution or the Continuance Resolution in respect of the Transaction or any other corporate transaction considered at the Meeting and not to exercise any other securityholder rights or remedies available at common law or pursuant to the Canada Business Corporations Act or applicable securities legislation against the Corporation, the Purchaser or any of their affiliates that may reasonably be expected to adversely affect, delay, hinder, upset or challenge the successful completion of the Arrangement or the purchase of any Shares under the Arrangement.

 

2.

Representations and Warranties of the Selling Securityholder

The Selling Securityholder represents and warrants to the Purchaser that:

 

  (a)

the Selling Securityholder is duly authorized and has the authority to execute and deliver this letter agreement and carry out the transactions contemplated hereby and this letter agreement is a valid and binding agreement enforceable against the Selling Securityholder in accordance with its terms; and neither the execution of this letter agreement by the Selling Securityholder nor the completion by the Selling Securityholder of the transactions contemplated hereby will constitute a violation of or default under, or conflict with, any contract, commitment,

 

-3-


Table of Contents
 

agreement, understanding, arrangement or restriction of any kind to which the Selling Securityholder will be a party or by which it will be bound at the time of such completion;

 

  (b)

(i) the Selling Securityholder is the beneficial owner of or exercises control and direction over the number of Shares and Rights set forth in Schedule A attached hereto; and (ii) the foregoing Shares and Rights are the only securities in the capital of the Corporation beneficially owned by the Selling Securityholder or over which he, she or it exercises control or direction;

 

  (c)

the Shares and Rights beneficially owned by the Selling Securityholder or over which the Selling Securityholder exercises control and direction at the date hereof are held by the Selling Securityholder with valid and marketable title thereto, and the transfer to Purchaser or a subsidiary thereof of such Shares and the Shares issuable upon the exercise or surrender of such Rights will pass good and marketable title to such shares, free and clear of all claims, liens, charges, encumbrances and security interests;

 

  (d)

the Shares (including the Shares issuable upon the exercise or surrender of Rights) and the Rights owned or controlled by the Selling Securityholder are not subject to any shareholders’ agreements, voting trust or similar agreements or any right or privilege (whether by law, pre-emptive or contractual) capable of becoming a shareholders’ agreement, voting trust or other agreement affecting such Shares or Rights or any interest therein or right thereto, including, without limitation, the voting of any such shares, other than pursuant to this letter agreement;

 

  (e)

other than pursuant to this letter agreement, the Selling Securityholder has not previously granted or agreed to grant any proxy or any other right to vote any of the Selling Securityholder’s Securities in respect of any meeting of securityholders of the Corporation that is currently in force, and has not entered into a voting trust, vote pooling or other agreement with respect to his, her or its right to vote, call meetings of securityholders of the Corporation or give consents or approvals of any kind as to the Selling Securityholder’s Securities;

 

  (f)

there are no legal proceedings currently in progress or pending before any governmental entity or, to the Selling Securityholder’s knowledge, threatened against the Selling Securityholder or any of such Selling Securityholder’s affiliates that would adversely affect in any manner the ability of the Selling Securityholder to enter into this letter agreement and to perform its obligations hereunder or the title of the Selling Securityholder to any of the Selling Securityholder’s Securities, and there is no current and enforceable judgment, decree or order against the Selling Securityholder that would adversely affect in any manner the ability of the Selling Securityholder to enter into this letter agreement and to perform its obligations hereunder or the title of the Selling Securityholder to any of the Selling Securityholder’s Securities;

 

  (g)

no authorization, consent or approval from, or filing, registration, declaration or qualification with, or before, or giving notice to, any person is required to be obtained, given or made for the execution and delivery by the Selling Securityholder of this letter agreement, the performance of the terms hereof by the Selling Securityholder or the consummation of the transactions contemplated hereby by the Selling Securityholder, except for those which have been (or will be with respect to consummation) duly and unconditionally obtained and are (or will be with respect to consummation) in full force and effect; and

 

  (h)

the Selling Securityholder has been afforded the opportunity to obtain independent legal advice and confirms by the execution of this letter agreement that the Selling Securityholder has either done so or waived its right to do so in connection with the entering into of this letter agreement,

 

-4-


Table of Contents
 

and that any failure on the Selling Securityholder’s part to seek independent legal advice shall not affect (and the Selling Securityholder shall not assert that it affects) the validity, enforceability or effect of this letter agreement or the Arrangement Agreement.

 

3.

Termination

It is understood and agreed that this letter agreement shall automatically terminate and be of no further force and effect upon the earliest of (a) the Effective Time, (b) the date on which this letter agreement is terminated by the mutual written agreement of the parties hereto; (c) the termination of the Arrangement Agreement in accordance with its terms, (d) the Purchaser publicly announcing by way of news release that it will not be proceeding with the Arrangement, [(e) the date on which the Board makes a Change in Recommendation in accordance with Article 5 of the Arrangement Agreement], and (f) the Arrangement Agreement is amended in any manner that would result in a decrease in the amount, or change in the form, of Consideration payable pursuant to the Arrangement.

In the event of the termination of this letter agreement, this letter agreement shall forthwith be of no further force and effect, except for Sections 4, 5, 6, 9, 11 and 15 and this Section 3 which provisions shall survive the termination of this letter agreement and there shall be no liability on the part of either the Selling Securityholder or Purchaser or any of its affiliates or associates, except to the extent that either such party is in default of its obligations herein contained.

 

4.

Applicable Law

This letter agreement will be governed by and interpreted and enforced in accordance with the Laws of the Province of Ontario and the federal laws of Canada applicable therein.

 

5.

Attornment

Each party irrevocably attorns and submits to the non-exclusive jurisdiction of the Ontario courts situated in the City of Toronto and waives objection to the venue of any proceeding in such court or that such court provides an inconvenient forum.

 

6.

Public Disclosure

Prior to the first public disclosure of the existence and terms and conditions of this letter agreement by the Purchaser or the Corporation or an affiliate thereof, neither of the Parties shall disclose the existence of this letter agreement or any details hereof or the possibility of the Arrangement being effected to any person other than (i) the Selling Securityholder’s advisors (provided that such advisors shall be required to comply with the foregoing disclosure obligations and the Selling Securityholder agrees to be responsible for any breach of such disclosure obligations by any of its advisors); and (ii) the Corporation and its directors, officers and advisors, without the prior written consent of the other party, except to the extent required by applicable law, stock exchange rules or policies of regulating authorities having jurisdiction. Any disclosure made by any party after the first public disclosure of the existence and terms and conditions of this letter agreement by the Purchaser or the Corporation or an affiliate thereof shall be permitted only to the extent that any such information disclosed has already been publicly disclosed. Notwithstanding anything contained herein or elsewhere, the existence and terms and conditions of this letter agreement may be disclosed by the Corporation and the Purchaser in any press release issued in connection with the execution of the Arrangement Agreement or to the extent required by applicable law.

 

7.

No Limit On Fiduciary Duty

[Notwithstanding any provision of this letter agreement to the contrary, the Purchaser hereby acknowledges and agrees that the undersigned is executing this letter agreement and is bound hereunder solely in his or her capacity

 

-5-


Table of Contents

as a holder of securities of the Corporation. Without limiting the provisions of the Arrangement Agreement, nothing contained in this letter agreement shall (a) limit or affect in any way any actions or omissions the undersigned may take in his or her capacity as a director or officer of the Corporation, including in exercising rights under the Arrangement Agreement, or (b) be construed to prohibit, limit or restrict in any way the undersigned from exercising of his or her fiduciary duties as a director or officer of the Corporation. The undersigned acknowledges that Article 5 of the Arrangement Agreement imposes certain restrictions on the actions of the Corporation and its officers and directors.]

 

8.

Amendment

This letter agreement may only be amended, supplemented or otherwise modified by written agreement signed by the parties hereto.

 

9.

Assignment

Except as expressly set forth herein, no party to this letter agreement may assign any of its rights or obligations under this letter agreement without the prior written consent of the other party except that the Purchaser may assign its rights and obligations under this letter agreement to any of its affiliates, to the extent permitted by the Arrangement Agreement, provided such affiliate executes and delivers a counterpart to this letter agreement pursuant to which it agrees to be bound by the terms of this letter agreement as if it were the company being acquired pursuant to the Arrangement, but no such assignment shall relieve the Purchaser of its obligations hereunder.

 

10.

Further Assurances

The Selling Securityholder shall from time to time and at all times hereafter at the request of the Purchaser but without further consideration, do and perform all such further acts, matters and things and execute and deliver all such further documents, deeds, assignments, agreements, notices and writings and give such further assurances as shall be reasonably required for the purpose of giving effect to this letter agreement.

 

11.

Enurement

This letter agreement will be binding upon and enures to the benefit of the Purchaser, the Selling Securityholder and their respective executors, administrators, successors and permitted assigns.

 

12.

Severability

If any provision of this letter agreement is determined to be void or unenforceable, in whole or in part, it shall be severable from all other provisions hereof and shall be deemed not to affect or impair the validity of any other provision hereof and each such provision is deemed to be separate and distinct.

 

13.

Entire Agreement

This letter agreement supersedes all prior agreements between the parties hereto with respect to the subject matter hereof and contains the entire agreement among the parties with respect to the subject matter hereof. This letter agreement may not be modified or waived, except expressly by an instrument in writing signed by all the parties hereto. No waiver of any provision hereof by any party shall be deemed a waiver by any other party nor shall any such waiver be deemed a continuing waiver of any matter by such party.

 

-6-


Table of Contents
14.

Counterparts

This letter agreement may be signed in counterparts which together shall be deemed to constitute one valid and binding agreement and delivery of such counterparts may be effected by means of facsimile or e-mail or electronic transmission.

 

15.

Expenses

Each Party hereto shall pay all costs and expenses incurred by it in connection with the negotiation, preparation and execution of this letter agreement.

 

16.

Language

The parties expressly acknowledge that they have requested that this letter agreement and all ancillary and related documents thereto be drafted in the English language only. Les parties aux présentes reconnaissent avoir exigé que la présente lettre entente et tous les documents qui y sont accessoires soient rédigés en anglais seulement.

[Remainder of page left intentionally blank. Signature page follows.]

 

-7-


Table of Contents

Yours very truly,

 

HS North America Ltd.

by

 

 

 

Name

 

 

 

Title

 

 

Voting and Support Agreement - Signature Page


Table of Contents

ACCEPTANCE

For good and valuable consideration, the receipt and sufficiency of which are hereby acknowledged, the Selling Securityholder hereby irrevocably accepts the foregoing as of the   day of      , 2025.

 

   
 

 SELLING SECURITYHOLDER SIGNATURE

 

   
 

 Name of Selling Securityholder (please print)

 

 
 

 ADDRESS OF SELLING SECURITYHOLDER:

   
   
   
   
   

 Facsimile Number:

   

 E-mail:

   

 

-9-


Table of Contents

SCHEDULE A

 

Class of Securities

  

Type and Number

Shares

    

Options

    

RSUs

    

Warrants

    

 

-10-


Table of Contents

APPENDIX C – PLAN OF ARRANGEMENT

SCHEDULE A

PLAN OF ARRANGEMENT

PLAN OF ARRANGEMENT UNDER SECTION 193

OF THE BUSINESS CORPORATIONS ACT (Alberta)

ARTICLE 1

INTERPRETATION

Section 1.1 Definitions

Unless indicated otherwise, where used in this Plan of Arrangement, capitalized terms used but not defined shall have the meanings specified in the Arrangement Agreement and the following terms shall have the following meanings (and grammatical variations of such terms shall have corresponding meanings):

“ABCA” means the Business Corporations Act (Alberta).

“Armistice Warrants” has the meaning specified in Section 2.5(1)(c).

Arrangement” means the arrangement under Section 193 of the ABCA in accordance with the terms and subject to the conditions set out in this Plan of Arrangement, subject to any amendments or variations to the Plan of Arrangement made in accordance with the terms of the Arrangement Agreement or made at the direction of the Court in the Final Order with the prior written consent of the Corporation and the Purchaser, each acting reasonably.

Arrangement Agreement” means the arrangement agreement dated as of November 18, 2025 among the Purchaser, the Parent and the Corporation (including the schedules thereto) as it may be amended, modified or supplemented from time to time in accordance with its terms.

Arrangement Resolution” means the special resolution approving this Plan of Arrangement to be considered at the Meeting, substantially in the form of Schedule B to the Arrangement Agreement.

Articles of Arrangement” means the articles of arrangement of the Corporation in respect of the Arrangement, required by the ABCA to be filed with the Registrar after the Final Order is made, which shall include the Plan of Arrangement and otherwise be in a form and content satisfactory to the Corporation and the Purchaser, each acting reasonably.

Business Day” means any day of the year, other than a Saturday, Sunday or any day on which major banks are closed for business in Calgary, Alberta.

CBCA” means the Canada Business Corporations Act.

 

C-1


Table of Contents

Certificate of Arrangement” means the certificate of arrangement to be issued by the Registrar pursuant to Subsection 193(11) of the ABCA in respect of the Articles of Arrangement.

Circular” means the notice of the Meeting and accompanying management information circular prepared under Canadian Law, including all schedules, appendices and exhibits thereto, to be sent to each Shareholder and other Persons as required by the Interim Order and Law in connection with the Meeting, as amended, modified or supplemented from time to time in accordance with the terms of the Arrangement Agreement and unless the context requires otherwise, the term “Circular” includes the Proxy Statement.

Consideration” means CAD$2.41 in cash per Share, without interest.

Corporation” means Aptose Biosciences Inc., a corporation continued under the laws of the Province of Alberta from the CBCA.

Corporation Surrender Agreements” means agreements entered into between the Corporation and each holder of Options, Warrants and RSUs whereby each holder of Options, Warrants or RSUs shall surrender such Option, Warrant and RSU.

Court” means the Court of King’s Bench of Alberta, or other court as applicable.

Depositary” means Computershare Investor Services Inc., in its capacity as depositary for the Arrangement, or such other Person as the Corporation and the Purchaser mutually agree to engage as depositary for the Arrangement.

Dissent Rights” has the meaning specified in Section 3.1.

Dissenting Holder” means a registered Shareholder who has validly exercised its Dissent Rights and has not withdrawn or been deemed to have withdrawn such exercise of Dissent Rights, but only in respect of the Shares in respect of which Dissent Rights are validly exercised by such holder.

DRS Advice” has the meaning specified in Section 4.1(2).

Effective Date” means the date shown on the Certificate of Arrangement.

Effective Time” means 12:01 a.m. (Toronto time) on the Effective Date, or such other time as the Parties agree to in writing before the Effective Date.

ESPP” means the 2021 employee stock purchase plan of the Corporation.

Final Order” means the final order of the Court in a form acceptable to the Corporation and the Purchaser, each acting reasonably, approving the Arrangement, as such order may be amended by the Court (with the consent of both the Corporation and the Purchaser, each acting reasonably) at any time prior to the Effective Time or, if appealed, then, unless such appeal is withdrawn or denied, as

 

C-2


Table of Contents

affirmed or as amended (provided that any such amendment is acceptable to both the Corporation and the Purchaser, each acting reasonably) on appeal.

Governmental Entity” means any: (i) international, multinational, federal, provincial, state, territorial, municipal, local or other governmental or public department, regulatory authority, central bank, court, commission, commissioner, board, bureau, ministry, agency or instrumentality, domestic or foreign, and includes the Securities Authorities, (ii) any subdivision or authority of any of the foregoing, (iii) any quasi-governmental, self-regulatory organization or private body exercising any regulatory, expropriation or taxing authority under or for the account of its members or any of the above, including the TSX, SEC, the Canadian Investment Regulatory Organization (CIRO) and any other regulatory body, or (iv) any arbitrator exercising jurisdiction over the affairs of the applicable person, asset, obligation or other matter.

Incentive Compensation Plans” means the Legacy Option Plan, the Stock Incentive Plan and the ESPP.

Incentive Securities” means, collectively, the Options and the RSUs.

Interim Order” means the interim order of the Court in a form acceptable to the Corporation and the Purchaser, each acting reasonably, providing for, among other things, the calling and holding of the Meeting, as such order may be amended by the Court with the consent of the Corporation and the Purchaser, each acting reasonably.

Laws” means, with respect to any Person, any and all applicable laws, including all statutes, codes, ordinances, decrees, rules, regulations, municipal by-laws, judicial or arbitral or administrative or ministerial or departmental or regulatory judgments, orders, decisions or rulings of (or issued by) any Governmental Entity that is binding on or affecting such Person, and to the extent they have the force of law, all policies or guidelines of any Governmental Entity.

Legacy Option Plan” means the Corporation’s share option plan.

Letter of Transmittal” means the letter of transmittal sent to the Shareholders for use in connection with the Arrangement.

Lien” means any mortgage, charge, pledge, hypothec, security interest, international interest, prior claim, encroachments, option, right of first refusal or first offer, occupancy right, covenant, assignment, lien (statutory or otherwise), defect of title, or restriction or adverse right or claim, or other third-party interest or encumbrance of any kind, in each case, whether contingent or absolute.

Meeting” means the special meeting of the Shareholders, including any adjournment or postponement of such special meeting in accordance with the terms of the Arrangement, to be called and held in accordance with the Interim Order to consider the Arrangement Resolution and the Continuance Resolution and for any other purpose as may be set out in the Circular and agreed to in writing by the Purchaser.

 

C-3


Table of Contents

Options” means the stock options of the Corporation granted pursuant to (i) the Stock Incentive Plan and (ii) the Legacy Option Plan.

Parent” means Hanmi Pharmaceutical Co. Ltd., a corporation existing under the laws of the Republic of Korea.

Parties” means the Corporation, the Parent and the Purchaser and “Party” means any one of them.

Person” includes any individual, partnership, association, body corporate, organization, trust, estate, trustee, executor, administrator, legal representative, government (including Governmental Entity), syndicate or other entity, whether or not having legal status.

Plan of Arrangement” means this plan of arrangement proposed under Section 193 of the ABCA, subject to any amendments or variations to this plan made in accordance with the Arrangement Agreement and this plan or made at the direction of the Court in the Final Order with the prior written consent of the Corporation and the Purchaser, each acting reasonably.

Proxy Statement” means the proxy statement on Schedule 14A prepared by the Corporation in connection with the Meeting.

Purchaser” means HS North America Ltd., a corporation incorporated under the ABCA.

Registrar” means the Registrar of Corporations for the Province of Alberta duly appointed under the ABCA.

RSUs” means the outstanding restricted share units of the Corporation granted pursuant to the Stock Incentive Plan.

SEC” means the United States Securities and Exchange Commission.

Securities Authority” means the OSC and any other applicable securities commissions or securities regulatory authority of a province or territory of Canada, the SEC and the TSX.

Securityholders” means, collectively, the Shareholders and the holders of Incentive Securities and Warrants.

Shareholders” means the registered or beneficial holders of the Shares, as the context requires.

Shares” means the common shares in the share capital of the Corporation.

Stock Incentive Plan” means the Corporation’s 2021 stock incentive plan, as amended (and as further amended from time to time).

 

C-4


Table of Contents

Tax Act” means the Income Tax Act (Canada), and the regulations promulgated thereunder, as amended from time to time.

Warrants” means the Share purchase warrants of the Corporation.

Section 1.2 Certain Rules of Interpretation

In this Plan of Arrangement, unless otherwise specified:

 

(1)

Headings, etc. The division of this Plan of Arrangement into Articles and Sections and the insertion of headings are for convenient reference only and do not affect the construction or interpretation of this Plan of Arrangement.

 

(2)

Currency. All references to dollars or to $ are references to Canadian dollars. In the event that any amounts are required to be converted from a foreign currency to Canadian dollars or vice versa, such amounts shall be converted using the most recent daily exchange rate published by The Bank of Canada before the relevant calculation date.

 

(3)

Gender and Number. Any reference to gender includes all genders. Words importing the singular number only include the plural and vice versa.

 

(4)

Certain Phrases and References, etc. The words (i) “including”, “includes” and “include” mean “including (or includes or include) without limitation”, and “the aggregate of”, “the total of”, “the sum of”, or a phrase of similar meaning means “the aggregate (or total or sum), without duplication, of,”. Unless stated otherwise, “Article” and “Section”, followed by a number or letter mean and refer to the specified Article or Section of this Plan of Arrangement. The terms “Plan of Arrangement”, “hereof”, “herein” and similar expressions refer to this Plan of Arrangement (as it may be amended, modified or supplemented from time to time) and not to any particular article, section or other portion hereof and include any instrument supplementary or ancillary hereto.

 

(5)

Statutes. Any reference to a Law refers to such Law and all rules and regulations made under it, as it or they may have been or may from time to time be amended, consolidated, replaced or re-enacted, unless stated otherwise.

 

(6)

Computation of Time. If any action may be taken within, or any right or obligation is to expire at the end of, a period of days under this Plan of Arrangement, then the first day of the period is not counted, but the day of its expiry is counted. Whenever payments are to be made or an action is to be taken on a day which is not a Business Day, such payment will be made or such action will be taken on or not later than the next succeeding Business Day.

 

(7)

Time References. References to time are to local time, Calgary, Alberta.

 

C-5


Table of Contents

ARTICLE 2

THE ARRANGEMENT

Section 2.1 Conditions Precedent to Implementation

The following preliminary steps will occur in the following order as conditions precedent to the implementation of this Plan of Arrangement:

 

(1)

the Continuance Resolution will have been approved in accordance with the ABCA; and

 

(2)

the Continuance will have been completed.

Section 2.2 Arrangement Agreement

This Plan of Arrangement constitutes an arrangement under Section 193 of the ABCA and is made pursuant to, and is subject to the provisions of, the Arrangement Agreement.

Section 2.3 Binding Effect

This Plan of Arrangement and the Arrangement, upon the filing of the Articles of Arrangement and the issuance of the Certificate of Arrangement, will become effective, and be binding on the Purchaser, the Corporation, all Shareholders (including Dissenting Holders), all holders of Incentive Securities and Warrants, the registrar and transfer agent of the Corporation, the Depositary and all other Persons at and after the Effective Time, without any further act or formality required on the part of any Person, except as expressly provided in this Plan of Arrangement.

Section 2.4 Filing of Articles of Arrangement

The Articles of Arrangement shall be filed with the Registrar with the purpose and intent that none of the provisions of this Plan of Arrangement shall become effective unless all of the provisions of this Plan of Arrangement shall have become effective in the sequence provided herein. The Certificate of Arrangement shall be conclusive proof that the Arrangement has become effective and that each of the events or transactions set forth in Section 2.5 have become effective in the sequence and, as applicable, at the time set out therein.

Section 2.5 Arrangement

Pursuant to the Arrangement, each of the following events shall occur and shall be deemed to occur sequentially as set out below without any further authorization, act or formality, in each case, unless stated otherwise, effective at one-minute intervals starting at the Effective Time:

 

(1)

In accordance with and subject to this Plan of Arrangement and the Corporation Surrender Agreements and notwithstanding anything contrary in the Incentive Compensation Plans, Warrant certificate or any applicable grant

 

C-6


Table of Contents
 

letter, employment Contract or any resolution or determination of the Board (or any committee thereof), at the Effective Time, the Incentive Securities and Warrants identified below shall be treated as follows:

 

  (a)

each Option held by an Option holder will cease to represent an option or other right to acquire Shares and shall be surrendered to the Corporation and exchanged for an amount in cash, payable by the Corporation, equal to the Consideration less the applicable exercise price in respect of such Option (for greater certainty, where such amount is zero or negative, neither the Corporation nor the Purchaser shall be obligated to pay the holder of such Option any amount in respect of such Option), less any applicable withholdings pursuant to Section 4.3;

 

  (b)

each RSU held by a RSU holder will cease to represent a share unit of the Corporation and shall be surrendered to the Corporation and exchanged for an amount in cash, payable by the Corporation, equal to the Consideration, less any applicable withholdings pursuant to Section 4.3;

 

  (c)

each Warrant held by a Warrant holder other than Warrants held by Armistice Capital Master Fund Ltd. (the “Armistice Warrants”) will cease to represent a common share purchase warrant of the Corporation and shall be surrendered to the Corporation and exchanged for an amount in cash, payable by the Corporation, equal to the Consideration, less the exercise price per Share of such Warrant (for greater certainty, where such amount is zero or negative, neither the Corporation nor the Purchaser shall be obligated to pay the holder of such Warrant any amount in respect of such Warrant), less any applicable withholdings pursuant to Section 4.3; and

 

  (d)

each Armistice Warrant will cease to represent a common share purchase warrant of the Corporation, and shall be deemed to be surrendered and exchanged for an amount in cash, payable by the Corporation, equal to the Black Scholes Amount, less any applicable withholding pursuant to Section 4.3;

 

(2)

each outstanding Share held by a Dissenting Holder in respect of which Dissent Rights have been validly exercised shall be deemed to have been transferred without any further action by or on behalf of the holder thereof to the Purchaser, and:

 

  (a)

such Dissenting Holder shall cease to be the holder of such Share and to have any rights as a Shareholder, other than the right to be paid the fair value of its Shares by the Purchaser in accordance with Section 3.1 less any applicable withholdings pursuant to Section 4.3;

 

C-7


Table of Contents
  (b)

such Dissenting Holder’s name shall be removed from the register of holders of Shares maintained by or on behalf of the Corporation; and

 

  (c)

the Purchaser shall be recorded in the register of holders of Shares maintained by or on behalf of the Corporation as the holder of the Shares so transferred, and shall be deemed to be the legal and beneficial owner thereof;

 

(3)

concurrently with section (2) above, each outstanding Share (other than (i) Shares held by any Dissenting Holder who has validly exercised such holder’s Dissent Rights and (ii) Shares owned or beneficially controlled by the Purchaser or any of its affiliates) shall be transferred without any further action by or on behalf of the holder thereof, to the Purchaser in exchange for the Consideration, less any applicable withholdings pursuant to Section 4.3, and:

 

  (a)

the holder of each such Share shall cease to be the holder thereof and to have any rights as a Shareholder other than the right to receive the Consideration in accordance with this Plan of Arrangement;

 

  (b)

a portion of the amount held by the Depositary as agent for and on behalf of the Purchaser, equal to the aggregate Consideration payable in respect of such outstanding Shares, shall thereupon be held by the Depositary as agent for and on behalf of the former holders of such Shares, to be paid to such holders following the completion of the Plan of Arrangement in accordance with Section 4.1;

 

  (c)

such holder’s name shall be removed from the register of holders of Shares maintained by or on behalf of the Corporation; and

 

  (d)

the Purchaser shall be recorded in the register of holders of Shares maintained by or on behalf of the Corporation as the holder of the Shares so transferred, and shall be deemed to be the legal and beneficial owner thereof,

following the payments or actions in Section 2.5(1), all Incentive Securities and Warrants, whether vested or unvested, outstanding on the Effective Date shall be deemed cancelled, surrendered and cancelled and (i) each holder of Options, RSUs or Warrants shall cease to be a holder of such Options, RSUs or Warrants, (ii) such holder’s name shall be removed from each applicable register, (iii) the Incentive Compensation Plans and all agreements relating to the Options, RSUs and Warrants shall be terminated and shall be of no further force and effect, and (iv) such holder shall thereafter have only the right to receive the consideration to which they are entitled pursuant to Section 2.5(1)(a), Section 2.5(1)(b)and Section 2.5(1)(c) at the time and in the manner specified in Section 2.5(1)(a), Section 2.5(1)(b) and Section 2.5(1)(c).

 

C-8


Table of Contents

ARTICLE 3

DISSENT RIGHTS

Section 3.1 Dissent Rights

 

(1)

Registered holders of Shares may exercise dissent rights (“Dissent Rights”) in connection with the Arrangement pursuant to and in the manner set forth in Section 191 of the ABCA, as modified by the Interim Order, the Final Order and this Section 3.1, provided that, notwithstanding Subsection 191(5) of the ABCA, the written objection to the Arrangement Resolution referred to in Subsection 191(5) of the ABCA must be received by Corporation at its registered office no later than 10:00 a.m. (local time in place of receipt) two (2) Business Days immediately preceding the date of the Meeting (as it may be adjourned or postponed from time to time).

 

(2)

Each Dissenting Holder who duly exercises Dissent Rights shall be deemed to have transferred the Shares held by such holder to the Purchaser, as provided in Section 2.5(2), and if such holder:

 

  (a)

is ultimately entitled to be paid fair value for such Shares, shall be entitled to be paid the fair value of such Shares by the Purchaser, less any applicable withholdings, which fair value, notwithstanding anything to the contrary in Part XV of the ABCA, shall be determined as of the close of business on the day before the Arrangement Resolution was adopted and will not be entitled to any other payment or consideration, including any payment that would be payable under the Arrangement had such holders not exercised their Dissent Rights in respect of such Shares; or

 

  (b)

is ultimately not entitled, for any reason, to be paid the fair value for such Shares, shall be deemed to have participated in the Arrangement on the same basis as Shareholders who have not exercised Dissent Rights in respect of such Shares and shall be entitled to receive the Consideration to which Shareholders who have not exercised Dissent Rights are entitled under Section 2.5(2) hereof, less any applicable withholdings.

Section 3.2 Recognition of Dissenting Holders

 

(1)

In no case shall the Corporation, the Purchaser or any other Person be required to recognize a Person exercising Dissent Rights unless such Person is the registered holder of those Shares in respect of which such rights are sought to be exercised.

 

(2)

In no case shall the Corporation, the Purchaser or any other Person be required to recognize any holder of Shares who exercises Dissent Rights as a holder of such Shares after the Effective Time.

 

C-9


Table of Contents
(3)

Shareholders who withdraw, or are deemed to withdraw, their right to exercise Dissent Rights shall be deemed to have participated in the Arrangement, as of the Effective Time, and shall be entitled to receive the Consideration to which Shareholders who have not exercised Dissent Rights are entitled under Section 3.1 hereof, less any applicable withholdings.

 

(4)

In addition to any other restrictions under Section 191 of the ABCA, none of the following shall be entitled to exercise Dissent Rights: (a) holders of Incentive Securities (in their capacity as holders of Incentive Securities), (b) holders of Warrants (in their capacity as holders of Warrants) and (c) Shareholders who vote or have instructed a proxyholder to vote Shares in favour of the Arrangement Resolution.

ARTICLE 4

CERTIFICATES AND PAYMENTS

Section 4.1 Delivery of Consideration

 

(1)

No later than one Business Day prior to the filing of the Articles of Arrangement, the Purchaser shall deposit, or arrange to be deposited, for the benefit of Shareholders (other than the Dissenting Holders and the Purchaser or its affiliates), cash with the Depositary in the aggregate amount as is required by this Plan of Arrangement, with the cash amount per Share in respect of which Dissent Rights have been exercised being deemed to be the Consideration for this purpose, less any amounts withheld pursuant to Section 4.3, for the benefit of the Shareholders.

 

(2)

Upon surrender to the Depositary of a direct registration statement (DRS) advice (a “DRS Advice”) or a certificate which immediately prior to the Effective Time represented outstanding Shares that were transferred pursuant to Section 2.5(3), together with a duly completed and executed Letter of Transmittal and such additional documents and instruments as the Depositary may reasonably require, the Shareholders represented by such surrendered DRS Advice or certificate shall, upon the effectiveness of Section 2.5(3), be entitled to receive in exchange therefor, and the Depositary shall deliver to such holder, the cash payment which such holder has the right to receive under this Plan of Arrangement for such Shares, without interest, less any amounts withheld pursuant to Section 4.3, and any DRS Advice or certificate so surrendered shall forthwith be cancelled.

 

(3)

As soon as practicable after the Effective Time, the Purchaser shall cause the Corporation, to deliver to each former holder of Incentive Securities and Warrants (in accordance with Section 2.5(1)), the cash payment, if any, less any amounts withheld pursuant to Section 4.3, that such holder is entitled to

 

C-10


Table of Contents
 

receive under this Plan of Arrangement, either (i) pursuant to the normal payroll practices and procedures of the Corporation, or (ii) in the event that payment pursuant to the normal payroll practices and procedures of the Corporation is not practicable for any such holder, by cheque (delivered to the address of such holder of Incentive Securities and Warrants, as reflected on the register maintained by or on behalf of the Corporation in respect of the Options, RSUs and Warrants, as applicable). Notwithstanding that amounts under this Plan of Arrangement may be calculated in Canadian dollars, the Corporation is entitled to make the payments contemplated in this Section 4.1(3) in the applicable currency in respect of which the Corporation customarily makes payment to such holder by using the most recent daily exchange rate published by the Bank of Canada on the date that is one (1) Business Day immediately preceding the Effective Date.

 

(4)

Until surrendered as contemplated by this Section 4.1, each DRS Advice or certificate that immediately prior to the Effective Time represented Shares shall be deemed after the Effective Time to represent only the right to receive upon such surrender the cash payment which the holder is entitled to receive in lieu of such DRS Advice or certificate as contemplated in this Section 4.1, less any amounts withheld pursuant to Section 4.3. Any such DRS Advice or certificate formerly representing Shares not duly surrendered on or before the sixth (6th) anniversary of the Effective Date shall cease to represent a claim by or interest of any former holder of Shares of any kind or nature against or in the Corporation or the Purchaser. On such date, all cash payments to which such former holder was entitled shall be deemed to have been surrendered to the Purchaser, and shall be paid over by the Depositary to the Purchaser or as directed by the Purchaser.

 

(5)

Any payment made by the Depositary (or the Corporation or any of its Subsidiaries, if applicable) in accordance with this Plan of Arrangement that has not been deposited or has been returned to the Depositary (or the Corporation) or that otherwise remains unclaimed, in each case, on or before the sixth (6th) anniversary of the Effective Time, and any right or claim to payment hereunder that remains outstanding on the sixth (6th) anniversary of the Effective Time shall cease to represent a right or claim of any kind or nature and the right of the holder to receive the applicable consideration for the Shares, Incentive Securities and Warrants in accordance with this Plan of Arrangement shall terminate and be deemed to be surrendered and forfeited to the Purchaser or the Corporation, as applicable, for no consideration.

 

(6)

No holder of Shares, Incentive Securities or Warrants shall be entitled (following the completion of the Plan of Arrangement) to receive any consideration with respect to such Shares, Incentive Securities and Warrants other than the applicable consideration which such holder is entitled to receive in accordance with Section 2.5 and this Section 4.1 and, for greater certainty,

 

C-11


Table of Contents
 

no such holder shall be entitled to receive any interest, dividends, premium or other payment in connection therewith, other than, in respect of Shares, any declared but unpaid dividends with a record date prior to the Effective Date. No dividend or other distribution declared or made after the Effective Time with respect to any securities of the Corporation with a record date on or after the Effective Date shall be delivered to the holder of any unsurrendered certificate which, immediately prior to the Effective Date, represented outstanding Shares.

Section 4.2 Lost Certificates

In the event any certificate which immediately prior to the Effective Time represented one or more outstanding Shares that were transferred pursuant to Section 2.5 shall have been lost, stolen or destroyed, upon the making of an affidavit of that fact by the Person claiming such certificate to be lost, stolen or destroyed and who was listed immediately prior to the Effective Time as the registered holder thereof on the register of holders of Shares maintained by or on behalf of the Corporation, the Depositary shall deliver in exchange for such lost, stolen or destroyed certificate, the cash payment which such holder is entitled to receive for such Shares under this Plan of Arrangement in accordance with such holder’s Letter of Transmittal. When authorizing such payment in exchange for any lost, stolen or destroyed certificate, the Person to whom such payment is to be delivered shall, as a condition precedent to the delivery of such payment, give a bond satisfactory to the Purchaser and the Depositary (each acting reasonably) in such amount as the Purchaser may direct, or otherwise indemnify the Corporation, the Depositary and the Purchaser in a manner satisfactory to the Corporation, the Depositary and the Purchaser (each acting reasonably), against any claim that may be made against the Corporation, the Depositary or the Purchaser with respect to the certificate alleged to have been lost, stolen or destroyed.

Section 4.3 Withholding Rights

Each of the Purchaser, the Corporation, any of the Subsidiaries of the Corporation and the Depositary shall be entitled to deduct and withhold from any amount payable or property deliverable to any Person under this Plan of Arrangement, such amounts as the Corporation, the Purchaser, a Subsidiary or the Depositary is directed to deduct and withhold or is required or permitted to be deducted and withheld with respect to such payment under the Tax Act or the provisions of any other applicable tax Law, and shall remit such deducted and withheld amounts to the appropriate Governmental Entity. If the Purchaser (or its affiliate or agent) expects to withhold or deduct from any amount payable or deliverable under this Plan of Arrangement or the Arrangement Agreement, the Purchaser shall use commercially reasonable efforts to provide notice thereof in writing to the Corporation and the Depositary reasonably promptly after the Purchaser becomes aware of such expectation, and the Purchaser and the Corporation any shall reasonably cooperate in good faith to minimize the

 

C-12


Table of Contents

amount of such withholding or deduction to the extent permitted by applicable Laws. To the extent that any amounts are so deducted or withheld, such deducted or withheld amounts shall be treated for all purposes hereof as having been paid to the Person in respect of which such deduction or withholding was made, provided that such amounts are actually remitted to the appropriate Governmental Entity in accordance with applicable Laws.

Section 4.4 Calculations

All aggregate amounts of cash consideration to be received under this Plan of Arrangement will be calculated to the nearest cent ($0.01). All calculations and determinations made in good faith by the Corporation, the Purchaser or the Depositary, as applicable, for the purposes of this Plan of Arrangement shall be conclusive, final and binding.

Section 4.5 No Liens

Any exchange or transfer of securities, deemed or otherwise, in accordance with this Plan of Arrangement shall be free and clear of any Liens or other claims of third parties of any kind.

Section 4.6 Paramountcy

From and after the Effective Time: (a) this Plan of Arrangement shall take precedence and priority over any and all Shares, Warrants and Incentive Securities issued or outstanding prior to the Effective Time, (b) the rights and obligations of the Securityholders, the Corporation, the Purchaser, the Depositary, and any registrar or transfer agent or other depositary therefor in relation thereto, shall be solely as provided for in this Plan of Arrangement, and (c) all actions, causes of action, claims or proceedings (actual or contingent and whether or not previously asserted) based on or in any way relating to any Shares, Warrants or Incentive Securities shall be deemed to have been settled, compromised, released and determined without liability except as set forth in this Plan of Arrangement.

ARTICLE 5

AMENDMENTS

Section 5.1 Amendments

 

(1)

The Corporation and the Purchaser may amend, modify and/or supplement this Plan of Arrangement at any time and from time to time prior to the Effective Time, provided that each such amendment, modification and/or supplement must (a) be set out in writing, (b) be approved by the Corporation and the Purchaser, each acting reasonably, (c) be filed with the Court and, if made following the Meeting, approved by the Court, and (d) be communicated to the

 

C-13


Table of Contents
 

Securityholders if, when and in the manner required by the Court (if so required).

 

(2)

Notwithstanding Section 5.1(1), the Purchaser may unilaterally amend, modify and/or supplement this Plan of Arrangement at any time and from time to time without the approval of the Court or the Securityholders, provided that each such amendment, modification and/or supplement (a) must concern a matter which, in the reasonable opinion of the Purchaser, is of an administrative nature required to better give effect to the implementation of this Plan of Arrangement, and (b) is not adverse to the economic interests of any Securityholders.

 

(3)

Subject to Section 5.1(2), any amendment, modification and/or supplement to this Plan of Arrangement may be proposed by the Corporation or the Purchaser at any time prior to or at the Meeting (provided that the other Parties shall have consented thereto in writing) with or without any other prior notice or communication to the Shareholders, and if so proposed and accepted by the Persons voting at the Meeting (other than as may be required under the Interim Order), shall become part of this Plan of Arrangement for all purposes.

 

(4)

Subject to Section 5.1(2), the Corporation and the Purchaser may amend, modify and/or supplement this Plan of Arrangement at any time and from time to time after the Meeting and prior to the Effective Time with the approval of the Court, and, if and as required by the Court, after communication to the Shareholders or after it is consented to by the Shareholders in the manner directed by the Court.

Section 5.2 Termination

This Plan of Arrangement may be withdrawn prior to the Effective Time in accordance with the terms of the Arrangement Agreement.

ARTICLE 6

FURTHER ASSURANCES

Section 6.1 Further Assurances

Notwithstanding that the transactions and events set out in this Plan of Arrangement shall occur and shall be deemed to occur in the order set out in this Plan of Arrangement without any further act or formality, each of the Parties shall make, do and execute, or cause to be made, done and executed, all such further acts, deeds, agreements, transfers, assurances, instruments or documents as may reasonably be required by either of them in order to further document or evidence any of the transactions or events set out in this Plan of Arrangement.

 

C-14


Table of Contents

APPENDIX D – ARRANGEMENT RESOLUTION

BE IT RESOLVED THAT:

 

(1)

The arrangement (the “Arrangement”) under Section 193 of the Business Corporations Act (Alberta) (the “ABCA”) of Aptose Biosciences Inc. (the “Corporation”), pursuant to the arrangement agreement (as it may from time to time be amended, modified or supplemented, the “Arrangement Agreement”) among the Corporation, Hanmi Pharmaceutical Co. Ltd. and HS North America Ltd. dated November 18, 2025, all as more particularly described and set forth in the proxy statement of the Corporation (the “Proxy Statement”) accompanying the notice of meeting and as it may from time to time be amended, modified or supplemented in accordance with the Arrangement Agreement, is hereby authorized, approved and adopted.

 

(2)

The plan of arrangement (as it has been or may be amended, modified or supplemented in accordance with the Arrangement Agreement and its terms, the “Plan of Arrangement”), the full text of which is set out as an Appendix to the Proxy Statement, is hereby authorized, approved and adopted.

 

(3)

The (i) Arrangement Agreement and all transactions contemplated therein, (ii) actions of the directors of the Corporation in approving the Arrangement Agreement, and (iii) actions of the directors and officers of the Corporation in executing and delivering the Arrangement Agreement, and any amendments, modifications or supplements thereto, as well as the Corporation’s application for an interim order from the Court of King’s Bench of Alberta (the “Court”), are hereby ratified and approved.

 

(4)

The Corporation is hereby authorized to apply for a final order from the Court to approve the Arrangement on the terms set forth in the Arrangement Agreement and the Plan of Arrangement.

 

(5)

Notwithstanding that this resolution has been passed (and the Arrangement adopted) by the shareholders of the Corporation or that the Arrangement has been approved by the Court, the directors of the Corporation are hereby authorized and empowered, at their discretion, without notice to or approval of the shareholders of the Corporation, (i) to amend, modify or supplement the Arrangement Agreement or the Plan of Arrangement to the extent permitted thereby, and (ii) subject to the terms of the Arrangement Agreement, not to proceed with the Arrangement and any related transactions.

 

(6)

Any director or officer of the Corporation is hereby authorized and directed for and on behalf of the Corporation, to execute and deliver for filing with the Registrar under the ABCA articles of arrangement and to deliver or file all such other documents and instruments as are necessary or desirable to give effect to the Arrangement in accordance with the Arrangement Agreement, such determination to be conclusively evidenced by the execution and delivery of such articles of arrangement or any such other document or instrument.

Any director or officer of the Corporation is hereby authorized and directed for and on behalf of the Corporation to execute and deliver or cause to be executed and delivered, all such other documents and instruments and to perform or cause to be performed all such other acts and things as such person determines may be necessary or desirable to give full force and effect to the foregoing resolutions and the matters authorized thereby, such determination to be conclusively evidenced by the execution and delivery of such other document or instrument or the doing of any other such act or thing.

 

D-1


Table of Contents

APPENDIX E – FORMAL VALUATION AND OPINION OF LOCUST WALK SECURITIES, LLC

FORMAL VALUATION AND FAIRNESS OPINION

 

 

Locust Walk Partners, LLC

November 18, 2025

Aptose Biosciences Inc.

251 Consumers Road, Suite 1105

Toronto, ON M2J 4R3, Canada

To the Special Committee of the Board of Directors of Aptose Biosciences Inc.:

Locust Walk Partners, LLC (“Locust Walk”) understands that Aptose Biosciences Inc. (“Aptose” or the “Company”) is contemplating entering into a definitive arrangement agreement (the “Arrangement Agreement”) pursuant to which Hanmi Pharmaceutical Co. Ltd. (“Hanmi” or the “Parent”), through HS North America Ltd. (the “Purchaser”), will acquire all of the issued and outstanding common shares of Aptose (the “Shares”) not already owned by Hanmi, the Purchaser, or their respective affiliates and associates (the “Arrangement”). The consideration payable under the Arrangement is CAD $2.41 in cash per share (the “Consideration”). The above description is summary in nature. The specific terms and conditions of the Arrangement are set forth in the Arrangement Agreement and will be further described in a circular (the “Circular”) that will be mailed to the holders of the Shares (the “Shareholders”) in connection with the Arrangement.

Locust Walk further understands that a Special Committee of independent members of the Board of Directors of Aptose (the “Special Committee”) was constituted to supervise the preparation of a formal valuation required by Multilateral Instrument 61-101 – Protection of Minority Security Holders in Special Transactions (“MI 61-101”) and to make a recommendation regarding the Arrangement to the Board of Directors of Aptose. The Special Committee has retained Locust Walk to prepare and deliver to the Special Committee: (i) a formal valuation (the “Valuation”) of the Shares in accordance with the requirements of MI 61-101; and (ii) an opinion (the “Fairness Opinion” and together with the Valuation, the “Formal Valuation and Fairness Opinion”) as to the fairness, from a financial point of view, of the Consideration to be received by the Shareholders, other than the Parent, the Purchaser, or any of their respective affiliates and associates (collectively, the “Public Shareholders”), pursuant to the Arrangement.

All financial references in this letter are to United States dollars unless otherwise indicated.

ENGAGEMENT OF LOCUST WALK

Locust Walk Partners, LLC (or through its affiliate Locust Walk Securities, LLC; collectively, “Locust Walk”) was initially engaged as a financial advisor to the Company pursuant to an engagement letter dated January 23, 2024 (the “Engagement Letter”). The services to be provided by Locust Walk are set out in individual statements of work which form part of and are subject to the terms and conditions of

 

E-1


Table of Contents

the Engagement Letter. Locust Walk and Aptose entered into statement of work #1 (“SOW #1”) on January 23, 2024, as further amended in July 2025 and October 2025, in respect of the provision of general financial advisory services and the delivery of the Fairness Opinion. Locust Walk and Aptose entered into statement of work #2 (“SOW #2”) on July 2, 2025, in respect of the preparation of an initial valuation. On November 13, 2025, Locust Walk was approached by the Special Committee in respect of the preparation of the Valuation and on November 18th, 2025 Locust Walk and the Special Committee entered into statement of work #3 (“SOW #3”) in respect of the preparation and delivery of the Valuation. On November 18, 2025, at the request of the Special Committee, Locust Walk orally delivered the Formal Valuation and Fairness Opinion. This Formal Valuation and Fairness Opinion provide the same conclusions and opinions, in writing, as of November 18, 2025.

The terms of the Engagement Letter (including SOW #1, SOW #2 and SOW #3) provide that Locust Walk will receive fees for its services provided prior to and as of November 18, 2025, and may receive additional fees for the continuation of its financial advisory services provided to the Company and Special Committee in connection with the Engagement Letter (none of which additional fees are contingent, either in whole or in part, on the outcome of the Arrangement). Locust Walk is to be reimbursed for reasonable out-of-pocket expenses.

Furthermore, Aptose has agreed to indemnify Locust Walk in certain circumstances against certain expenses, losses, claims, actions, suits, proceedings, investigations, damages and liabilities that may arise directly or indirectly from services performed by Locust Walk in connection with the Engagement Letter. The fees payable to Locust Walk under the Engagement Letter are not contingent, either in whole or in part, upon the conclusions reached by Locust Walk in the Formal Valuation and Fairness Opinion or on the outcome of the Arrangement. Subject to the terms of the Engagement Letter, Locust Walk consents to the inclusion of the Formal Valuation and Fairness Opinion in the Circular, along with a summary thereof, in a form acceptable to Locust Walk, and to the filing thereof with the applicable Canadian and U.S. securities regulatory authorities.

CREDENTIALS OF LOCUST WALK

Locust Walk is a global investment banking firm with operations in a broad range of investment banking activities, including corporate finance, mergers and acquisitions, licensing, strategic advisory, and capital raising for life sciences companies. Locust Walk has participated in a significant number of transactions involving public and private companies and has extensive experience in preparing valuations and fairness opinions. The Special Committee determined that Locust Walk was a qualified valuator and selected it based on its qualifications, expertise, and reputation.

The Formal Valuation and Fairness Opinion is the opinion of Locust Walk and its form and content have been approved by a committee of senior investment banking professionals of Locust Walk, each of whom is experienced in merger, acquisition, valuation and fairness opinion matters.

INDEPENDENCE OF LOCUST WALK

Neither Locust Walk nor any of its affiliated entities (as such term is defined for the purposes of MI 61-101) (i) is an associated entity or affiliated entity or issuer insider (as such terms are defined in MI 61-101) of Aptose, Hanmi, the Purchaser or any of their respective associated entities or affiliated

 

E-2


Table of Contents

entities or issuer insiders (each an “Interested Party,” and collectively, the “Interested Parties”); (ii) is an advisor to any of the Interested Parties in connection with the Arrangement other than to the Company and the Special Committee pursuant to the Engagement Letter; (iii) is a manager or co-manager of a soliciting dealer group for the Arrangement (or a member of the soliciting dealer group for the Arrangement providing services beyond the customary soliciting dealer’s functions or receiving more than the per security or per security holder fees payable to the other members of the group); or (iv) has a material financial interest in the completion of the Arrangement.

During the 24 months preceding the date on which Locust Walk was first contacted in respect of each of the Fairness Opinion and Valuation, in accordance with SOW #1 and SOW #3 respectively, and up until the date of the Formal Valuation and Fairness Opinion, Locust Walk and its affiliated entities have provided ordinary course financial advisory and investment banking services to Aptose and its affiliates. On July 21, 2025, Locust Walk delivered to Aptose an independent valuation assessment in accordance with SOW #2 (the “Prior Valuation”).

In connection with the foregoing activities Locust Walk received fees which are not, individually or in the aggregate, financially material to Locust Walk, and do not give Locust Walk any financial incentive in respect of the conclusions reached in the Formal Valuation and Fairness Opinion. Other than a fixed monthly fee payable to Locust Walk pursuant to SOW #1 until the end of the term of the Engagement Letter and which additional fees are not contingent, either in whole or in part, on the outcome of the Arrangement, there are no separate understandings or agreements between Locust Walk and the Interested Parties with respect to future financial advisory or investment banking business. Locust Walk and/or its affiliates may in the future, in the ordinary course of its business, perform financial advisory or investment banking services for the Interested Parties.

Locust Walk and its affiliates act as a broker and dealer, both as principal and agent, and, from time to time, may have executed or may execute transactions on behalf of any Interested Party for which it may have received or may receive compensation.

SCOPE OF REVIEW

In connection with the preparation of this Formal Valuation and Fairness Opinion, Locust Walk has reviewed and relied upon (without attempting to verify independently the completeness, accuracy or reasonableness of) or carried out, among other things, the following:

 

  1.

A draft of the Arrangement Agreement dated November 10, 2025, together with a summary of updates thereto through November 18, 2025, including the draft Plan of Arrangement appended thereto;

  2.

Drafts of the form of support and voting agreements to be entered into by certain shareholders of Aptose;

  3.

Draft debt commitment letters and related financing documents provided by Hanmi and its affiliates;

  4.

Audited financial statements of Aptose and related management’s discussion and analysis for the fiscal years ended December 31, 2022, December 31, 2023, and December 31, 2024;

  5.

Preliminary draft financial information from Aptose management with respect to the nine months ended September 30, 2025;

  6.

Final long form prospectus and other securities regulatory filings of Aptose during each of the fiscal years ended December 31, 2022, December 31, 2023, and December 31, 2024;

 

E-3


Table of Contents
  7.

Projected financial and operational information for Aptose for the fiscal years ending December 31, 2025 through December 31, 2050 prepared by Aptose management in October and November 2025 (the “Management Forecast”);

  8.

Discussions with the Chief Executive Officer, Chief Financial Officer, and other senior management of Aptose with respect to the information referred to above and other matters considered relevant by Locust Walk;

  9.

Discussions with members of the Special Committee with respect to the matters noted above and other matters considered relevant by Locust Walk;

  10.

Discussions with and information received from legal and financial advisors to Aptose and Hanmi regarding the process, the Arrangement, and the Company, in each case on behalf of Aptose;

  11.

Discussions with select participants of the targeted market check to solicit additional indications of interest to acquire Aptose or license tuspetinib, conducted at the instruction of the Board of Directors of Aptose;

  12.

Discussions with legal advisors to the Company with respect to various legal matters relating to Aptose, the Arrangement, and other matters considered relevant by Locust Walk;

  13.

Various research publications prepared by industry and equity research analysts regarding Aptose and other selected public entities considered relevant;

  14.

Public information relating to the business, operations, financial performance, and security trading history of Aptose and other selected public entities considered relevant;

  15.

Public information with respect to certain other transactions of a comparable nature considered relevant;

 

  16.

Representations contained in a certificate dated November 18, 2025 from the Company’s Chief Executive Officer and Chief Financial Officer (the “Certificate”); and

  17.

Such other corporate, industry, and financial market information, investigations, and analyses as Locust Walk considered necessary or appropriate in the circumstances.

As of November 18, 2025, the date of this Formal Valuation and Fairness Opinion, Locust Walk had not reviewed any draft of the Circular as no such draft was available on such date. Locust Walk did not meet with the auditors of Aptose and has assumed the accuracy and completeness of, and has relied upon, without independent verification, the financial statements of Aptose.

PRIOR VALUATIONS

The Chief Executive Officer and the Chief Financial Officer, on behalf of Aptose and not in their personal capacities, have represented that, to the best of their knowledge, information and belief after due inquiry, there have been no valuations or appraisals relating to Aptose or any affiliate or any of their respective material assets or material liabilities made in the preceding 24 months and in the possession or control of Aptose, other than the Prior Valuation.

As noted, Locust Walk prepared and delivered the Prior Valuation to the Company on July 21, 2025. The Prior Valuation was drafted on an equity value basis and provided a range of fair market value of Aptose of $2.4M to $18.0M. Locust Walk compared the equity value of Aptose in the Prior Valuation, after standard adjustments to convert the equity value range to a per Share range, with the fair market value of the Shares determined by the Valuation, as discussed in the Prior Valuation section under the Valuation Conclusion below.

 

E-4


Table of Contents

ASSUMPTIONS AND LIMITATIONS

With Aptose’s acknowledgement and agreement as provided for in the Engagement Letter, Locust Walk has relied upon the accuracy and completeness of all financial and other data and information filed by Aptose with securities regulatory or similar authorities (including under Aptose’s profiles on the System for Electronic Document Analysis and Retrieval (“SEDAR+”) at www.sedarplus.ca and on the Electronic Data Gathering, Analysis, and Retrieval system (“EDGAR”) at www.sec.gov), provided to it by or on behalf of Aptose, its representatives or its affiliates, or otherwise obtained by or discussed with Locust Walk, including the Certificate (collectively, the “Information”). The Formal Valuation and Fairness Opinion is conditional upon such accuracy and completeness, in all material respects, of the Information. Subject to the exercise of professional judgment, and except as expressly described herein, Locust Walk has not attempted to verify independently the accuracy or completeness of any of the Information.

With respect to the budgets, forecasts, projections or estimates, including the Management Forecast, provided to Locust Walk and used in its analyses, Locust Walk notes that projecting future results is inherently subject to uncertainty. Locust Walk has been advised by Aptose, and has assumed with the consent of the Special Committee, however, that such budgets, forecasts, projections and estimates provided to Locust Walk and used in its analyses were prepared using the assumptions which Locust Walk has been advised are (or were at the time of preparation and continue to be), in the reasonable opinion of Aptose, reasonable in the circumstances, and with respect to the Management Forecast, reflect Aptose management’s best currently available estimates and good faith judgments as to the future financial performance of Aptose. Locust Walk expresses no independent view as to the reasonableness of such budgets, forecasts, projections and estimates, including the Management Forecast, or the assumptions on which they are based.

The Chief Executive Officer and the Chief Financial Officer of Aptose (collectively, “Aptose Management”), on behalf of Aptose and not in their personal capacities, have made representations to Locust Walk in the Certificate, and the Formal Valuation and Fairness Opinion is conditional on the accuracy and completeness of these representations, which Locust Walk has assumed will continue to be accurate and complete as of the date of the Formal Valuation and Fairness Opinion. Such representations in the Certificate include, among other things, that to the best of the knowledge, information and belief after due inquiry of the signatories to the Certificate; (i) with the exception of forecasts, projections or estimates referred to in subparagraph (ix) below, the Information is true and correct in all material respects and did not contain any untrue statement of a material fact nor any misrepresentation (as such term is defined in the Securities Act (Ontario) (the “Act”)), or omit to state a material fact that would be material to a financial advisor, as of the date of the Information; (ii) to the extent that any of the Information identified in subparagraph (i) above is historical, except as publicly disclosed on SEDAR+, there has been no material change, financial or otherwise, in the Company or any of its subsidiaries (as such term is defined in the Act) or in their respective assets, liabilities (contingent or otherwise), business, financial condition or operations and there has been no change in any material fact which is of a nature as to render the Information untrue or misleading in any material respect, except to the extent disclosed in subsequent Information; (iii) since the dates on which the Information was provided to Locust Walk, there has been no material change, financial or otherwise, in the financial condition, assets, liabilities (contingent or otherwise), business, operations or prospects of the Company or any of its subsidiaries (and no material change has occurred in the Information or any part thereof); (iv) other than the Prior Valuation, there are no independent appraisals or valuations or material non-independent appraisals, valuations or material expert reports relating to the Company, its

 

E-5


Table of Contents

securities, or any of its subsidiaries or any of its respective material assets or liabilities within their possession or control or knowledge that have been prepared as of a date within the two years preceding the date hereof; (v) since the dates on which the Information was provided to Locust Walk, no material transaction has been entered into by the Company or any of its subsidiaries, and, except for the Arrangement, the Company has no plans and is not aware of any circumstances or developments that could reasonably be expected to have a material effect on the financial condition, assets, liabilities (contingent or otherwise), business or operations of the Company or any of its subsidiaries or that would constitute a “material change” (as such term is defined in the Act); (vi) Aptose Management has no knowledge of any facts or circumstances, public or otherwise, not contained in or referred to in the Information that could reasonably be expected to affect the Fairness Opinion or the Valuation, including the assumptions used, procedures adopted, the scope of the review undertaken or the conclusions reached; (vii) other than as disclosed in the Information or as publicly disclosed, none of the Company or its subsidiaries has any material contingent liabilities (on a consolidated or non-consolidated basis) and there are no material actions, suits, proceedings or inquiries pending or threatened against or affecting the Company or any of its subsidiaries, at law or in equity or before or by any federal, provincial, municipal or other governmental department, commission, bureau, board, agency or instrumentality which may in any way materially affect the Company and its subsidiaries, taken as a whole; (viii) all financial material, documentation and other data concerning the Company, its subsidiaries and the Arrangement, including any strategic plans, financial forecasts, projections, models, estimates or guidance around such provided to Locust Walk, were prepared on a basis consistent in all material respects with the accounting policies of the Company applied in the audited consolidated financial statements of the Company; (ix) with respect to any portions of the Information that constitute current budgets, strategic plans, financial forecasts, projections, models, estimates or guidance around such, such portions of the Information: (a) were reasonably prepared on bases reflecting the best currently available estimates and judgment of the Company; (b) were prepared using the assumptions identified therein, which in the reasonable belief of Aptose Management are (or were at the time of preparation) reasonable in the circumstances; and (c) are not, in the reasonable belief of Aptose Management, misleading in any material respect in light of the assumptions used or in light of any developments since the time of their preparation; (x) no verbal or written offers for, at any one time, all or a material part of the properties and assets owned by, or the securities of, the Company, or any of its subsidiaries, have been received or made and no negotiations have occurred relating to any such offer within the two years preceding the date hereof that have not been disclosed to Locust Walk; (xi) there are no material agreements, undertakings, commitments or understandings (written or oral, formal or informal) relating to the Arrangement, except as have been disclosed in writing to Locust Walk; and (xii) the Company’s public disclosure documents are true and correct in all material respects as at the date they were filed and do not contain any misrepresentation and such disclosure documents comply in all material respects with all requirements under applicable laws and that the Company has filed on a timely basis with the applicable securities regulatory authorities all documents required to be filed by the Company and that the Company has not filed any confidential material change report which, at the date hereof, remains confidential.

In preparing the Formal Valuation and Fairness Opinion, Locust Walk has made a number of assumptions, including that all final or executed versions of agreements and documents will conform in all material respects to the drafts provided to Locust Walk, that all conditions precedent to the consummation of the Arrangement can and will be satisfied, that all approvals, authorizations, consents, permissions, exemptions or orders of relevant regulatory authorities, courts of law, or third parties required in respect of or in connection with the Arrangement will be obtained in a timely manner, in each case without adverse condition, qualification, modification or waiver, that all steps or

 

E-6


Table of Contents

procedures being followed to implement the Arrangement are valid and effective and comply in all material respects with all applicable laws and regulatory requirements, that all required documents have been or will be distributed to Shareholders in accordance with applicable laws and regulatory requirements, and that the disclosure in such documents is or will be complete and accurate in all material respects and such disclosure complies or will comply in all material respects with the requirements of all applicable laws and regulatory requirements. In its analysis in connection with the preparation of the Formal Valuation and Fairness Opinion, Locust Walk made numerous assumptions with respect to industry performance, general business and economic conditions, and other matters, many of which are beyond the control of Locust Walk, Aptose, Hanmi, and their respective subsidiaries and affiliates or any other party involved in the Arrangement. The Formal Valuation and Fairness Opinion is conditional on all such assumptions being correct.

The Formal Valuation and Fairness Opinion has been provided for the benefit of the Special Committee (in its capacity as such) in connection with and for purposes of its evaluation of the Arrangement and for inclusion in the Circular relating to the Arrangement and is not intended to be, and does not constitute, a recommendation to the Special Committee that Aptose enter into the Arrangement Agreement or approve the Arrangement or that any Shareholder vote in favour of or otherwise take any action in connection with the Arrangement.

The Formal Valuation and Fairness Opinion does not address the relative merits of the Arrangement as compared to other transactions or business strategies that might be available to Aptose, nor does it address the underlying business decision to implement the Arrangement or any other term or aspect of the Arrangement, the Arrangement Agreement or any other agreements entered into or amended in connection with implementing the Arrangement. Locust Walk expresses no opinion with respect to future trading prices of securities of Aptose. In considering the fairness, from a financial point of view, of the Consideration to be received by the Public Shareholders, pursuant to the Arrangement, Locust Walk did not consider the specific circumstances of any particular Shareholder, including with regard to income tax considerations. The Formal Valuation and Fairness Opinion is rendered as of November 18, 2025, on the basis of securities markets, economic and general business and financial conditions prevailing on that date and the condition and prospects, financial and otherwise, of Aptose and its subsidiaries and affiliates as they were reflected in the Information provided to Locust Walk. Any changes therein may affect the Formal Valuation and Fairness Opinion and, although Locust Walk reserves the right to change, withdraw or supplement the Formal Valuation and Fairness Opinion in such event, it disclaims any undertaking or obligation to advise any person of any such change that may come to its attention, or to change, withdraw or supplement the Formal Valuation and Fairness Opinion after such date. Locust Walk has not undertaken an independent evaluation, appraisal or physical inspection of any assets or liabilities (contingent or otherwise) of Aptose or its subsidiaries or affiliates, nor has it been furnished with any such evaluation or appraisal.

Locust Walk is not an expert on, and did not provide advice to the Special Committee regarding, legal, accounting, regulatory or tax matters. Locust Walk has relied upon, without independent verification, the assessment of the Special Committee and its legal, tax and regulatory advisors with respect to legal, tax and regulatory matters.

The preparation of a formal valuation and fairness opinion is a complex process and is not necessarily amenable to partial analysis or summary description. Locust Walk believes that its analyses must be considered as a whole and that selecting portions of the analyses or the factors considered by it,

 

E-7


Table of Contents

without considering all factors and analyses together, could create an incomplete view of the process underlying the Formal Valuation and Fairness Opinion. Accordingly, the Formal Valuation and Fairness Opinion should be read in its entirety.

OVERVIEW OF APTOSE BIOSCIENCES INC.

Aptose is a science-driven, clinical-stage biotechnology company committed to the development and commercialization of precision medicines addressing unmet clinical needs in oncology, with a focus on hematology. The Company’s pipeline is centered on small molecule therapeutics designed to provide single agent efficacy and to enhance the efficacy of other anti-cancer therapies and regimens without overlapping toxicities. Aptose’s executive offices are located in San Diego, California, and its head office is in Toronto, Ontario, Canada.

FINANCIAL OVERVIEW

Selected Financial Information

The following table summarizes certain of Aptose’s consolidated operating results for the fiscal years ended December 31, 2024 and 2023:

 

(in thousands of U.S. dollars, except per share
data)
   2024    2023

Revenue

   $—    $—

Research and development expenses

   $15,103    $36,7651

General and administrative expenses

   $11,154    $15,591

Total expenses

   $26,257    $52,356

Net finance income

   $141    $1,149

Change in fair value of warrants

   $686    $—

Net loss

   $(25,430)    $(51,207)

Basic and diluted loss per common share

   $(36.38)    $(227.43)

Weighted average number of common shares outstanding

   698,980    225,154

Notes: (1) Adds Research and development, related party and Research and development expenses as listed in the 10-K

Source: Aptose 2024 10-K, Consolidated Statements of Loss and Comprehensive Loss

 

 

Balance Sheet

 

E-8


Table of Contents

The following table summarizes Aptose’s consolidated balance sheet as at December 31, 2024 and 2023:

 

(in thousands of U.S. dollars)    2024      2023

Cash and cash equivalents

   $6,152      $9,252

Restricted cash equivalents

   $555      $—

Prepaid expenses

   $2,253      $2,042

Other current assets

   $570      $600

Total current assets

   $9,530      $11,894

Non-current assets

   $597      $1,095

Total assets

   $10,127      $12,989

Total current liabilities

   $4,459      $15,269

Total non-current liabilities

   $10,211      $621

Total liabilities

   $14,670      $15,890

Shareholders’ deficit

   $(4,543)      $(2,901)

Source: Aptose 2024 10-K, Consolidated Statements of Financial Position

 

 

Cash Flow

The following table summarizes Aptose’s consolidated cash flows for the years ended December 31, 2024 and 2023:

 

(in thousands of U.S. dollars)    2024    2023

Net cash used in operating activities

   $(35,977)     $(44,590) 

Net cash provided by financing activities

   $33,414    $6,910

Net cash provided by investing activities

   $18    $9,960

Effect of exchange rate changes

   $—    $2

Decrease in cash, cash equivalents, and restricted cash equivalents

   $(2,545)    $(27,718)

Cash, cash equivalents, and restricted cash equivalents, end of year

   $6,707    $9,252

Source: Aptose 2024 10-K, Consolidated Statements of Cash Flows

 

 

Capital Structure

As of September 14th, 2025, Aptose had:

 

   

2,552,429 Common Shares issued and outstanding

 

   

37,370 Common Shares issuable upon the exercise of outstanding stock options

 

   

1,267,585 Common Shares issuable upon the exercise of outstanding warrants

 

E-9


Table of Contents

DEFINITION OF FAIR MARKET VALUE

For purposes of the Valuation, fair market value is defined as the monetary consideration that, in an open and unrestricted market, a prudent and informed buyer would pay to a prudent and informed seller, each acting at arm’s length with the other and under no compulsion to act. In accordance with MI 61-101, Locust Walk has made no downward adjustment to the fair market value of the Shares to reflect the liquidity of the Shares, the effect of the Arrangement on the Shares, or the fact that the Shares held by the Shareholders, do not form part of a controlling interest.

APPROACH TO VALUE

The Valuation is based upon techniques and assumptions that Locust Walk considers appropriate in the circumstances for the purpose of arriving at an opinion as to the range of the fair market value of the Shares. The fair market value of the Shares was analyzed on a going concern basis and was expressed as an amount per Share.

 

 

VALUATION METHODOLOGIES

In preparing the valuation of the Shares, Locust Walk primarily considered the following methodologies:

 

  1.

Discounted Cash Flow (“DCF”) Analysis

 

  2.

Precedent Transactions Analysis

Each methodology is described below.

 

 

Discounted Cash Flow (“DCF”) Analysis

Locust Walk applied the DCF methodology to Aptose in order to arrive at its conclusion regarding the fair market value of the Shares. The DCF methodology reflects the growth prospects and risks inherent in Aptose’s business by taking into account the amount, timing, and relative certainty of projected free cash flows expected to be generated by the Company. The DCF approach requires that certain assumptions be made regarding, among other things, future free cash flows, discount rates, terminal values, and probability of technical and regulatory success. The possibility that some of the assumptions will prove to be inaccurate is one factor involved in the determination of the discount rates to be used in establishing a range of values.

Locust Walk’s DCF analysis involved discounting Aptose’s projected unlevered, risk-adjusted, after-tax free cash flows from fiscal year (“FY”, ended December 31st) 2025 until FY2050 under the Management Forecast, including terminal values determined as at FY2050, using an appropriate weighted average cost of capital (“WACC”) as the discount rate.

Additionally, Locust Walk conducted a dilution analysis to account for the loan payoffs from the loans that Hanmi has provided, and the equity raise that would be required for Aptose to fund its next set of trials.

 

E-10


Table of Contents

Precedent Transactions Analysis

In addition to the DCF analysis, Locust Walk applied the precedent transactions methodology to Aptose in order to arrive at its conclusion regarding the fair market value of the Shares. Locust Walk identified and reviewed precedent transactions involving North American and global biotechnology companies in two relevant sets: 1. Phase 1 or 2 Solid Tumor or Hematologic Oncology-focused companies and 2. Phase 1 or 2 Therapeutic Area Agnostic Companies that were distressed (Company was concerned about funding operations over the next 12 months based on an explicit press release or in the best judgment of Locust Walk, ).

The precedent transactions analysis considered upfront payments and total deal values for comparable transactions. Locust Walk selected an appropriate range of premiums based on the observed transactions.

VALUATION OF THE SHARES

Discounted Cash Flow Analysis

Management Forecast

Locust Walk was provided with the Management Forecast from Aptose Management. Locust Walk reviewed the assumptions underlying the Management Forecast, including, but not limited to: clinical development plan, regulatory milestones, commercial launch timing, peak sales estimates, operating expenses, capital requirements, and probability of technical and regulatory success at each stage. The Management Forecast incorporated the latest available clinical data, anticipated regulatory timelines, and management’s best estimates for future development and commercialization of tuspetinib. Locust Walk’s review of the Management Forecast was informed by equity research analyst reports, comparisons against select public peers, and other sources viewed as relevant including discussions with Aptose Management. Based upon such review, Locust Walk considered the Management Forecast as reasonable and determined that it was appropriate for use in the DCF analysis.

The following is a summary of the Risk-adjusted income statement used in the DCF analysis for the fiscal years 2025 to 2042+ (all figures in millions of U.S. dollars):

 

    FY25   FY26   FY27   FY28   FY29   FY30   FY31   FY32   FY33   FY34   FY35   FY36   FY37   FY38   FY39   FY40   FY41   FY42-50

 Net

 Revenue

  —    —    —    —    —    —    —    $83   $193   $384   $610   $831   $1,030   $1,200   $489   $545   $160   $1,913

 Operating

 Expenses

  ($5)   ($31)   ($43)   ($60)   ($79)   ($102)   ($177)   ($123)   ($108)   ($158)   ($169)   ($208)   ($257)   ($300)   ($107)   ($121)   ($16)   ($191)

 Hanmi

 Licensing

 Fees

  —    —    —    —    —    —    —    ($7)   ($24)   ($53)   ($97)   ($94)   ($193)   ($193)   ($50)   ($57)   ($14)   ($166)

 Operating

 Income

  ($5)   ($31)   ($43)   ($60)   ($69)   ($102)   ($177)   ($53)   $48   $146   $303   $471   $508   $667   $329   $329   $119   $1,422

 Net

 Income

  ($5)   ($31)   ($43)   ($60)   ($69)   ($102)   ($177)   ($53)   $46   $138   $287   $446   $387   $490   $218   $242   $88   $1,045

Probability of Technical and Regulatory Success

The key metrics in the discounted cash flow analysis incorporated a probability of technical and regulatory success (“PTRS”) to risk-adjust the cash flows, this analysis is separate from the cost of

 

E-11


Table of Contents

capital covered elsewhere. Management assumed that only a Phase 3 trial is needed in 1st Line Acute Myeloid Leukemia (“AML”), AML Maintenance, 1st Line Myelodysplastic Syndromes (“MDS”), and 2nd Line MDS due to data from the ongoing Phase 1/2 trial; management assumes a Phase 2 trial and a Phase 3 trial is required for RR AML. Based on management forecasts and standard industry assumptions, Locust Walk used the below schedule of PTRS:

 

 Phase 1

     100 %  

 Phase 2

     32.1 %  

 Phase 3

     52.9 %  

 Approval after regulatory submission

     92.0 %  

Benefits to a Purchaser of Acquiring 100% of the Shares

In accordance with MI 61-101, Locust Walk reviewed and considered whether any distinctive material value would accrue to a purchaser of Aptose through the acquisition of 100% of the Shares. Locust Walk specifically addressed whether there were any material operating or financial benefits that would accrue to such a purchaser as a result of: (i) savings of direct costs resulting from being a publicly-listed entity; and (ii) savings of overhead and operating expenses including, but not limited to, senior management, legal, finance, human resources, operations, sales and marketing and other administrative and operating functions.

A strategic purchaser with an existing infrastructure in biotechnology or pharmaceutical development may be able to realize additional synergies, such as the elimination of duplicative research, development, regulatory, and commercial functions, as well as leveraging existing relationships with contract research organizations, suppliers, and distribution channels. However, given Aptose’s current stage of development and lack of commercial operations, Locust Walk believes that the most quantifiable and immediate benefit to a purchaser would be the elimination of public company costs.

Summary of the DCF Analysis

A summary of the unlevered after-tax free cash flow projections from the DCF analysis is presented below:

(in US$ millions)

 

                                     
    FY25   FY26   FY27   FY28   FY29   FY30   FY31   FY32   FY33   FY34   FY35   FY36   FY37   FY38   FY39   FY40   FY41   FY42-50
                                     

Risk-Adjusted EBITDA

  ($5M)   ($31M)   ($43M)   ($60M)   ($69M)   ($102M)   ($177M)   ($53M)   $47M   $146M   $303M   $471M   $508M   $667M   $297M   $329M   $119M   $1,422M
                                     

Risk Adj. (-) Change in Working Capital

  ($1M)   ($6M)   ($3M)   ($4M)   ($4M)   ($6M)   ($17M)   $29M   $25M   $27M   $43M   $35M   $28M   $24M   ($98M)   $8M   ($53M)   $18M
                                     

Risk-Adjusted Income Tax1

                  ($2M)   ($8M)   ($16M)   ($25M)   ($120M)   ($177M)   ($79M)   ($87M)   ($32M)   ($377M)
                                     

Undiscounted Risk-Adjusted Free Cash Flow

  ($4M)   ($25M)   ($40M)   ($56M)   ($64M)   ($97M)   $160M)   ($82M)   $19M   $111M   $244M   $411M   $360M   $466M   $316M   $234M   $141M   $1027M

Note: (1) Based on 27% cash tax rate as per the Management Forecast and 80% carry over of net operating losses

Discount Rate

The WACC used in the discounted cash flow analysis reflects Aptose’s cost of capital as a standalone company. The WACC analysis was conducted using a median unlevered beta based on identified public company comparables with similar capital structure, size, and portfolio composition as Aptose. Locust Walk selected companies it deemed relevant, as listed in this document.

 

E-12


Table of Contents

While Aptose has received $21.1M of loans from Hanmi, for the purposes of the WACC analysis, Aptose’s capital structure was assumed to be 100% equity, as the debt issued by Hanmi is not reflective of true cost of borrowing or “market” rates reflective of an arm’s length transaction. Comparable public companies similarly had median 100% equity capital structures, and therefore, no changes to beta to account for leverage were included.

Locust Walk used the capital asset pricing model (“CAPM”) approach to determine the appropriate cost of equity. The CAPM approach calculates the cost of equity with reference to the risk-free rate of return, the volatility of equity prices relative to the S&P 500 benchmark (“Beta”) and the equity risk premium using 10 years of data for the S&P500 forecast. Locust Walk reviewed a range of unlevered Betas for Aptose and a select group of public companies that have risks similar to Aptose (included in a table below) in order to select the appropriate Beta for Aptose. The selected unlevered Beta was levered using the assumed optimal capital structure and was then used to calculate the cost of equity.

The risk-free rate was based on the 10-year U.S. Treasury rate (4.14%), and the market risk premium (8.38%) was based on returns of the S&P 500 index over a ten-year period ending November 17, 2025. The calculated levered beta based on comparable companies was 1.76, resulting in a calculated cost of equity of 18.9%. The calculated WACC for Aptose was therefore 18.9% as the capital structure was assumed to be 100% equity.

To account for uncertainty and potential variability in market conditions, a two-percentage-point sensitivity was added to create a WACC range. Accordingly, the selected WACC range for the DCF analysis was 16.9% to 20.9%.

Summary Table: WACC Analysis

 

 Parameter    Value

 Unlevered Beta

   1.76

 Debt as % of Capital

   0%

 Equity as % of Capital

   100%

 Levered Beta

   1.76

 Risk-Free Rate

   4.14%

 Market Risk Premium

   8.38%

 Calculated Cost of Equity

   18.9%

 Calculated WACC

   18.9%

 Sensitivity Range

   +/- 2%

 Selected WACC Range

   16.9% – 20.9%  

Summary Table Beta Analysis

    

 

E-13


Table of Contents

1. Calculated as of 11/17/2025

 

COMPANY   STAGE OF DEVELOPMENT  

STOCK

PRICE1

 

EQUITY

VALUE

($M)1

  ENTERPRISE VALUE ($M)1   LEVERED BETA1  

DEBT

%

 

EQUITY

%

 

UNLEVERED

BETA

ALX Onc

ology

  Phase 2   $1.56   $85   $34   0.54   11%   89%   0.50

Black Diamond

Therapeutics

  Phase 1/2   $4.01   $228   $112   3.31     100%   3.31
C4 Therapeutics   Phase 1/2   $2.50   $242   $110   2.89     100%   2.89

Cardiff

Oncology

  Phase 2   $2.06   $139   $84   1.36     100%   1.36
Curis   Phase 1/2   $1.23   $16   $10   4.02     100%   4.02

PMV

Pharmaceuticals

  Phase 2   $1.42   $76   ($55)   1.63     100%   1.63

Zentalis

Pharmaceuticals

  Phase 1/2   $1.33   $95   ($148)   1.76     100%   1.76
             
   

75th

Percentile

  $80   $97   3.10     100%   3.10
   
    Median   $95   $34   1.76     100%   1.76
   
   

25th

Percentile

  $184   ($23)   1.49     100%   1.49
Terminal Value              

Locust Walk included a terminal value post-2050 due to standard modeling practices, however its impact is negligible. Terminal value at the end of the Forecast Period was calculated using the terminal growth rate method. Locust Walk selected a terminal decline rate of 50% and applied this to the terminal year’s unlevered after-tax free cash flows to derive the terminal equity value of Aptose. This value was selected after taking into account the potential for a significant loss of market share to generic drug manufacturers during the period after 2050.

Dilution Analysis

Aptose had going forward concerns due to limited cash runway. In order for the Company to continue operating it would need to 1. Payoff the loans to Hanmi (as of the date of the Formal Valuation and Fairness Opinion, these totaled $21.1M) and 2. Raise capital to continue to fund the Company and operations through the next clinical trial. To incorporate the substantial costs required to reach the next value-inflection point, Locust Walk estimated the ownership that existing Shareholders would retain if the amounts for the loan payoffs and operating costs were raised via equity. Management estimated that ~$115M capital would be required to fund operations through the next clinical trial resulting in a total of $136.1M required to be raised. With management expectations of share prices for two separate raises of $66.1 M at $1.61/share and $70M at $1.29/share, Locust Walk estimates 95,139,467 additional Shares would need to be issued to cover these expenses. This would leave the existing 2,552,529 outstanding shares with an ownership stake of 2.61% of the company. This percentage was multiplied by the risk-adjusted NPV to account for the amount of value that existing Shareholders would be predicted to retain if the Company was able to raise sufficient capital via equity raises.

 

E-14


Table of Contents

Summary Table of Financing Assumptions

 

 FINANCING ASSUMPTION   AMOUNT
($M)

2024 Principal Outstanding

  $8.5

2025 Principal Outstanding (2025 Debt Facilities)

  $12.6

Total Principal Outstanding

  $21.1

Initial Raise Amount

  $45.0

Plus $21.1M Principal Payoff

  $21.1

New Initial Raise Amount

  $66.1

Second Raise Amount

  $70.0

Summary of Equity Raise and Projected Dilution to Existing Shareholders

 

RAISE

AMOUNT

  

ASSUMED SHARE

PRICE1

  

NEW SHARES

ISSUED

  

EXISTING

SHARES O/S2

  

ORIGINAL

SHAREHOLDER

REMAINING

OWNERSHIP

$66.1

   $1.61    41,055,901    2,552,429   

$70.0

   $1.29    54,263,566    2,552,429   

$136.1

      95,319,467    2,552,429    2.61%

Summary of DCF Analysis

The following is a summary of the value per Share of Aptose implied by Locust Walk’s DCF analysis (illustrative figures):

 

Assumption    Low    Base    High

WACC

   20.9%    18.9%    16.9%

Risk-adjusted Net Present Value (prior to Dilution)

   $27.39M     $69.16M     $124.87M 

Diluted Risk-adjusted Net Present Value (2.61%)

   $0.71M    $1.80M    $3.26M

Equity Value per Share

   $0.28    $0.71    $1.28

Note: Actual values and ranges are based on the Management Forecast and are subject to the assumptions and limitations described herein

Sensitivity Analysis

As part of the DCF analysis, Locust Walk performed sensitivity analyses on certain key assumptions as outlined below:

(in per share data in US$)

 

Assumption    Sensitivity - Low    Sensitivity – High    Impact on Equity Value per Share
       
Discount Rate    6YR Sales Ramp    n/a    ($0.43) / $0.58
       
US Price    $26.8K    $37.5K    ($0.41) / $0.39

 

E-15


Table of Contents
            
       
EU Price    $16.1K    $22.5K    ($0.10) / $0.10
       
JP Price    $16.1K    $22.5K    ($0.03) / $0.03
       
Max Erosion Post-LOE    100%    75%    ($0.35) / $0.60
       
Sales Ramp    6YR Sales Ramp    n/a    ($0.62) / n/a
       
Target Product Profile2    Low    High    ($0.60) / $0.60
       
US Penetration - 1L MDS    20%    40%    ($0.07) / $0.07
       
US Penetration - 2L MDS    15%    35%    ($0.05) / $0.05
       
US Penetration - 3L+ Targeted Th RR AML Post VEN    45%    65%    ($0.01) / $0.01
       
US Penetration - 2L WT RR AML Post VEN    35%    55%    ($0.02) / $0.02
       
US Penetration - FLT3(+) 1L AML Unfit    45%    65%    ($0.13) / $0.13
       
US Penetration - FLT3(WT) 1L AML Unfit    25%    45%    ($0.24) / $0.24
       
US Penetration - Maintenance Post CR 1L    45%    65%    ($0.08) / $0.08

 

  1.

Impact on Base Case Equity Value of $0.71 per Share

 

  2.

Assumes market penetration low or high scenarios all occur

Summary of Precedent Transactions Analysis

Locust Walk reviewed publicly available information with respect to precedent transactions in the biotech industry. Locust Walk segmented the analysis into two separate universes of deals: 1. Phase 1/2 Hematology / Oncology and Solid Tumor Deals and 2. Phase 1/2 Therapeutic-area agnostic, distressed companies. The transactions included deals completed from January 1, 2020- November 18, 2025, and included companies with upfront payments of less than $150M, with small molecules or monoclonal antibodies, and included full company acquisitions or majority stake acquisitions (acquiring entity purchased greater than 50% of the outstanding shares of common stock). Both comparable company sets exclude Asset Purchases and minority stake acquisitions (acquiring entity purchases less than or equal to 50% of the outstanding shares of common stock). Locust Walk applied the precedent transactions methodology to calculate premiums relative to the 30-day Volume-weighted Average Pricing relative to the last close prior to the announcement of the Arrangement. Both upfront and total deal values (including contingent value rights) were included in the analysis. Locust Walk views the upfront deal values as the more useful as the CVRs are uncertain to be received. The premiums were then applied to Aptose’s 30-day VWAP data. The precedent transactions that were identified and reviewed by Locust Walk are summarized below:

 

E-16


Table of Contents

Phase 1 to 2 Therapeutic Area Agnostic, Distressed M&A Transactions

 

 DATE    SELLER    BUYER    STAGE OF
DEVELOPMENT
  

UPFRONT
PREMIUM
TO 30-DAY

VWAP

  

T.D.V.

PREMIUM
TO 30-DAY

VWAP

 23 Oct

 2024

   Lumos Pharma    Double Point Ventures    Phase 2    10.5%    179%

 26 Feb

 2024

  

NGM

Biopharmaceuticals

   The Column Group    Phase 2    1.3%    1.3%

 8 Feb

 2024

   QSAM Biosciences    Telix Pharmaceuticals    Phase 1    16.1%    331%

 1 Jun

 2023

   Reunion Neuroscience    MPM BioImpact    Phase 1    45.2%    45.2%

 13 Aug

 2020

   Genkyotex SA    Calliditas Therapeutics    Phase 2    30%    250%
   
               75th Quartile    30%    250%
   
               Average    21%    161%
   
               Median    16%    179%
   
               25th Quartile    11%    45%

Note: (1) CVR issued but value not disclosed

Phase 1 to 2 Solid Tumor and Hem/Onc, M&A Transactions

 

 DATE   

PUBLIC/PRIVATE

SELLER

   SELLER    BUYER    STAGE OF
DEVELOPMENT
   UPFRONT
PREMIUM
TO 30-DAY
VWAP
   T.D.V.
PREMIUM
TO 30-DAY
VWAP

 16 Feb

 2024

   Public    Kinnate Biopharma    XOMA Royalty Corp    Phase 1    7.1%    208%

 16 Jun

 2023

   Public    Surface Oncology    Coherus BioSciences    Phase 2    12.2%    12.2%
   
                    Average / Median    9.7%    110.1%

Summary of Precedent Transactions Value

The following is a summary of the implied value per share of Aptose implied by Locust Walk’s precedent transactions analysis based on Aptose’s 30-day VWAP of $1.34 as of November 18, 2025

(in US$ /share)

 

COMPARABLE TRANSACTION SET    25TH

PERCENTILE

  MEDIAN    75TH

PERCENTILE

 Transaction comps oncology

 Upfront premium (7-12%)

   $1.44      $1.50

 Transaction comps oncology

 TDV premium (12-208%)

   $1.50      $4.13

 Transaction comps TA agnostic, distressed

 Upfront premium (11%/16%/30%)

   $1.49   $1.56    $1.74

 Transaction comps TA agnostic, distressed

 TDV premium (45%/179%/250%)

   $1.94   $3.74    $4.69

 

E-17


Table of Contents

Note: Actual values and ranges are based on the set of precedent transactions deemed most relevant by Locust Walk.

Valuation Summary

The following is a summary of the range of the fair market values of the Shares resulting from the DCF analysis and the precedent transactions analysis

($USD/share)

 

VALUATION METHODOLOGY    LOW     HIGH 

 Risk-adjusted DCF accounting for dilution

   $0.28    $1.28

 Transaction comps oncology

 Upfront premium (7-12%)

   $1.49    $1.74

 Transaction comps oncology

 TDV premium (12-208%)

   $1.94    $4.69
     

 Transaction comps TA agnostic, distressed

 Upfront premium (11%/30%)

   $1.44    $1.50

 Transaction comps TA agnostic, distressed

 TDV premium (45%/250%)

   $1.50    $4.13

In arriving at its opinion as to the fair market value of the Shares, Locust Walk made qualitative judgments based upon its experience in rendering such opinions and on circumstances prevailing as to the significance and relevance of each valuation methodology.

Valuation Conclusion

Valuation

In arriving at its opinion as to the fair market value of the Shares, Locust Walk made qualitative and quantitative judgments based upon its experience in rendering such opinions and on circumstances prevailing as to the significance and relevance of each valuation methodology. Locust Walk has not attributed any particular weight to any specific factors.

Based upon and subject to the foregoing and such other factors as were considered relevant, Locust Walk is of the opinion that, as of November 18, 2025, the fair market value of the Shares is in the range of USD $0.71 to USD $3.74, or CAD $1.00 to CAD $5.08..

Prior Valuation

The analysis supporting the Prior Valuation provided a range of the fair market equity value of Aptose of USD $2.4M to USD $18.0M. The Prior Valuation did not provide for a valuation of Aptose on a per Share basis. For the purpose of comparing the fair market value of the Shares implied by the Prior Valuation to the fair market value of the Shares as determined by the Valuation, Locust Walk used the 2,552,429 Common Shares issued and outstanding to arrive at an implied fair market value of the Shares, as determined by the Prior Valuation, of USD $0.94 to USD $7.05. The difference in the ranges of fair market value of the Shares as determined by the Valuation and the implied fair market value of the Shares as determined by the Prior Valuation was primarily the result of Locust Walk’s

 

E-18


Table of Contents

consideration of: (a) a decline in the per Share price of Aptose’s common stock on the Toronto Stock Exchange for the purpose of the precedent transactions analysis; (b) an increase to the outstanding debt of Aptose for the purpose of the dilution analysis; and (c) changes in market-based inputs including, among other things, the most recently available bond yields used to calculate WACC, valuation metrics of publicly traded comparable companies and foreign exchange rates.

The Valuation supersedes the Prior Valuation in its entirety.

Approach to Fairness

In considering the fairness, from a financial point of view, of the Consideration to be received by the Public Shareholders, pursuant to the Arrangement, Locust Walk principally considered and relied upon:

 

   

a comparison of the Consideration to the fair market value of the Shares as determined based on a dilution and risk-adjusted discounted cash flow analysis; and

 

   

a comparison of the premium implied by the Consideration to the 30-day Volume Weighted Average Price of Shares, as of November 17th, 2025, relative to the premiums received in selected comparable M&A transactions.

Fairness Opinion

In considering the fairness, from a financial point of view, of the Consideration to be received by the Public Shareholders pursuant to the Arrangement, Locust Walk observes the following:

 

   

The Consideration offered pursuant to the Arrangement of USD $1.71 per Share is within the range of fair market values as determined in the Valuation.

 

   

The Arrangement provides the Public Shareholders with full liquidity and certainty of value.

Fairness Opinion Conclusion

Based upon and subject to the foregoing, and such other matters as Locust Walk considered relevant, Locust Walk is of the opinion that, as of November 18, 2025, the Consideration to be received by the Public Shareholders pursuant to the Arrangement is fair, from a financial point of view, to the Public Shareholders

Yours truly,

Locust Walk Securities

 

E-19


Table of Contents

APPENDIX F – PRIOR VALUATION

 

F-1


Table of Contents

LOGO

Driving life Fueling sciences life sciences innovation through transactions APTOSE INDEPENDENT VALUATION ASSESSMENT APTOSE BIOSCIENCES July 21st, 2025 STRICTLY CONFIDENTIAL

 

F-2


Table of Contents

LOGO

Assumptions & Disclaimer The information contained in this presentation is for the sole use of the recipient, and solely to the extent and for the purpose specifically agreed to in writing between Aptose Biosciences Inc. (“Company”) and/or Locust Walk Securities, LLC (“Locust Walk”). This presentation, or any excerpt of the information contained herein, may not be copied or otherwise provided to any other person or entity (“Third Party”), without the express prior written consent of Company or Locust Walk. Neither Company nor Locust Walk shall have liability whatsoever to any Third Party for any unauthorized use of this presentation or the information contained herein. All financial evaluations, projected market and financial information, and conclusions contained in this presentation are based upon standard valuation methodologies, are not definitive forecasts, and are not guarantees by Locust Walk of any present or future value of any asset. In preparing this presentation, unless as otherwise indicated in this presentation, Locust Walk has relied, without independent verification, on publicly available information and assumptions provided by the Company. Locust Walk has not independently verified such information or the assumptions used in this presentation which are the sole responsibility of the Company. Actual results may vary significantly from the information contained in this presentation as a result of changes to the information relied upon by Locust Walk or any variation from such operating assumptions. Locust Walk has no obligation to update the information contained in this presentation as a result of changes in the underlying data or assumptions. Locust Walk Securities, LLC is the US securities transaction affiliate of Locust Walk Partners, LLC offering mergers and acquisitions and financing transaction advisory services. Locust Walk Securities, LLC is a member of FINRA and SIPC. © 2025 Locust Walk Partners, LLC and Locust Walk Securities, LLC. All rights reserved. Locust Walk is a registered trademark of Locust Walk Partners. This presentation does not constitute a commitment by Locust Walk Securities to underwrite, subscribe for or place any securities or to provide any other services. STRICTLY CONFIDENTIAL 2

 

F-3


Table of Contents

LOGO

Locust Walk is a global investment bank that integrates corporate development strategy and execution with capital raising for innovative life science companies of all stages. We partner with founders, executives, and board members through all aspects of corporate development across company, asset, and deal lifecycles. Through our extensive market intelligence interfacing with investors, large pharma, biotechs, and academic leaders, we have a deep understanding of how science and data translates into actionable transactions and business strategy. STRICTLY CONFIDENTIAL 3

 

F-4


Table of Contents

LOGO

Engagement Overview and Scope of Analysis Locust Walk Assignment Locust Walk was commissioned by Aptose Biosciences Inc. (the “Company”) to provide a valuation assessment (the “Valuation”) as to the valuation of the investigational compound tuspetinib (the “Asset”) and related rights, including those subject to any agreements between the Company and its strategic partners. In providing the Valuation to the Company in connection with the potential merger or acquisition discussions with Hanmi Pharmaceutical Co., Ltd., Locust Walk served as an independent financial expert. Scope of Analysis In arriving at our Valuation, we have, among other things: Reviewed copies of revenue and operational forecasts provided by Aptose Reviewed publicly available business and financial information related to the assets Conducted discussions with certain members of Aptose related to confirming the methodologies leveraged to reach certain cost assumptions Conducted such other financial studies, analyses and investigations, and considered such other information and such other factors, as we deemed relevant for the purposes of rendering our assessment All valuation metrics are based on tuspetinib and assigns no value to Aptose’s pipeline assets Source: Locust Walk Analysis. STRICTLY CONFIDENTIAL 4

 

F-5


Table of Contents

LOGO

Methodology: Key Analyses 1. Discounted Cash Flow: Implied company enterprise valuation based on projected unlevered free cash flows that are discounted to the present using a discount rate that reflects relative risk based on publicly traded comparable companies 2. M&A Transaction Comparables (Transaction Comps): Value based on upfront payments and total deal value for comparable M&A transactions Select transactions that meet the following criteria were included: 1. Public Company M&A with a Phase 1 to 2 Solid Tumor or Hem/Onc M&A transactions from 2020 to present 2. Public Company M&A with a Phase 1 to 2 TA Agnostic, distressed1 company transactions from 2020 to present Note(s): (1) ‘Distressed’ companies qualitatively assessed based on limited access to capital or “going forward concern” stated by management, excludes distressed companies

 

F-6


Table of Contents

LOGO

Key Valuation Summary Low High Scenario Median Scenario Based on the DCF and transaction comparable methods a reasonable valuation for Aptose is a range of $2.4M-$18M based on the median of the diluted risk-adjusted DCF in the base-case scenario (the low end) and the distressed comps (the high end). Aptose Valuation Estimates ($US M) Summary Recommended Valuation Range Aptose Valuation Estimates ($US M) Recommended Valuation Range Diluted Risk-adj DCF ($1.2M / $2.4M / $4.1M) $18 Transaction Comps TA Agnostic, Distressed $15 $33 Upfronts $65 Transaction Comps Oncology Upfronts $43 $128 $88 Risk-adj DCF $43 $150 0M 20M 40M 60M 80M 100M 120M 140M 160M Summary Transaction comparables for therapeutic area agnostic distressed comps were in Phase 1 or 2 and were qualitatively assessed to be distressed based on limited cash runway or were explicitly described as having a “going forward concern”; only upfronts were included in this analysis Transaction comparables in oncology are for similar stage products (Phase 1or 2 with preliminary efficacy data) with M&A transactions in the past 5 years; only upfronts were included in this analysis DCF accounts for the indication expansions as outlined by management achieving a peak non-risk adjusted forecast of ~$2.8B prior to loss of exclusivity in 2038; WACC range of 16-20% based on comparable publicly traded companies – DCF is based on risk-adjusted Management Projections except for market erosion post-LOE, which LW adjusted from a decline of 75% of peak market penetration to 90% to reflect industry standards – Aptose’s Hanmi loans were not factored into Aptose’s capital structure given the loans do not appear to be on market terms Diluted-risk adjusted DCF is based on the overall DCF but accounts for the reduced equity shareholders will hold in the company when accounting for the $115M operating costs required to get to the next value inflection point and the cost to assume all outstanding debt from Hanmi which is ~$12.9M Public trading comps were only used for calculating WACC and their valuations were not incorporated into this analysis given the majority had negative enterprise values and therefore common multiples (e.g., EV-to peak sales) are not calculable Source(s): Yahoo Finance; Citeline; Company internal assumptions; Wall Street Research; Locust Walk Analysis. STRICTLY CONFIDENTIAL 6

 

F-7


Table of Contents

LOGO

AGENDA Executive Summary Transaction Overview Valuation Analysis Discounted Cash Flow Analysis M&A Transaction Comparables Public Company Comparables Appendix STRICTLY CONFIDENTIAL 7

 

F-8


Table of Contents

LOGO

Risk-Adjusted DCF Analysis Phase 11 Phase 2 Phase 3 DA PTRS 100% 32.1% 52.9% 92.0% Risked Adjusted DCF ($M)2,3,4 FY25 FY26 FY27 FY28 FY29 FY30 FY31 FY32 FY33 FY34 FY35 FY36 FY37 FY38 FY39 FY40 FY41 FY42+5 Net Revenue — — — — — — — $83 $193 $384 $610 $831 $1,030 $1,200 $489 $545 $160 $1,913 Operating Expenses ($5) ($31) ($43) ($60) ($79) ($102) ($177) ($123) ($108) ($158) ($169) ($208) ($257) ($300) ($107) ($121) ($16) ($191) Hanmi Licensing Fees — — — — — — — ($7M) ($24) ($53) ($97) ($94) ($193) ($149) ($50) ($57) ($14) ($166) Operating Income ($5) ($31) ($43) ($60) ($69) ($102) ($177) ($53) $48 $146 $303 $471 $508 $667 $297 $329 $119 $1,422 Net Income ($5) ($31) ($43) ($60) ($69) ($102) ($177) ($53) $46 $138 $287 $446 $387 $490 $218 $242 $88 $1,045 Free Cash Flow ($4) ($25) ($40) ($56) ($64) ($97) ($160) ($82) $20 $112 $244 $411 $359 $466 $316 $234 $141 $1,027 Discount Factor (18%) 92% 78% 66% 56% 48% 40% 34% 29% 25% 21% 18% 15% 13% 11% 9% 8% 7% 1-6% Discounted Free Cash Flow ($3) ($19) ($27) ($31) ($31) ($39) ($55) ($24) $5 $23 $43 $62 $46 $50 $29 $18 $9 $31 Risk-adjusted NPV $88M Dilution Analysis Low Mid High Enterprise Value Low Mid High Original Shareholder Equity Share of eNPV 2.75% 2.75% 2.75% Weighted Average Cost of Capital 20.0% 18.0% 16.0% Weighted Average Cost of Capital 20.0% 18.0% 16.0% Enterprise Value Range $43M $88M $150M Enterprise Value Range $1.2M $2.4M $4.1M Note(s): (1) Phase 1 has been completed so PTRS used is 100%; (2) DCF incorporates Hanmi Licensing Terms; (3) Include impact of NOLs and tax rate = 27%; (4) Full DCF is modeled through 2050; this table is truncated to show FCFs through LOE (2038 in the US and 2040 in EU & Japan); (5) Forecasted to 2050. STRICTLY CONFIDENTIAL 8 Source(s): Company internal assumptions; Locust Walk Analysis.

 

F-9


Table of Contents

LOGO

DCF Analysis: Key Assumptions (1/2) Locust Walk used the Management Projections as the basis of the discounted cash flow analysis The following is the summary of the Management Projections and assumptions utilized in the discounted cash flow analysis: – Launch Year: Tuspetinib expected to achieve the following approvals o 1L AML 2032 (US), 2034 (EU/JP) o AML Maintenance 2033 (US), 2035 (EU/JP) o R/R AML 2034 (US), 2036 (EU/JP) o 2L MDS 2034 (US), 2036 (EU/JP) o 1L MDS 2036 (US), 2038 (EU/JP) – Target Markets and Revenues: o Within R/R AML management expects the addressable population to be both wildtype and with targeted mutations post-venetoclax treatment, for 1L patients management expects patients who are unfit for chemotherapy to be the addressable population o In the US, management peak market share expectations are 35% for WT 1L Unfit AML, 55% in FLT3+ 1L Unfit AML, 55% in AML Maintenance, 45% in 2L WT RR AML, 55% in 3L+ Targeted RR AML, 25% in 2L MDS, and 30% in 1L MDS o In the EU & JP, management peak market share expectations are 21% for WT 1L Unfit AML, 33% in FLT3+ 1L Unfit AML, 33% in AML Maintenance, 27% in 2L WT RR AML, 33% in 3L+ Targeted RR AML, 15% in 2L MDS, and 18% in 1L MDS o Loss of exclusivity is expected in 2038 o Non-risk-adjusted peak net revenues are expected to reach ~$2.8B in 2038 – Probability of Technical and Regulatory Success (PTRS): o Management assumed that only a Phase 3 trial is needed in 1L AML, AML Maintenance, 1L MDS, and 2L MDS due to data from the ongoing Phase 1/2 trial; management assumes a Phase 2 trial and a Phase 3 trial is required for RR AML o Management assumed the following probabilities for each inflection point: o Phase 1: 100% o Phase 2: 32.1% o Phase 3: 52.9% o Approval after submission: 92.0% o Risk-adjusted peak net revenues are ~$1.2B in 2038 Note(s): PTRS = Probability of technical and regulatory success; DFCI = Dana-Farber Cancer Institute; G&A = General & Administrative; MDS = Myelodysplastic syndromes; NOL = Net operating loss; LOE = Loss of exclusivity. STRICTLY CONFIDENTIAL 9 Source(s): Company internal assumptions; Locust Walk Analysis.

 

F-10


Table of Contents

LOGO

DCF Analysis: Key Assumptions (2/2) Expenses: – COGS are estimated to be 7% of Net Revenue since tuspetinib is a small molecule – Operating expenses include: o R&D expenses across the 5 indications that support US, EU, and JP approval total $676.5M o Launch costs for the first approval are $100M, starting the first year prior to approval and spread over 4 years (i.e., $25M per year from 2031 to 2034) o Selling & Marketing and G&A expenses are 10% and 15% of revenue, respectively, based on the stand-alone costs to market and sell tuspetinib o Hanmi Licensing tiered royalties of 8-15% of net revenue, regulatory milestones totaling $98.5M, and sales milestones totaling $280M o Material capital expenditure is not expected given the Company expects to contract manufacture tuspetinib o EBITDA is positive starting in 2033 o LW assumed US filing fees of $4M for the initial indication, US indication expansion filing fees of $0.5M, EU/JP filing fees of $2M for the indication, and EU/JP indication expansion filings fees of $0.5M Income Taxes: Management used a 26.5% estimated tax rate that incorporates expected Canada corporate federal tax rate, U.S tax rate, U.S. state tax rates, and NOLs. The Company anticipates beginning to pay taxes starting in 2033 Loss of Exclusivity: Locust Walk adjusted Aptose’s market share following LOE (2038 for US, 2040 for EU/JP) to decline 75%-90% of the initial market share to align with industry best practices, and the DCF is modeling through 2050 to be consistent with the revenue forecast provided by Aptose – Undiscounted, risk-adjusted free cash flows total $1.0B from 2041 to 2050, and when discounted those cash flows equate to $40M of eNPV, constituting 45% of the $88M eNPV Terminal Value: Locust Walk included a terminal value post-2050 due to standard modeling practices, however its impact is negligible; Discounting: Locust Walk discounted the 2025-2042 free cash flows using a cost of equity capital range of 16% to 20% and a mid-year discounting convention; a detailed WACC analysis is provided Dilution Analysis: LW added the $12.9M of outstanding Hanmi debt to Aptose’s management assumptions that $115M of capital, raise over 2 rounds, is required to reach the next value-inflection Point Note(s): (1) EU and RoW forecast sensitivities are from Management Projections; RoW = Rest of World; PTRS = Probability of technical and regulatory success; DFCI = Dana-Farber Cancer Institute; G&A = General & Administrative. STRICTLY CONFIDENTIAL 10 Source(s): Company internal assumptions.

 

F-11


Table of Contents

LOGO

DCF Analysis: Weighted Average Cost of Capital Public Company Comparables Methodology / Assumptions WACC Analysis Comps Cap Structure Aptose Cap Structure ? The calculated weighted-average cost of capital reflects Capital Structure Aptose's cost of capital as a standalone company ? Public companies with similar capital structure, size, and Unlevered Beta 1.61 1.61 1 portfolio composition as Aptose were identified, and Debt as a % of Capital Locust Walk selected companies it deemed relevant - - (selected companies listed later in the presentation) Equity as a % of Capital 100% 100% ? WACC analysis was conducted using a median unlevered Calculated Levered Beta 1.61 1.61 beta based on identified public company comparables Cost of Equity – Aptose capital structure assumed as 100% equity, Risk-free Rate 4.30% given debt issued by Hanmi is not reflective of true cost of borrowing or “market” rates Levered Beta 1.61 – Comparable companies similarly had median 100% Market Risk Premium 8.5% equity capital structures, and therefore, no changes to beta to account for leverage were included Calculated Cost of Equity 17.95% ? The risk-free rate is based on the 10-year US treasury rate2 Weighted-Average Cost of Capital (WACC) and the market risk premium is based on returns of the S&P 500 index over a five-year period ending 6/20/2025 Calculated WACC 17.95% ? Two-percentage-point sensitivity added to create WACC range Assumed WACC 17.95% Sensitivity Analysis + / - 2% Selected WACC Range: 16% - 20% Note(s): (1) Excluded public company trading comparables that did not have historic trading data dating back to 6/20/2020 from the WACC analysis, one exception where data begins September 25, 2020; (2) As of 7/03/2025; CAPM = Capital Asset Pricing Model. STRICTLY CONFIDENTIAL 11 Source(s): Yahoo Finance; SEC Filings; YCharts; Locust Walk Analysis.

 

F-12


Table of Contents

LOGO

Tornado Chart – Sensitivities of Key Assumptions (Low Case / Base Case / High Case) Tornado Chart (Delta from Base Case of $88M eNPV) 1 TPP (Low / Base / High) Sales Ramp (6YR Ramp / 4YR Ramp (Mgmt.) / n/a) Discount Rate (20% / 18% / 16%) US Price ($26,802 / $32,164 / $37,523) 2 Max Erosion Post-LOE (100% / 90% / 75%) US Penetration - TPP3b: FLT3(WT) 1L AML Unfit (25% / 35% / 45%) US Penetration - TPP3a: FLT3(+) 1L AML Unfit (45% / 55% / 65%) EU Price ($16,081 / $19,298 / $22,514) US Penetration - TPP4: Maintenance Post CR 1L (45% / 55% / 65%) US Penetration - 1L MDS (20% / 30% / 40%) US Penetration - 2L MDS (15% / 25% / 35%) JP Price ($16,081 / $19,298 / $22,514) US Penetration - TPP2b: 2L WT RR AML Post VEN (35% / 45% / 55%) US Penetration - TPP2a: 3L > Targeted Th RR AML Post VEN (45% / 55% / 65%) ($70) ($50) ($30) ($10) $10 $30 $50 $70 Low High Note: (1) Assumes market penetration low / base / high scenarios all occur; (2) Max Erosion is the percent of peak market penetration remaining post-LOE (i.e., in the base case, US 1L MDS market penetration post-LOE = 30% x (1-90%) = 3%) STRICTLY CONFIDENTIAL 12 Source: Locust Walk analysis

 

F-13


Table of Contents

LOGO

M&A Comparables: Primary Screening Criteria 13 precedent transaction analyses were conducted, focusing on stage of development similar to the Company. Criteria (1) Phase 1 to 2 Solid Tumor or Hem/Onc M&A transactions (2) Phase 1 to 2 TA Agnostic, Distressed M&A Transactions Entity Type Public or Private Biopharmaceutical / Biotechnology Company Public or Private Biopharmaceutical / Biotechnology Company Date Range Jan. 2020 – Present (past 5 yrs) Jan. 2020 – Present (past 5 yrs) Value Range Upfront <$150M Upfront <$150M TA Focus Oncology, Solid Tumor, Hem/onc TA Agnostic Methodology Product Stage Phase 1 to 2 Phase 1 to 2 Modality Small Molecule and mAb All Analysis Deal Types Full Company Acquisitions and Majority Stake Full Company Acquisitions and Majority Stake Qualitative Assessment of Company financial distress at time of Other Criteria N/A acquisition Excluded Asset Purchases, Minority Stake Acquisitions Asset Purchases, Minority Stake Acquisitions Final Outputs: 3 Comparable Transactions Identified 10 Comparable Transactions Identified Recent M&A transactions were identified to estimate valuations for the Company Note(s): (1) ‘Distressed’ companies qualitatively assessed based on limited access to capital or “going forward concern”; TA = Therapeutic Area. STRICTLY CONFIDENTIAL 13 Source(s): Locust Walk Analysis.

 

F-14


Table of Contents

LOGO

Phase 1 to 2 TA Agnostic, Public & Private Distressed M&A Transactions Total Deal Date Public/Private Seller Seller Buyer Stage of Development Upfront ($M) Value ($M) 23 Oct 2024 Public Lumos Pharma Double Point Ventures Phase 2 38 38 27 Mar 2024 Private AlmataBio Avalo Therapeutics Phase 2 15 42.5 26 Feb 2024 Public NGM Biopharmaceuticals The Column Group Phase 2 135 135 8 Feb 2024 Public3 QSAM Biosciences Telix Pharmaceuticals Phase 1 33 123 21 Aug 2023 Private Bird Rock Bio Skye Bioscience Phase 1 20 20 1 Jun 2023 Public Reunion Neuroscience MPM BioImpact Phase 1 13 13 15 Nov 2021 Private Combangio Kala Pharmaceuticals Phase 1b 16 121 21 Dec 2020 Private Panoptes Pharma EyeGate Pharmaceuticals Phase 1b/2a 4 15 15 Oct 2020 Private Athenen Therapeutics Climb Bio Phase 1 16.5 16.5 13 Aug 2020 Public Genkyotex SA Calliditas Therapeutics Phase 2 32.7 32.7 75th Quartile 33.0 101.5 Average 32.4 55.7 Median 18.3 35.4 Companies were assessed as “distressed” based on qualitative view on cash runway and/or an explicit 25th Quartile 15.3 17.4 “going forward concern” Key: Acquirer was minority shareholder prior to M&A Notes: (1) Based on unaffected last close; (2) Equity premium based on 30 Day VWAP; (3) listed on OTCQB markets as opposed to centralized, regulated exchange. STRICTLY CONFIDENTIAL 14Sources: Yahoo Finance, BioSci DB; Cortellis; Company Press Releases; Locust Walk Analysis.

 

F-15


Table of Contents

LOGO

Phase 1 to 2 Solid Tumor or Hem/Onc M&A transactions Total Deal Date Public/Private Seller Seller Buyer Stage of Development Upfront ($M) Value ($M) 16 Feb 2024 Public Kinnate Biopharma XOMA Royalty Corp Phase 1 128 159 4 Aug 2023 Private Pionyr Immunotherapeutics Ikena Oncology Phase 1a/b 42.5 42.5 16 Jun 2023 Public Surface Oncology Coherus BioSciences Phase 2 65 555 75th Quartile 128.0 555.0 Average 78.5 252.2 Median 65.0 159.0 25th Quartile 42.5 42.5 Notes: (1) Based on unaffected last close; (2) Equity premium based on 30 Day VWAP. STRICTLY CONFIDENTIAL 15 Sources: Yahoo Finance, BioSci DB; Cortellis; Company Press Releases; Locust Walk Analysis.

 

F-16


Table of Contents

LOGO

Executive Summary Transaction Overview AGENDA Valuation Analysis Appendix STRICTLY CONFIDENTIAL 16

 

F-17


Table of Contents

LOGO

Public Company Comparables: Primary Screening Criteria The trading comparable analysis identified 7 public companies that display similar characteristics to the Company in terms of market capitalization and portfolio composition. Criteria Phase 1 to 2 Companies Entity Type Public Biotechnology Company Market Cap Less than $250M Therapeutic Area Focus Solid Tumor or Hematologic Oncology Methodology Phase of Development Phase 1 to 2 with preliminary efficacy data Analysis Modality Small molecules and monoclonal antibodies Portfolio Composition Single asset companies or companies with a more advanced lead program relative to pipeline Companies with recently failed clinical trials, advanced modalities (e.g., bispecifics, ADCs, radiotherapy, Excluded cell/gene therapy, RNAi/ASOs) Final Outputs: 7 Comparable Public Companies Identified The public company comparables were used to determine WACC and not for valuation comparison Source(s): Locust Walk Analysis. STRICTLY CONFIDENTIAL 17

 

F-18


Table of Contents

LOGO

Public Comparables Beta: Phase 1 / 2 Oncology Companies <$250M Market Cap & 5YR Trading History Stage of Equity Value Enterprise Value Company Stock Price1 Levered Beta1 Debt % Equity % Unlevered Beta Development ($M)1 ($M)1 ALX Oncology Phase 2 $0.46 $25.0 ($72.0) 1.16 29% 71% 0.88 Black Diamond Phase 1/2 $2.58 $146.7 ($5.7) 2.71 – 100% 2.71 Therapeutics C4 Therapeutics Phase 1/2 $1.48 $105.1 ($129.6) 2.95 – 100% 2.95 Cardiff Oncology Phase 2 $3.66 $247.0 $167.6 1.56 – 100% 1.56 Curis Phase 1/2 $2.15 $26.7 $6.4 3.67 – 100% 3.67 PMV Pharmaceuticals2 Phase 2 $1.19 $61.6 ($104.2) 1.43 – 100% 1.43 Zentalis Pharmaceuticals Phase 1/2 $1.26 $89.8 ($242.7) 1.61 – 100% 1.61 75th Percentile $126 $0 2.83 – 100% 2.83 Median $90 ($72) 1.61 – 100% 1.61 25th Percentile $44 ($117) 1.50 – 100% 1.50 Note(s): (1) = Calculated as of 7/03/2025; (2) PMV Pharmaceuticals IPO’d September 25th, 2020; WACC = Weighted Average Cost of Capital. Source(s): AlphaSense; Evaluate; GlobalData; Yahoo Finance, Citeline; Company Press Releases; Locust Walk Analysis. STRICTLY CONFIDENTIAL 18

 

F-19


Table of Contents

LOGO

Tuspetinib AML and MDS Revenue Forecast by Geography (Management Projections) Tuspetinib US peak sales is ~$2.0B and global peak revenue is ~$2.8B when including the EU and Japan. Net Revenue Projections by Region $3,000M 2038 LOE in the US $2,500M $2,000M $1,500M 2040 LOE in the EU/JP $1,000M $500M $M 2032 2033 2034 2035 2036 2037 2038 2039 2040 2041 2042 2043 2044 2045 2046 2047 2048 2049 2050 US EU JP Note(s): (1) Based on Management Projections. STRICTLY CONFIDENTIAL 19 Source(s): Management Projections.

 

F-20


Table of Contents

LOGO

Dilution Analysis Original Shareholder Financing Assumption Amount Raise Amount Assumed Share Price New Shares Issued Existing Shares O/S Remaining Ownership 2024 Principal Outstanding $8.4 $57.92 $1.61 35,972,248 2,550,000 -- 2025 Principal Outstanding $4.5 $70.00 $1.29 54,263,566 2,550,000 -- Total Principal Outstanding $12.9 $127.9 -- 90,235,814 2,550,000 2.75% Initial Raise Amount $45.0 Plus $12.9M Principal Payoff $12.9 Tuspetinib eNPV $88 New Initial Raise Amount $57.9 Original Shareholder Equity 2.75% Second Raise Amount $70.0 Original Shareholder Equity Share of eNPV $2.4 Note(s): (1) Based on Management Projections. STRICTLY CONFIDENTIAL 20 Source(s): Management Projections.

 

F-21


Table of Contents

APPENDIX G – INTERIM ORDER

 

G-1


Table of Contents

LOGO

CERTIFIED by the Court Clerk as a true copy of the document digitally filed on Dec 12, 2025 COURT FILE NUMBER: 2501-19785 COURT COURT OF KING’S BENCH OF ALBERTA JUDICIAL CENTRE CALGARY MATTER IN THE MATTER OF SECTION 193 OF THE BUSINESS CORPORATIONS ACT, RSA 2000, C B-9, AS AMENDED 11:56 AM AND IN THE MATTER OF A PROPOSED ARRANGEMENT INVOLVING APTOSE BIOSCIENCES INC., HS NORTH AMERICA LTD., HANMI PHARMACEUTICAL CO. LTD. and THE SHAREHOLDERS OF APTOSE BIOSCIENCES INC. APPLICANT: APTOSE BIOSCIENCES INC. DOCUMENT: INTERIM ORDER ADDRESS FOR McCarthy Tétrault LLP SERVICE AND 421 7th Avenue SW CONTACT Suite 4000 INFORMATION Calgary AB T2P 4K9 OF PARTY Attention: Lyndsey Delamont / Kyle McMillan FILING THIS Phone: 403-260-3647 / 3548 DOCUMENT Fax: 403-260-3501 Email: ldelamont@mccarthy.ca / kmcmillan@mccarthy.ca Our File No.: 196421-592090 DATE ON WHICH ORDER WAS PRONOUNCED: December 12, 2025 NAME OF JUSTICE WHO MADE THIS ORDER: The Honourable Justice C. Simard LOCATION OF HEARING: Calgary, Alberta UPON the Originating Application (the “Originating Application”) of Aptose Biosciences Inc. (“Aptose” or the “Applicant”) for an Interim Order pursuant to section 193(4) of the Business Corporations Act, RSA 2000, c B-9, as amended (the “ABCA”); AND UPON reading the Originating Application, the Affidavit of William G. Rice, sworn December 4, 2025 (the “Rice Affidavit”) and the documents referred to therein;

 

G-2


Table of Contents

LOGO

AND UPON being advised that Aptose currently subsists under the Canada Business Corporations Act (the “CBCA”) and that it intends to continue into Alberta under the provisions of the ABCA by proposing a resolution to continue the corporation into Alberta, substantially in the form attached as Appendix “A” to the Proxy Statement (as defined herein) (the “Continuance Resolution”) immediately prior to seeking the vote and approval of the Plan of Arrangement (as defined herein) by the Shareholders and this Honorable Court; •s AND UPON being advised that notice of the Originating Application has been given to the registrar appointed under section 263 of the ABCA (the “Registrar”) as required under subsection 193(3.1) of the ABCA and that the Registrar does not consider it necessary to appear; AND UPON hearing counsel for the Applicant; FOR THE PURPOSES OF THIS ORDER: (a) the capitalized terms not defined in this Order (the “Order”) shall have the meanings attributed to them in the Proxy Statement (the “Proxy Statement”) which is attached as Exhibit “E” to the Rice Affidavit; and (b) all references to “Arrangement” used herein mean the arrangement as set forth in the plan of arrangement (the “Plan of Arrangement”) attached as Schedule “A” to the arrangement agreement (the “Arrangement Agreement”), which Arrangement Agreement is attached as Exhibit “A” to the Rice Affidavit. IT IS HEREBY ORDERED AND DECLARED THAT: General 1. The Applicant shall seek approval of the Arrangement as described in the Proxy Statement of the holders of issued and outstanding common shares of Aptose (the “Aptose Shares”) registered as such (the “Registered Aptose Shareholders”) as at the Record Date (as defined herein) and which, for greater certainty, includes persons who become Registered Aptose Shareholders as at the Record Date. The Meeting 2. The Applicant shall call and conduct a special meeting (the “Meeting”) of Registered Aptose Shareholders to take place on or about January 16, 2026 online at

 

G-3


Table of Contents

LOGO

https://meetings.lumiconnect.com/400-581-122-608. At the Meeting, the Registered Aptose Shareholders will consider and vote upon a resolution to approve the Arrangement substantially in the form attached as Appendix “D” to the Proxy Statement (the “Arrangement Resolution”) and such other business as may properly be brought before the Meeting or any adjournment or postponement thereof, all as more particularly described in the Proxy Statement. For greater certainty, this Order does not impact or pertain to, in any way, any meeting at which it is contemplated that the Registered Aptose Shareholders will consider the Continuance Resolution (the “Continuance Meeting”) or amend the rights of any Registered Aptose Shareholders under the CBCA in respect of the Continuance Meeting and any business conducted at such meeting or prior to the Continuance being completed. 3. References herein to in-person attendance at the Meeting shall include virtual attendance if the meeting is held virtually or in a hybrid format of virtual and in-person. 4. A quorum at the Meeting shall be not less than two persons present in person or represented by proxy entitled to vote at the Meeting and holding at least 331/3% of the Aptose Shares entitled to be voted at the Meeting. 5. If a quorum is not present at the time appointed for a Meeting, or within such reasonable time thereafter as the chair of the Meeting may determine, the chair of the Meeting may adjourn the meeting to a fixed time and place in accordance with Aptose’s bylaws and the CBCA. No notice of the adjourned meeting shall be required and, if at such adjourned meeting a quorum is not present, the Aptose Shareholders present at the adjourned meeting in person or represented by proxy shall constitute a quorum for all purposes. 6. Each Aptose Share entitled to be voted at the Meeting will entitle the holder to one vote at the Meeting in respect of the Arrangement Resolution and any other matters to be considered and voted upon at the Meeting. 7. The record date for Registered Aptose Shareholders entitled to vote at the Meeting shall be December 12, 2025 (the “Record Date”). Only Registered Aptose Shareholders whose names have been entered on the register of Aptose Shares as at the close of business on the Record Date will be entitled to receive notice of, and to vote at, the Meeting. The Record Date for Registered Aptose Shareholders entitled to receive notice of and to vote at the Meeting will not change in respect of or as a consequence of any adjournment or postponement of the Meeting.

 

G-4


Table of Contents

LOGO

8. The Chair of the Meeting shall be Dr. William G. Rice. If no such person is present at the Meeting, the Chair shall be the Chair of the special committee of the Aptose board of directors comprised of independent directors to consider the Arrangement. Conduct of the Meeting 9. The Meeting in respect of the Arrangement Resolution shall be called, held and conducted in accordance with the applicable provisions of the ABCA, the articles and by-laws of the Applicant in effect at the relevant time, the Proxy Statement, the rulings and directions of the Chair of the Meeting, this Order and any further Order of this Court. To the extent that there is any inconsistency or discrepancy between this Order and the ABCA or the articles or by-laws of the Applicant, the terms of this Order shall govern. 10. The only persons entitled to attend the Meeting shall be: (a) Registered Aptose Shareholders as at the Record Date or their duly authorized proxy holders, and their respective advisors; (b) the scrutineer and its representatives for that purpose; (c) the Applicant’s directors, officers, legal counsel, advisors and auditors; (d) the Registrar; (e) representatives of the Purchaser and Parent, and their legal counsel, advisors and representatives; (f) representatives and legal counsel of persons subject to the Arrangement; and (g) such other persons who may be permitted to attend by the Chair of the Meeting. 11. The number of votes required to pass the Arrangement Resolution shall be: (a) not less than 662/3% of the votes cast by Registered Aptose Shareholders present in person or represented by proxy at the Meeting, in the manner set forth in the Proxy Statement; and (b) not less than a simple majority of the votes cast by Registered Aptose Shareholders present in person or represented by proxy at the Meeting after

 

G-5


Table of Contents

LOGO

excluding the votes cast by those persons, whose votes are required to be excluded in accordance with MI 61-101 – Protection of Minority Security Holders in Special Transactions. 12. To be valid, a proxy must be deposited with Aptose’s transfer agent, Computershare Investor Services Inc., in the manner and by the deadline described in the Proxy Statement. 13. Any proxy that is properly signed and dated but which does not include voting instructions shall be deemed to be voted in favour of the Arrangement Resolution. 14. The accidental omission to give notice of the Meeting or the non-receipt of the notice shall not invalidate any resolution passed or proceedings taken at the Meeting. 15. The Applicant is authorized to adjourn or postpone the Meeting on one or more occasions (whether or not a quorum is present, if applicable) and for such period or periods of time as the Applicant deems advisable, without the necessity of first convening the Meeting or first obtaining any vote of the Registered Aptose Shareholders in respect of the adjournment or postponement, provided that such adjournment or postponement is made in compliance with the Arrangement Agreement and this Order. Notice of such adjournment or postponement may be given by such method as the Applicant determines is appropriate in the circumstances. If the Meeting is adjourned or postponed in accordance with this Order, the references to the Meeting in this Order shall be deemed to be the Meeting as adjourned or postposed, as the context allows. No adjournment or postponement of the Meeting shall have the effect of modifying the Record Date for persons entitled to receive notice of or vote at the Meeting. Amendments to the Arrangement 16. The Applicant, the Purchaser and Parent are authorized to make such amendments, revisions or supplements to the Arrangement as they may together determine necessary or desirable, provided that such amendments, revisions or supplements are made in accordance with and in the manner contemplated by the Arrangement and the Arrangement Agreement. The Arrangement so amended, revised or supplemented shall be deemed to be the Arrangement submitted to the Meeting and the subject of the Arrangement Resolution, without need to return to this Court to amend this Order.

 

G-6


Table of Contents

LOGO

Amendments to Meeting Materials 17. The Applicant is authorized to make such amendments, revisions or supplements (“Additional Information”) to the Proxy Statement, form of proxy (“Proxy”), notice of the Meeting (“Notice of Meeting”), form of letter of transmittal (“Letter of Transmittal”) and notice of Originating Application (“Notice of Originating Application”) as it may determine. The Applicant may disclose such Additional Information, including material changes, by the method and in the time most reasonably practicable in the circumstances as determined by the Applicant and without being required to deliver an amendment to the Proxy Statement to the Aptose Shareholders, provided that if as a result of comments from the applicable securities regulatory authorities an amendment is required to the Proxy Statement, such amendment to the Proxy Statement shall be filed under the Applicant’s SEDAR+ profile at www.sedarplus.ca. Without limiting the generality of the foregoing, if any material change or material fact arises between the date of this Order and the date of the Meeting, which change or fact, if known prior to mailing of the Proxy Statement, would have been disclosed in the Proxy Statement, then: (a) the Applicant shall advise the Registered Aptose Shareholders of the material change or material fact by disseminating a news release (a “News Release”) in accordance with applicable securities laws and the policies of the Toronto Stock Exchange; (b) provided that the News Release describes the applicable material change or material fact in reasonable detail, the Applicant shall not be required to deliver an amendment to the Proxy Statement to the Aptose Shareholders or otherwise give notice to the Registered Aptose Shareholders of the material change or material fact other than dissemination and filing of the News Release as aforesaid; and (c) unless determined to be advisable by the Applicant in accordance with the Arrangement Agreement, the Applicant shall not be required to adjourn or otherwise postpone the Meeting as a result of the disclosure of any Additional Information, including any material change, as contemplated by this paragraph 17. Dissent Rights 18. The Registered Aptose Shareholders are, subject to the provisions of this Order and the Arrangement, including Article 3 of the Plan of Arrangement, accorded the right to dissent under

 

G-7


Table of Contents

LOGO

section 191 of the ABCA with respect to the Arrangement Resolution, as modified by this Order and the Arrangement, and the right be paid the fair value of their Shares by the Purchaser in respect of which such right to dissent was validly exercised and has not been withdrawn or deemed to have been withdrawn (the “Dissent Right”). 19. In order for a Registered Aptose Shareholder (a “Dissenting Shareholder”) to exercise such right to dissent under section 191 of the ABCA: (a) Notwithstanding subsection 191(5) of the ABCA, the Dissenting Shareholder’s written objection to the Arrangement Resolution must be received by the Applicant, care of McCarthy Tétrault LLP, 66 Wellington Street West, Suite 5300, TD Bank Tower Box 48, Toronto ON M5K 1E6, Attention: Charles-Antoine Soulière, by not later than 5:00 p.m. (Eastern time) on the day that is two Business Days immediately preceding the date of the Meeting, or any adjournment or postponement of the Meeting is reconvened and held, as the case may be; (b) a vote against the Arrangement Resolution, whether in person or by proxy, shall not constitute a written objection to the Arrangement Resolution as required under subclause (a) hereof; (c) a Dissenting Shareholder shall not have voted their Aptose Shares at the Meeting, either by proxy or in person, in favour of the Arrangement Resolution; (d) a Dissenting Shareholder may not exercise the right to dissent in respect of only a portion of the Dissenting Shareholder’s registered Aptose Shares, but may dissent only with respect to all, and not less than all, of the registered Aptose Shares held by the Dissenting Shareholder; and (e) the exercise of such right to dissent must otherwise comply with the requirements of section 191 of the ABCA, this Order and the Arrangement. 20. The fair value of the consideration to which a Dissenting Shareholder is entitled under the Dissent Right (the “Dissent Entitlement”) shall be determined as of the close of business on the last Business Day before the day on which the Arrangement Resolution is approved by the Registered Aptose Shareholders and provided that the Arrangement is completed. The Dissent Right shall be dealt with as contemplated by the Arrangement and this Order.

 

G-8


Table of Contents

LOGO

21. Dissenting Shareholders who validly exercise their Dissent Right, as set out above, and who: (a) are determined to be entitled to be paid the fair value of their Aptose Shares, shall be deemed to have transferred such Aptose Shares as of the effective time of the Arrangement (the “Effective Time”), without any further act or formality and free and clear of all liens, claims and encumbrances to the Purchaser in exchange for the Dissent Entitlement; or (b) are, for any reason (including, for clarity, any withdrawal by any Dissenting Shareholder of their dissent) determined not to be entitled to be paid the fair value for their Aptose Shares shall be deemed to have participated in the Arrangement on the same basis as a non-dissenting Registered Aptose Shareholder, and such Aptose Shares will be deemed to be exchanged for the consideration under the Arrangement; but in no event shall the Applicant, the Purchaser, the Parent or any other person be required to recognize such Dissenting Shareholders as holders of Aptose Shares after the Effective Time, and the names of such Dissenting Shareholders shall be removed from the register of Aptose Shares as at the Effective Time. 22. Subject to further order of this Court, the rights available to Registered Aptose Shareholders under the ABCA and the Arrangement to dissent from the Arrangement Resolution shall constitute full and sufficient dissent rights for the Registered Aptose Shareholders with respect to the Arrangement Resolution. 23. Notice to the Registered Aptose Shareholders of their Dissent Right with respect to the Arrangement Resolution and the right to receive, subject to the provisions of the ABCA, this Order and the Arrangement, the Dissent Entitlement shall be sufficiently given by including information with respect to this right as set forth in the Proxy Statement which is to be sent to Registered Aptose Shareholders in accordance with paragraph 24 of this Order. Notice 24. The Proxy Statement, substantially in the form attached as Exhibit “E” to the Rice Affidavit, with such amendments thereto as the Applicant may determine necessary or desirable (provided such amendments are not inconsistent with the terms of this Order), and including the

 

G-9


Table of Contents

LOGO

Notice of the Meeting, the Proxy, the Notice of Originating Application and this Order, together with any other communications or documents determined by the Applicant to be necessary or advisable, including the Letter of Transmittal (collectively, the “Meeting Materials”), shall be sent or made available to those non-registered and Registered Aptose Shareholders (who are registered as such as at the Record Date), the directors of the Applicant, and the auditors of the Applicant, by one or more of the following methods: (a) in the case of Registered Aptose Shareholders, by pre-paid first class or ordinary mail, by courier or by delivery in person, addressed to each such holder at his, her or its address, as shown on the books and records of the Applicant as of the Record Date not later than 21 days prior to the Meeting; (b) in the case of non-registered Aptose Shareholders, by providing sufficient copies of the Meeting Materials to intermediaries (or their agents), in accordance with National Instrument 54-101 — Communication With Beneficial Owners of Securities of a Reporting Issuer; (c) in the case of the directors and auditors of the Applicant, by email, pre-paid first class or ordinary mail, by courier or by delivery in person, addressed to the individual directors or firms of auditors, as applicable, not later than 21 days prior to the date of the Meeting; and (d) in the case of the Registrar, by facsimile, email or other electronic means, by courier or delivery in person, addressed to the Registrar not later than 21 days prior to the date of the Meeting. 25. Delivery of the Meeting Materials in the manner directed by this Order shall be deemed to be good and sufficient service upon the non-registered Aptose shareholders and Registered Aptose Shareholders and the directors and auditors of the Applicant of: (a) the Originating Application; (b) this Order; (c) the Notice of the Meeting; and (d) the Notice of Originating Application.

 

G-10


Table of Contents

LOGO

Final Application 26. Subject to any further order of this Court, and provided that the conditions precedent in the Arrangement Agreement have been satisfied or waived, including the passing of the Continuance Resolution, and that the Registered Aptose Shareholders have approved the Arrangement in the manner directed by this Court and the directors of the Applicant and the directors of the Purchaser and Parent have not revoked their approval, the Applicant may proceed with an application for a final Order of the Court approving the Arrangement (the “Final Order”) on January 16, 2026 and 3:00 p.m. (Calgary time) or so soon thereafter as counsel may be heard. Subject to the Final Order, the issuance of the proof of filing of the Articles of Arrangement, the Applicant, all Aptose Shareholders and all other persons affected thereby will be bound by the Arrangement in accordance with its terms. 27. Any Registered Aptose Shareholder or other interested party (each an “Interested Party”) desiring to appear and make submissions at the application for the Final Order is required to file with this Court and serve upon the Applicant on or before 4:00 p.m. (Calgary time) on the Business Day that is five Business Days immediately preceding the Meeting, a notice of intention to appear (“Notice of Intention to Appear”) including the Interested Party’s address for service (or alternatively, a facsimile number for service by facsimile or an email address for service by electronic mail), indicating whether such Interested Party intends to support or oppose the application or make submissions at the application, together with a summary of the position such Interested Party intends to advocate before the Court, and any evidence or materials which are to be presented to the Court. Service of this notice on the Applicant shall be effected by service upon the solicitors for the Applicant, at the address set out below: McCarthy Tétrault LLP 421 7th Avenue SW, Suite 4000 Calgary, Alberta, T2P 4K9 Attention: Lyndsey Delamont or by facsimile at (403) 260-3501 (Attention: Lyndsey Delamont), or by email to ldelamont@mccarthy.ca. 28. In the event that the application for the Final Order is adjourned, only those parties appearing before this Court for the Final Order, and those Interested Parties serving a Notice of Intention to Appear in accordance with paragraph 27 of this Order, shall be entitled to notice of the adjourned date.

 

G-11


Table of Contents

LOGO

Leave to Vary Interim Order 29. The Applicant is entitled at any time to seek leave to vary this Order upon such terms and the giving of such notice as this Court may direct. The Honourable Justice C. Simard

 

G-12


Table of Contents

APPENDIX H – NOTICE OF APPLICATION FOR THE FINAL ORDER

IN THE COURT OF KING’S BENCH OF ALBERTA

JUDICIAL DISTRICT OF CALGARY

IN THE MATTER OF SECTION 193 OF THE BUSINESS CORPORATIONS ACT, R.S.A. 2000, C. B-9, AS AMENDED

AND IN THE MATTER OF A PROPOSED ARRANGEMENT INVOLVING

APTOSE BIOSCIENCES INC., HS NORTH AMERICA LTD., HANMI PHARMACEUTICAL CO. LTD. and THE SHAREHOLDERS OF APTOSE BIOSCIENCES INC.

NOTICE OF APPLICATION

NOTICE IS HEREBY GIVEN that an originating application (“Application”) has been filed with the Court of King’s Bench of Alberta, Judicial Centre of Calgary (the “Court”) on behalf of Aptose Biosciences Inc. (“Aptose” or the “Applicant”) with respect to a proposed arrangement (the “Arrangement”) under Section 193 of the Business Corporations Act, R.S.A. 2000, c. B-9, as amended (the “ABCA”), involving Aptose, HS North America Ltd. (the “Purchaser”), Hanmi Pharmaceutical Co. Ltd. (the “Parent”), and the shareholders of Aptose, which Arrangement is described in greater detail in the management information circular and proxy statement of Aptose dated ●, 2026 accompanying this Notice of Application (“Proxy Statement”). At the hearing of the Application (“Hearing”), Aptose intends to seek an order:

 

  1.

declaring that the terms and conditions of the Arrangement and the procedures relating thereto are substantially and procedurally fair to the persons affected;

 

  2.

approving the Arrangement pursuant to Section 193 of the ABCA;

 

  3.

declaring that registered holders of common shares (“Aptose Shares”) of Aptose (the “Aptose Shareholders”) shall have the right to dissent in respect of the Arrangement, pursuant to Section 191 of the ABCA, as modified by the interim order of the Court dated December 12, 2025 (the “Interim Order”), and as set out in the plan of arrangement implementing the Arrangement (a copy of which is attached as Appendix C to the Proxy Statement) (“Plan of Arrangement”);

 

  4.

declaring that the Arrangement will, upon the filing of the articles of arrangement pursuant to section 193(4.1) of the ABCA (“Articles of Arrangement”), and the issuance of the proof of filing, issued by the Registrar of Corporations for the Province of Alberta pursuant to Subsection 193(11) of the ABCA in respect of the Articles of Arrangement, become effective in accordance with its terms and will be binding on each of the parties affected;

 

  5.

such other and further orders, declarations and directions as the Court may deem just.

AND NOTICE IS FURTHER GIVEN that the Application is directed to be heard at the Calgary Courts Centre, 601 – 5th Street, Calgary, Alberta by video conference on the ●th day of ●, 2026 at [3:00 p.m.] (Calgary time), or as soon thereafter as counsel may be heard (“Application Time”). Any Aptose Shareholder or any other interested party desiring to support or oppose the Application may

 

H-1


Table of Contents

appear at the time of the Hearing in person or by counsel for that purpose. Any Aptose Shareholder or any other interested party desiring to appear at the Hearing is required to file with the Court, and serve upon the Applicant, on or before 4:00 p.m. (Calgary time) on , 2026, (or on the Business Day that is five Business Days immediately preceding the Application if the Application is not heard on , 2026), a notice of its intention to appear, including an address for service in Calgary, Alberta (or alternatively, a facsimile number for service by facsimile or an email address for service by electronic mail), together with any evidence or materials which are to be presented to the Court. Service on the Applicant is to be effected by delivery to the solicitors for the Applicant, McCarthy Tétrault LLP, Suite 4000, 421 – 7th Avenue SW, Calgary, Alberta T2P 4K9, Attention: Lyndsey Delamont.

AND NOTICE IS FURTHER GIVEN that, at the Hearing, Aptose Shareholders and other interested parties will be entitled to make representations as to, and the Court will be requested to consider, the fairness and reasonableness of the Arrangement. If you do not attend, either in person or by counsel, at that time, the Court may approve the Arrangement as presented, or may approve the Arrangement subject to such terms and conditions as the Court shall deem fit, without any further notice.

AND NOTICE IS FURTHER GIVEN that the Court, by the Interim Order, has given directions as to, among other things, the calling and holding of the a meeting (“Aptose Meeting”) for the purpose of the Aptose Shareholders voting upon special resolutions to (a) continue Aptose from a corporation under the Canada Business Corporations Act (RSC 1985, c C-44) to a corporation under the ABCA, and (b) approve the Arrangement; as to giving of notice of such Aptose Meeting and the Application; as to the manner of conducting the vote in respect of such Aptose Meeting; and has directed that registered Aptose Shareholders shall have the right to dissent with respect to the Arrangement in accordance with the provisions of Section 191 of the ABCA, as modified by the Interim Order.

AND NOTICE IS FURTHER GIVEN that no further notice of the Application will be given by the Applicant and that, in the event the Hearing of the Application is adjourned, only those persons who have appeared before the Court at the Application Time shall be served notice of the adjourned date.

AND NOTICE IS FURTHER GIVEN that a copy of the Application and other documents in the proceedings will be furnished to any Aptose Shareholder or other interested party requesting the same from the solicitors for the Applicant at the address given above.

DATED this ●th day of ●, 2026.

 

BY ORDER OF THE BOARD OF DIRECTORS OF APTOSE BIOSCIENCES INC.
 

 

Dr. William G. Rice

Chairman, President, and Chief Executive Officer

Aptose Biosciences Inc.

 

H-2


Table of Contents

APPENDIX I – DISSENT PROVISIONS OF THE CBCA

Right to Dissent

 

190  (1)

Subject to sections 191 and 241, a holder of shares of any class of a corporation may dissent if the corporation is subject to an order under paragraph 192(4)(d) that affects the holder or if the corporation resolves to

 

  (a)

amend its articles under section 173 or 174 to add, change or remove any provisions restricting or constraining the issue, transfer or ownership of shares of that class;

 

  (b)

amend its articles under section 173 to add, change or remove any restriction on the business or businesses that the corporation may carry on;

 

  (c)

amalgamate otherwise than under section 184;

 

  (d)

be continued under section 188;

 

  (e)

sell, lease or exchange all or substantially all its property under subsection 189(3); or

 

  (f)

carry out a going–private transaction or a squeeze–out transaction.

Further right

 

  (2)

A holder of shares of any class or series of shares entitled to vote under section 176 may dissent if the corporation resolves to amend its articles in a manner described in that section.

If one class of shares

 

  (2.1)

The right to dissent described in subsection (2) applies even if there is only one class of shares.

Payment for shares

 

  (3)

In addition to any other right the shareholder may have, but subject to subsection (26), a shareholder who complies with this section is entitled, when the action approved by the resolution from which the shareholder dissents or an order made under subsection 192(4) becomes effective, to be paid by the corporation the fair value of the shares in respect of which the shareholder dissents, determined as of the close of business on the day before the resolution was adopted or the order was made.

No partial dissent

 

  (4)

A dissenting shareholder may only claim under this section with respect to all the shares of a class held on behalf of any one beneficial owner and registered in the name of the dissenting shareholder.

Objection

 

  (5)

A dissenting shareholder shall send to the corporation, at or before any meeting of shareholders at which a resolution referred to in subsection (1) or (2) is to be voted on, a written objection to the resolution, unless the corporation did not give notice to the shareholder of the purpose of the meeting and of their right to dissent.

 

I-1


Table of Contents

Notice of resolution

 

  (6)

The corporation shall, within ten days after the shareholders adopt the resolution, send to each shareholder who has filed the objection referred to in subsection (5) notice that the resolution has been adopted, but such notice is not required to be sent to any shareholder who voted for the resolution or who has withdrawn their objection.

Demand for payment

 

  (7)

A dissenting shareholder shall, within twenty days after receiving a notice under subsection (6) or, if the shareholder does not receive such notice, within twenty days after learning that the resolution has been adopted, send to the corporation a written notice containing

 

  (a)

the shareholder’s name and address;

 

  (b)

the number and class of shares in respect of which the shareholder dissents; and

 

  (c)

a demand for payment of the fair value of such shares.

Share certificate

 

  (8)

A dissenting shareholder shall, within thirty days after sending a notice under subsection (7), send the certificates representing the shares in respect of which the shareholder dissents to the corporation or its transfer agent.

Forfeiture

 

  (9)

A dissenting shareholder who fails to comply with subsection (8) has no right to make a claim under this section.

Endorsing certificate

 

  (10)

A corporation or its transfer agent shall endorse on any share certificate received under subsection (8) a notice that the holder is a dissenting shareholder under this section and shall forthwith return the share certificates to the dissenting shareholder.

Suspension of rights

 

  (11)

On sending a notice under subsection (7), a dissenting shareholder ceases to have any rights as a shareholder other than to be paid the fair value of their shares as determined under this section except where

 

  (a)

the shareholder withdraws that notice before the corporation makes an offer under subsection (12),

  (b)

the corporation fails to make an offer in accordance with subsection (12) and the shareholder withdraws the notice, or

 

  (c)

the directors revoke a resolution to amend the articles under subsection 173(2) or 174(5), terminate an amalgamation agreement under subsection 183(6) or an application for continuance under subsection 188(6), or abandon a sale, lease or exchange under subsection 189(9), in which case the shareholder’s rights are reinstated as of the date the notice was sent.

 

I-2


Table of Contents

Offer to pay

 

  (12)

A corporation shall, not later than seven days after the later of the day on which the action approved by the resolution is effective or the day the corporation received the notice referred to in subsection (7), send to each dissenting shareholder who has sent such notice

 

  (a)

a written offer to pay for their shares in an amount considered by the directors of the corporation to be the fair value, accompanied by a statement showing how the fair value was determined; or

 

  (b)

if subsection (26) applies, a notification that it is unable lawfully to pay dissenting shareholders for their shares.

Same terms

 

  (13)

Every offer made under subsection (12) for shares of the same class or series shall be on the same terms.

Payment

 

  (14)

Subject to subsection (26), a corporation shall pay for the shares of a dissenting shareholder within ten days after an offer made under subsection (12) has been accepted, but any such offer lapses if the corporation does not receive an acceptance thereof within thirty days after the offer has been made.

Corporation may apply to court

 

  (15)

Where a corporation fails to make an offer under subsection (12), or if a dissenting shareholder fails to accept an offer, the corporation may, within fifty days after the action approved by the resolution is effective or within such further period as a court may allow, apply to a court to fix a fair value for the shares of any dissenting shareholder.

Shareholder application to court

 

  (16)

If a corporation fails to apply to a court under subsection (15), a dissenting shareholder may apply to a court for the same purpose within a further period of twenty days or within such further period as a court may allow.

Venue

 

  (17)

An application under subsection (15) or (16) shall be made to a court having jurisdiction in the place where the corporation has its registered office or in the province where the dissenting shareholder resides if the corporation carries on business in that province.

No security for costs

 

  (18)

A dissenting shareholder is not required to give security for costs in an application made under subsection (15) or (16).

Parties

 

  (19)

On an application to a court under subsection (15) or (16),

 

  (a)

all dissenting shareholders whose shares have not been purchased by the corporation shall be joined as parties and are bound by the decision of the court; and

 

I-3


Table of Contents
  (b)

the corporation shall notify each affected dissenting shareholder of the date, place and consequences of the application and of their right to appear and be heard in person or by counsel.

Powers of court

 

  (20)

On an application to a court under subsection (15) or (16), the court may determine whether any other person is a dissenting shareholder who should be joined as a party, and the court shall then fix a fair value for the shares of all dissenting shareholders.

Appraisers

 

  (21)

A court may in its discretion appoint one or more appraisers to assist the court to fix a fair value for the shares of the dissenting shareholders.

Final order

 

  (22)

The final order of a court shall be rendered against the corporation in favour of each dissenting shareholder and for the amount of the shares as fixed by the court.

Interest

 

  (23)

A court may in its discretion allow a reasonable rate of interest on the amount payable to each dissenting shareholder from the date the action approved by the resolution is effective until the date of payment.

Notice that subsection (26) applies

 

  (24)

If subsection (26) applies, the corporation shall, within ten days after the pronouncement of an order under subsection (22), notify each dissenting shareholder that it is unable lawfully to pay dissenting shareholders for their shares.

Effect where subsection (26) applies

 

  (25)

If subsection (26) applies, a dissenting shareholder, by written notice delivered to the corporation within thirty days after receiving a notice under subsection (24), may

 

  (a)

withdraw their notice of dissent, in which case the corporation is deemed to consent to the withdrawal and the shareholder is reinstated to their full rights as a shareholder; or

 

  (b)

retain a status as a claimant against the corporation, to be paid as soon as the corporation is lawfully able to do so or, in a liquidation, to be ranked subordinate to the rights of creditors of the corporation but in priority to its shareholders.

Limitation

 

  (26)

A corporation shall not make a payment to a dissenting shareholder under this section if there are reasonable grounds for believing that

 

  (a)

the corporation is or would after the payment be unable to pay its liabilities as they become due; or

 

  (b)

the realizable value of the corporation’s assets would thereby be less than the aggregate of its liabilities.

 

I-4


Table of Contents

APPENDIX J – DISSENT PROVISIONS OF THE ABCA

SECTION 191 OF THE BUSINESS CORPORATIONS ACT (ALBERTA)

Shareholder’s right to dissent

 

191  (1)

Subject to sections 192 and 242, a holder of shares of any class of a corporation may dissent if the corporation resolves to

 

  (a)

amend its articles under section 173 or 174 to add, change or remove any provisions restricting or constraining the issue or transfer of shares of that class,

 

  (b)

amend its articles under section 173 to add, change or remove any restrictions on the business or businesses that the corporation may carry on,

 

  (b.1)

amend its articles under Section 173 to add or remove an express statement establishing the unlimited liability of shareholders as set out in Section 15.2(1),

 

  (c)

amalgamate with another corporation, otherwise than under section 184 or 187,

 

  (d)

be continued under the laws of another jurisdiction under section 189, or

 

  (e)

sell, lease or exchange all or substantially all its property under section 190.

 

  (2)

A holder of shares of any class or series of shares entitled to vote under section 176, other than section 176(1)(a), may dissent if the corporation resolves to amend its articles in a manner described in that section.

 

  (3)

In addition to any other right the shareholder may have, but subject to subsection (20), a shareholder entitled to dissent under this section and who complies with this section is entitled to be paid by the corporation the fair value of the shares held by the shareholder in respect of which the shareholder dissents, determined as of the close of business on the last business day before the day on which the resolution from which the shareholder dissents was adopted.

 

  (4)

A dissenting shareholder may only claim under this section with respect to all the shares of a class held by the shareholder or on behalf of any one beneficial owner and registered in the name of the dissenting shareholder.

 

  (5)

A dissenting shareholder shall send to the corporation a written objection to a resolution referred to in subsection (1) or (2)

 

  (a)

at or before any meeting of shareholders at which the resolution is to be voted on, or

 

  (b)

if the corporation did not send notice to the shareholder of the purpose of the meeting or of his right to dissent, within a reasonable time after the shareholder learns that the resolution was adopted and of the shareholder’s right to dissent.

 

  (6)

An application may be made to the Court after the adoption of a resolution referred to in subsection (1) or (2),

 

  (a)

by the corporation, or

 

  (b)

by a shareholder if the shareholder has sent an objection to the corporation under subsection (5)

 

J-1


Table of Contents

to fix the fair value in accordance with subsection (3) of the shares of a shareholder who dissents under this section, or to fix the time at which a shareholder of an unlimited liability corporation who dissents under this section ceases to become liable for any new liability, act or default of the unlimited liability corporation.

 

  (7)

If an application is made under subsection (6), the corporation shall, unless the Court otherwise orders, send to each dissenting shareholder a written offer to pay the shareholder an amount considered by the directors to be the fair value of the shares.

 

  (8)

Unless the Court otherwise orders, an offer referred to in subsection (7) shall be sent to each dissenting shareholder

 

  (a)

at least 10 days before the date on which the application is returnable, if the corporation is the applicant, or

 

  (b)

within 10 days after the corporation is served with a copy of the application, if a shareholder is the applicant.

 

  (9)

Every offer made under subsection (7) shall

 

  (a)

be made on the same terms, and

 

  (b)

contain or be accompanied with a statement showing how the fair value was determined.

 

  (10)

A dissenting shareholder may make an agreement with the corporation for the purchase of the shareholder’s shares by the corporation, in the amount of the corporation’s offer under subsection (7) or otherwise, at any time before the Court pronounces an order fixing the fair value of the shares.

 

  (11)

A dissenting shareholder

 

  (a)

is not required to give security for costs in respect of an application under subsection (6), and

 

  (b)

except in special circumstances must not be required to pay the costs of the application or appraisal.

 

  (12)

In connection with an application under subsection (6), the Court may give directions for

 

  (a)

joining as parties all dissenting shareholders whose shares have not been purchased by the corporation and for the representation of dissenting shareholders who, in the opinion of the Court, are in need of representation,

 

  (b)

the trial of issues and interlocutory matters, including pleadings and questioning under Part 5 of the Alberta Rules of Court,

 

  (c)

the payment to the shareholder of all or part of the sum offered by the corporation for the shares,

 

  (d)

the deposit of the share certificates with the Court or with the corporation or its transfer agent,

 

J-2


Table of Contents
  (e)

the appointment and payment of independent appraisers, and the procedures to be followed by them,

 

  (f)

the service of documents, and

 

  (g)

the burden of proof on the parties.

 

  (13)

On an application under subsection (6), the Court shall make an order

 

  (a)

fixing the fair value of the shares in accordance with subsection (3) of all dissenting shareholders who are parties to the application,

 

  (b)

giving judgment in that amount against the corporation and in favour of each of those dissenting shareholders,

 

  (c)

fixing the time within which the corporation must pay that amount to a shareholder, and

 

  (d)

fixing the time at which a dissenting shareholder of an unlimited liability corporation ceases to become liable for any new liability, act or default of the unlimited liability corporation.

 

  (14)

On:

 

  (a)

the action approved by the resolution from which the shareholder dissents becoming effective,

 

  (b)

the making of an agreement under subsection (10) between the corporation and the dissenting shareholder as to the payment to be made by the corporation for the shareholder’s shares, whether by the acceptance of the corporation’s offer under subsection (7) or otherwise, or

 

  (c)

the pronouncement of an order under subsection (13),

whichever first occurs, the shareholder ceases to have any rights as a shareholder other than the right to be paid the fair value of the shareholder’s shares in the amount agreed to between the corporation and the shareholder or in the amount of the judgment, as the case may be.

 

  (15)

Subsection (14)(a) does not apply to a shareholder referred to in subsection (5)(b).

 

  (16)

Until one of the events mentioned in subsection (14) occurs,

 

  (a)

the shareholder may withdraw the shareholder’s dissent, or

 

  (b)

the corporation may rescind the resolution, and in either event proceedings under this section shall be discontinued.

 

  (17)

The Court may in its discretion allow a reasonable rate of interest on the amount payable to each dissenting shareholder, from the date on which the shareholder ceases to have any rights as a shareholder by reason of subsection (14) until the date of payment.

 

  (18)

If subsection (20) applies, the corporation shall, within 10 days after

 

J-3


Table of Contents
  (a)

the pronouncement of an order under subsection (13), or

 

  (b)

the making of an agreement between the shareholder and the corporation as to the payment to be made for the shareholder’s shares,

 

  (c)

notify each dissenting shareholder that it is unable lawfully to pay dissenting shareholders for their shares.

 

  (19)

Notwithstanding that a judgment has been given in favour of a dissenting shareholder under subsection (13)(b), if subsection (20) applies, the dissenting shareholder, by written notice delivered to the corporation within 30 days after receiving the notice under subsection (18), may withdraw the shareholder’s notice of objection, in which case the corporation is deemed to consent to the withdrawal and the shareholder is reinstated to the shareholder’s full rights as a shareholder, failing which the shareholder retains a status as a claimant against the corporation, to be paid as soon as the corporation is lawfully able to do so or, in a liquidation, to be ranked subordinate to the rights of creditors of the corporation but in priority to its shareholders.

 

  (20)

A corporation shall not make a payment to a dissenting shareholder under this section if there are reasonable grounds for believing that

 

  (a)

the corporation is or would after the payment be unable to pay its liabilities as they become due, or

 

  (b)

the realizable value of the corporation’s assets would by reason of the payment be less than the aggregate of its liabilities.

 

J-4


Table of Contents

LOGO

320 Bay Street, 14th Floor Toronto, ON M5H 4A6 www.computershare.com Security Class Holder Account Number Form of Proxy - Special Meeting to be held on January 16, 2026 This Form of Proxy is solicited by and on behalf of Management. Notes to proxy 1. Every holder has the right to appoint some other person or company of their choice, who need not be a holder, to attend and act on their behalf at the meeting or any adjournment or postponement thereof. If you wish to appoint a person or company other than the Management Nominees whose names are printed herein, please insert the name of your chosen proxyholder in the space provided (see reverse). 2. If the securities are registered in the name of more than one owner (for example, joint ownership, trustees, executors, etc.), then all those registered should sign this proxy. If you are voting on behalf of a corporation or another individual you may be required to provide documentation evidencing your power to sign this proxy with signing capacity stated. If you are voting on behalf of a corporation you are required to provide your name and designation of office, e.g., ABC Inc. per John Smith, President. 3. This proxy should be signed in the exact manner as the name(s) appear(s) on the proxy. 4. If a date is not inserted in the space provided on the reverse of this proxy, it will be deemed to bear the date on which it was mailed to the holder by Management. 5. The securities represented by this proxy will be voted as directed by the holder, however, if such a direction is not made in respect of any matter, and the proxy appoints the Management Nominees listed on the reverse, this proxy will be voted as recommended by Management. 6. The securities represented by this proxy will be voted in favour, or withheld from voting, or voted against each of the matters described herein, as applicable, in accordance with the instructions of the holder, on any ballot that may be called for. If you have specified a choice with respect to any matter to be acted on, the securities will be voted accordingly. 7. This proxy confers discretionary authority in respect of amendments or variations to matters identified in the Notice of Meeting and Management Information Circular or other matters that may properly come before the meeting or any adjournment or postponement thereof, unless prohibited by law. 8. This proxy should be read in conjunction with the accompanying documentation provided by Management. Proxies submitted must be received by 11:00 am, Eastern Standard Time, on January 14, 2026. VOTE USING THE INTERNET 24 HOURS A DAY 7 DAYS A WEEK! To Vote Using the Telephone To Vote Using the Internet To Receive Documents Electronically To Virtually Attend the Meeting Call the number listed BELOW from a touch tone telephone. 1-866-732-VOTE (8683) Toll Free Go to the following web site: www.investorvote.com Smartphone? Scan the QR code to vote now. You can enroll to receive future securityholder communications electronically by visiting www.investorcentre.com. You can attend the meeting virtually by visiting the URL provided on the back of this document. If you vote by the Internet, DO NOT mail back this proxy. Voting by mail may be the only method for securities held in the name of a corporation or securities being voted on behalf of another individual. Voting by mail or by Internet are the only methods by which a holder may appoint a person as proxyholder other than the Management Nominees named on the reverse of this proxy. Instead of mailing this proxy, you may choose to vote using the Internet. To vote by the Internet, you will need to provide your CONTROL NUMBER listed below. CONTROL NUMBER


Table of Contents

LOGO

Appointment of Proxyholder I/We being holder(s) of securities of Aptose Biosciences Inc. (the OR “Corporation”) hereby appoint: William G. Rice, or failing this person, Denis Burger (the “Management Nominees”) Print the name of the person you are appointing if this person is someone other than the Management Nominees listed herein. Note: If completing the appointment box above YOU MUST go to http://www.computershare.com/aptose and provide Computershare with the name and email address of the person or company you are appointing. Computershare will use this information ONLY to provide the appointee with a user name to gain entry to the online meeting. as my/our proxyholder with full power of substitution and to attend, act and to vote for and on behalf of the holder in accordance with the following direction (or if no directions have been given, as the proxyholder sees fit) and on all other matters that may properly come before the Special Meeting of shareholders of the Corporation to be held on January 16, 2026 at 11:00 am, Eastern Standard Time, by live webcast accessible directly online at https://meetings.lumiconnect.com/400-581-122-608 (the “Meeting”) and at any adjournment or postponement thereof. VOTING RECOMMENDATIONS ARE INDICATED BY HIGHLIGHTED TEXT OVER THE BOXES. For Against Fold 1. Continuance Resolution Consider and, if deemed advisable, pass, with or without variation, a special resolution to approve a continuance of the Corporation from the Canada Business Corporations Act to the Business Corporations Act (Alberta) (the “ABCA”), the full text of which is set forth in Appendix A to the proxy statement of the Corporation (the “Proxy Statement”). For Against 2. Arrangement Resolution Consider and, if deemed advisable, pass, with or without variation, a special resolution to approve a statutory plan of arrangement involving the Corporation, Hanmi Pharmaceutical Co. Ltd. and HS North America Ltd. pursuant to Section 193 of the ABCA, the full text of which is set forth in Appendix D to the Proxy Statement. Signature of Proxyholder Signature(s) Date I/We authorize you to act in accordance with my/our instructions set out above. I/We hereby revoke any proxy previously given with respect to the Meeting. If no voting instructions are indicated above, and the proxy appoints the Management Nominees, this Proxy will be voted as recommended by Management. If you are voting on behalf of a corporation you are required to provide your name and designation of office, e.g., ABC Inc. per John Smith, President. Signing Capacity L O R Q 3 8 0 5 8 0 A R 0